The Impact of Dual-Wavefront Propagation of Electromagnetic Waves in Bio-Tissues on Imaging and In-Body Communications
Abstract
1. Introduction
2. Dual-Wavefront Electromagnetic Propagation in Bio-Tissues
3. Results and Discussions
3.1. EM Imaging
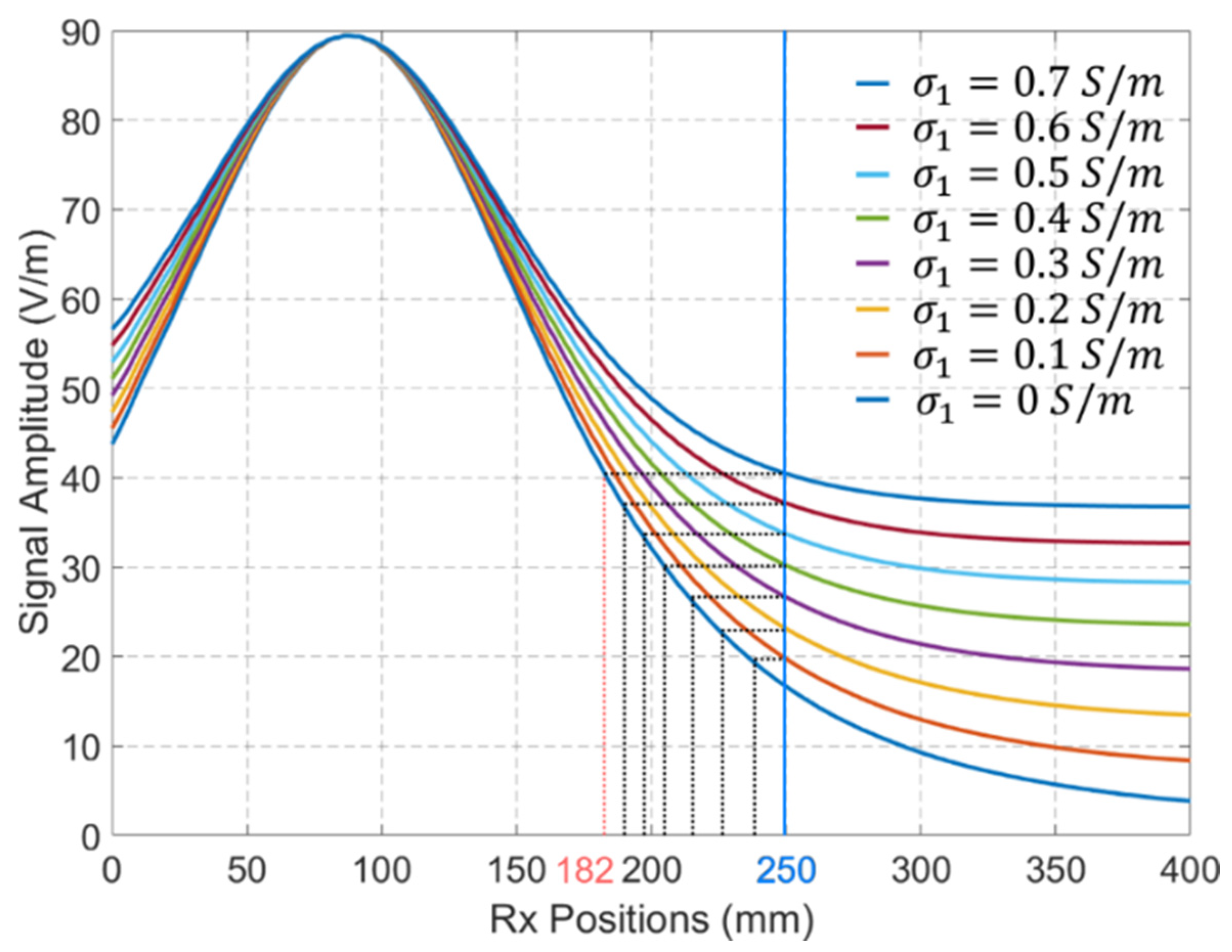
3.2. In-Body Communication
- The signals from the selected Tx/Rx pair are simulated with varying from 0 S/m to 0.7 S/m in increments of 0.1 S/m.
- The signal losses caused by different values of (excluding the case when S/m) are calculated based on the simulated signal amplitude at S/m.
- The amplitudes of the received signals at all other Rx antennas are compensated using the signal losses calculated in Step 2.
4. Conclusions
Author Contributions
Funding
Institutional Review Board Statement
Informed Consent Statement
Data Availability Statement
Conflicts of Interest
References
- Mehrotra, P.; Chatterjee, B.; Sen, S. EM-Wave Biosensors: A Review of RF, Microwave, mm-Wave and Optical Sensing. Sensors 2019, 19, 1013. [Google Scholar] [CrossRef]
- Chen, Z.Y.; Gao, Y.M.; Du, M. Propagation characteristics of electromagnetic wave on multiple tissue interfaces in wireless deep implant communication. IET Microw. Antennas Propag. 2018, 12, 2034–2040. [Google Scholar] [CrossRef]
- Michaelson, S.M.; Lin, J.C. Propagation and Absorption in Tissue Media; Springer: New York, NY, USA, 1987; pp. 137–222. [Google Scholar]
- Mateen, H.; Basar, R.; Ahmed, A.U.; Ahmad, M.Y. Localization of Wireless Capsule Endoscope: A Systematic Review. IEEE Sens. J. 2017, 17, 1197–1206. [Google Scholar] [CrossRef]
- Ali, M.A.; Tom, N.; Alsunaydih, F.N.; Yuce, M.R. Recent Advancements in Localization Technologies for Wireless Capsule Endoscopy: A Technical Review. Sensors 2025, 25, 253. [Google Scholar] [CrossRef]
- Blanco-Angulo, C.; Martínez-Lozano, A.; Gutiérrez-Mazón, R.; Juan, C.G.; García-Martínez, H.; Arias-Rodríguez, J.; Sabater-Navarro, J.M.; Ávila-Navarro, E. Non-Invasive Microwave-Based Imaging System for Early Detection of Breast Tumours. Biosensors 2022, 12, 752. [Google Scholar] [CrossRef]
- Friedrich, C.; Bourguignon, S.; Idier, J.; Goussard, Y. Three-Dimensional Microwave Imaging: Fast and Accurate Computations with Block Resolution Algorithms. Sensors 2020, 20, 6282. [Google Scholar] [CrossRef] [PubMed]
- Ahdi Rezaeieh, S.A.; Darvazehban, A.; Janani, A.S.; Abbosh, A.M. Electromagnetic Torso Scanning: A Review of Devices, Algorithms, and Systems. Biosensors 2021, 11, 135. [Google Scholar] [CrossRef] [PubMed]
- Guha, S.; Jamal, F.I.; Wenger, C. A Review on Passive and Integrated Near-Field Microwave Biosensors. Biosensors 2017, 7, 42. [Google Scholar] [CrossRef] [PubMed]
- Kiourti, A.; Abbosh, A.M.; Athanasiou, M.; Björninen, T.; Eid, A.; Furse, C.; Ito, K.; Lazzi, G.; Manoufali, M.; Pastorino, M.; et al. Next-Generation Healthcare: Enabling Technologies for Emerging Bioelectromagnetics Applications. IEEE Open J. Antennas Propag. 2022, 3, 363–390. [Google Scholar] [CrossRef]
- Sultan, K.; Abbosh, A. Advancing Wearable Electromagnetic Knee Imaging: A Comprehensive Review of Systems, Frameworks, Key Challenges, and Future Directions. IEEE J. Electromagn. RF Microw. Med. Biol. 2023, 7, 468–490. [Google Scholar] [CrossRef]
- Guo, L.; Alqadami, A.S.M.; Abbosh, A. Stroke Diagnosis Using Microwave Techniques: Review of Systems and Algorithms. IEEE J. Electromagn. RF Microw. Med. Biol. 2023, 7, 122–135. [Google Scholar] [CrossRef]
- Origlia, C.; Rodriguez-Duarte, D.O.; Tobon Vasquez, J.A.; Bolomey, J.-C.; Vipiana, F. Review of Microwave Near-Field Sensing and Imaging Devices in Medical Applications. Sensors 2024, 24, 4515. [Google Scholar] [CrossRef]
- Rezaeieh, S.A.; Darvazehban, A.; Khosravi-Farsani, M.; Abbosh, A.M. Body-Matched Gradient Index Lens Antenna for Electromagnetic Torso Scanner. IEEE Trans. Antennas Propag. 2021, 69, 6165–6174. [Google Scholar] [CrossRef]
- Abbosh, Y.M.; Sultan, K.; Guo, L.; Abbosh, A. Non-Uniform Antenna Array for Enhanced Medical Microwave Imaging. Sensors 2025, 25, 3174. [Google Scholar] [CrossRef]
- Mondal, S.; Srivastava, A.; Mukhopadhyay, S. Thermoelastic wave propagation and reflection in biological tissue under nonlocal elasticity and Moore–Gibson–Thompson heat conduction: Modeling and analysis. Z. Für Angew. Math. Und Phys. 2025, 76, 30. [Google Scholar] [CrossRef]
- Essa, A.; Almajali, E.; Mahmoud, S.; Amaya, R.E.; Alja’Afreh, S.S.; Ikram, M. Wireless Power Transfer for Implantable Medical Devices: Impact of Implantable Antennas on Energy Harvesting. IEEE Open J. Antennas Propag. 2024, 5, 739–758. [Google Scholar] [CrossRef]
- Shon, A.; Chu, J.-U.; Jung, J.; Kim, H.; Youn, I. An Implantable Wireless Neural Interface System for Simultaneous Recording and Stimulation of Peripheral Nerve with a Single Cuff Electrode. Sensors 2017, 8, 1. [Google Scholar] [CrossRef]
- Nelson, B.D.; Karipott, S.S.; Wang, Y.; Ong, K.G. Wireless Technologies for Implantable Devices. Sensors 2020, 20, 4604. [Google Scholar] [CrossRef]
- Soliman, M.M.; Chowdhury, M.E.H.; Khandakar, A.; Islam, M.T.; Qiblawey, Y.; Musharavati, F.; Zal Nezhad, E. Review on Medical Implantable Antenna Technology and Imminent Research Challenges. Sensors 2021, 21, 3163. [Google Scholar] [CrossRef]
- RamRakhyani, A.K.; Mirabbasi, S.; Chiao, M. Design and Optimization of Resonance-Based Efficient Wireless Power Delivery Systems for Biomedical Implants. IEEE Trans. Biomed. Circuits Syst. 2011, 5, 48–63. [Google Scholar] [CrossRef]
- Ali, M.A.; Alsunaydih, F.N.; Rathnayaka, A.; Yuce, M.R. Implementing an Autonomous Navigation System for Active Wireless Capsule Endoscopy. IEEE Sens. J. 2024, 24, 19190–19201. [Google Scholar] [CrossRef]
- Kim, J.; Lee, H.S.; Hoang, M.C.; Jeong, S.; Kim, J.S.; Lee, C.; Kang, B.; Lee, J.; Son, Y.D.; Bang, S.; et al. Redundant Electromagnetic Control of an Endoscopic Magnetic Capsule Driven by Multiple Electromagnets Configuration. IEEE Trans. Ind. Electron. 2022, 69, 11370–11382. [Google Scholar] [CrossRef]
- Chen, W.; Sui, J.; Wang, C. Magnetically Actuated Capsule Robots: A Review. IEEE Access 2022, 10, 88398–88420. [Google Scholar] [CrossRef]
- Zhang, P.; Xu, Y.; Chen, R.; Dong, W.; Li, Y.; Yu, R.; Dong, M.; Liu, Z.; Zhuang, Y.; Kuang, J. A Multimagnetometer Array and Inner IMU-Based Capsule Endoscope Positioning System. IEEE Internet Things J. 2022, 9, 21194–21203. [Google Scholar] [CrossRef]
- Zhang, Q.; Li, Y.; Xu, H.; Li, X.; Zhang, X. Magnetic Localization Method of Capsule Endoscope Based on Hybrid Model. IEEE Trans. Instrum. Meas. 2023, 72, 4003710. [Google Scholar] [CrossRef]
- Shao, G.; Tang, Y.; Tang, L.; Dai, Q.; Guo, Y.X. A Novel Passive Magnetic Localization Wearable System for Wireless Capsule Endoscopy. IEEE Sens. J. 2019, 19, 3462–3472. [Google Scholar] [CrossRef]
- Rahimi Sardo, F.; Rayegani, A.; Matin Nazar, A.; Balaghiinaloo, M.; Saberian, M.; Mohsan, S.A.; Alsharif, M.H.; Cho, H.-S. Recent Progress of Triboelectric Nanogenerators for Biomedical Sensors: From Design to Application. Biosensors 2022, 12, 697. [Google Scholar] [CrossRef]
- Carcione, J.M.; Ursin, B. On Fermat’s principle and Snell’s law in lossy anisotropic media. Geophysics 2016, 81, T107–T116. [Google Scholar] [CrossRef]
- Adler, R.B.; Chu, L.J.; Fano, R.M. Electromagnetic Energy Transmission and Radiation; The MIT Press: Cambridge, MA, USA, 1968. [Google Scholar]
- Rashed, R. A Pioneer in Anaclastics: Ibn Sahl on Burning Mirrors and Lenses. Isis 1990, 81, 464–491. [Google Scholar] [CrossRef]
- Allwright, D. From Snell’s law to Fermat’s principle. J. Sound Vib. 2022, 536, 117101. [Google Scholar] [CrossRef]
- Radcliff, R.D.; Balanis, C.A. Modified Propagation Constants for Nonuniform Plane Wave Transmission through Conducting Media. IEEE Trans. Geosci. Remote Sens. 1982, GE-20, 408–411. [Google Scholar] [CrossRef]
- Guimarães, L.G.; Sampaio, E.E.S. A note on Snell laws for electromagnetic plane waves in lossy media. J. Quant. Spectrosc. Radiat. Transf. 2008, 109, 2124–2140. [Google Scholar] [CrossRef]
- Vorst, A.V.; Rosen, A.; Kotsuka, Y. RF/Microwave Interaction with Biological Tissues; John Wiley & Sons: Hoboken, NJ, USA; IEEE Press: Piscataway, NJ, USA, 2006. [Google Scholar]
- Roy, J.E. New results for the effective propagation constants of nonuniform plane waves at the planar interface of two lossy media. IEEE Trans. Antennas Propag. 2003, 51, 1206–1215. [Google Scholar] [CrossRef]
- Holmes, J.; Balanis, C. Refraction of a uniform plane wave incident on a plane boundary between two lossy media. IEEE Trans. Antennas Propag. 1978, 26, 738–741. [Google Scholar] [CrossRef]
- Zhang, S.; Liu, L.; Liu, Y. Generalized laws of Snell, Fresnel and energy balance for a charged planar interface between lossy media. J. Quant. Spectrosc. Radiat. Transf. 2020, 245, 106903. [Google Scholar] [CrossRef]
- Frezza, F.; Tedeschi, N. On the electromagnetic power transmission between two lossy media: Discussion. J. Opt. Soc. Am. A 2012, 29, 2281–2288. (In English) [Google Scholar] [CrossRef] [PubMed]
- Ulaby, F.T.; Ravaioli, U. Fundamentals of Applied Electromagnetics, 7th ed.; Pearson Education: London, UK, 2022. [Google Scholar]
- Oloumi, D.; Winter, R.S.C.; Kordzadeh, A.; Boulanger, P.; Rambabu, K. Microwave Imaging of Breast Tumor using Time-Domain UWB Circular-SAR Technique. IEEE Trans. Med. Imaging 2019, 39, 934–943. [Google Scholar] [CrossRef]
- Aldhaeebi, M.A.; Alzoubi, K.; Almoneef, T.S.; Bamatraf, S.M.; Attia, H.; Ramahi, O.M. Review of Microwaves Techniques for Breast Cancer Detection. Sensors 2020, 20, 2390. [Google Scholar] [CrossRef]
- Wang, L. Microwave Sensors for Breast Cancer Detection. Sensors 2018, 18, 655. [Google Scholar] [CrossRef]
- Sultan, K. Design and Implementation of Electromagnetic Knee Imaging Systems. Ph.D. Thesis, The University of Queensland, School of Information Technology and Electrical Engineering, St Lucia, QLD, Australia, 2022. [Google Scholar]
- Sultan, K.; Abbosh, A. On-Body Cavity-Backed Slot Antenna With Pattern and Polarization Diversity for Medical Imaging. IEEE Trans. Antennas Propag. 2024, 72, 8239–8250. (In English) [Google Scholar] [CrossRef]
- Mousavi, S.M.H.; Moosazadeh, M.; Guo, L.; Abbosh, A.M. Compact Dual-Polarized Cavity-Backed Antenna With Wideband Performance for Deep Torso Imaging. IEEE Trans. Antennas Propag. 2024, 72, 2217–2227. [Google Scholar] [CrossRef]
- Rezaeieh, S.A.; Tan, Y.Q.; Abbosh, A.; Antoniades, M.A. Equivalent circuit model for finding the optimum frequency range for the detection of heart failure using microwave systems. In Proceedings of the 2013 IEEE Antennas and Propagation Society International Symposium (APSURSI), Orlando, FL, USA, 7–13 July 2013; pp. 2059–2060. [Google Scholar]
- Abbosh, A.; Bialkowski, K.; Guo, L.; Al-Saffar, A.; Zamani, A.; Trakic, A.; Brankovic, A.; Bialkowski, A.; Zhu, G.; Cook, D.; et al. Clinical electromagnetic brain scanner. Sci. Rep. 2024, 14, 5760. [Google Scholar] [CrossRef]
- Dielectric Properties of Human Tissue. Available online: https://itis.swiss/virtual-population/tissue-properties/database/tissue-frequency-chart/ (accessed on 1 October 2025).
- Gabriel, S. The dielectric properties of biological tissues: iii. parametric models for the dielectric spectrum of tissues. Phys. Med. Biol. 1996, 41, 2271–2293. [Google Scholar] [CrossRef]
- Gabriel, S. The dielectric properties of biological tissues: ii. measurements in the frequency range 10 hz to 20 ghz. Phys. Med. Biol. 1996, 41, 2251–2269. [Google Scholar] [CrossRef]
- Federal Communications Commission. Medical Area Body Network. Final rule. Fed Regist 2012, 77, 55715–55735. Available online: https://www.ncbi.nlm.nih.gov/pubmed/22966501 (accessed on 1 October 2025).
- Meaney, P.M.; Pendergrass, S.A.; Fanning, M.W.; Paulsen, K.D. Importance of Using a Reduced Contrast Coupling Medium In 2D Microwave Breast Imaging. J. Electromagn. Waves Appl. 2003, 17, 333–355. [Google Scholar] [CrossRef]













| Tissue | Skin | Fat | Muscle | Blood | Bone | Tumor | Stomach | Brain |
|---|---|---|---|---|---|---|---|---|
| @(0.5–4 GHz) | 45–36.6 | 11.5–10.4 | 56.4–50.8 | 63.3–55.7 | 12.9–10.6 | ~75–70 | 66.7–60 | 53.7–42.4 |
| (s/m)@(0.5–4 GHz) | 0.72–2.34 | 0.08–0.05 | 0.82–3.02 | 1.38–4.13 | 0.1–0.7 | 0.05–3.5 | 1–3.85 | 1.08–3.28 |
|
1. Define evenly distributed points on the interface between the in-body and out-of-body regions. The interval between these points is 2 mm. 2. Calculate the wave speed in the out-of-body region and in-body region . 3. Calculate the distance between the Tx and each entry point () and the distance between each Rx and each entry point (). 4. Define an empty set for the index of refractive points on the interface Derive the wave path based on the Fermat principle: 5. for rx = 1 : N for m = 1 : M end end 6. Connect the Tx and Rx points to each of the refractive points in to form the wave paths. Derive the wavefront based on the signal travel time from COMSOL: 7. Calculate the signal travel time from the Tx to each of the Rx, denoted as , using the time delay of the maximum signal intensities of the Tx and Rx time-domain signals. 8. for rx = 1 : N for m = 1 : M end end 9. Connect the Tx and Rx points to each of the refractive points in to form the wavefront. |
Disclaimer/Publisher’s Note: The statements, opinions and data contained in all publications are solely those of the individual author(s) and contributor(s) and not of MDPI and/or the editor(s). MDPI and/or the editor(s) disclaim responsibility for any injury to people or property resulting from any ideas, methods, instructions or products referred to in the content. |
© 2025 by the authors. Licensee MDPI, Basel, Switzerland. This article is an open access article distributed under the terms and conditions of the Creative Commons Attribution (CC BY) license (https://creativecommons.org/licenses/by/4.0/).
Share and Cite
Guo, L.; Sultan, K.; Xue, F.; Abbosh, A. The Impact of Dual-Wavefront Propagation of Electromagnetic Waves in Bio-Tissues on Imaging and In-Body Communications. Biosensors 2025, 15, 667. https://doi.org/10.3390/bios15100667
Guo L, Sultan K, Xue F, Abbosh A. The Impact of Dual-Wavefront Propagation of Electromagnetic Waves in Bio-Tissues on Imaging and In-Body Communications. Biosensors. 2025; 15(10):667. https://doi.org/10.3390/bios15100667
Chicago/Turabian StyleGuo, Lei, Kamel Sultan, Fei Xue, and Amin Abbosh. 2025. "The Impact of Dual-Wavefront Propagation of Electromagnetic Waves in Bio-Tissues on Imaging and In-Body Communications" Biosensors 15, no. 10: 667. https://doi.org/10.3390/bios15100667
APA StyleGuo, L., Sultan, K., Xue, F., & Abbosh, A. (2025). The Impact of Dual-Wavefront Propagation of Electromagnetic Waves in Bio-Tissues on Imaging and In-Body Communications. Biosensors, 15(10), 667. https://doi.org/10.3390/bios15100667

