Ultrasonic Sensor: A Fast and Non-Destructive System to Measure the Viscosity and Density of Molecular Fluids
Abstract
1. Introduction
2. Materials and Methods
2.1. Experimental Setup
2.1.1. Measurements of Fluids at the Equilibrium State
2.1.2. Protein Unfolding Kinetics Experiment
2.2. Data Acquisition
2.2.1. Measurements of Fluids in an Equilibrium State
2.2.2. Protein Unfolding Kinetics Experiment
2.3. Data Analysis
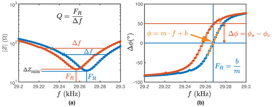
2.3.1. Transducer Parameters
- Resonance frequency (): To obtain the resonance frequency, a linear fit is performed on the phase versus frequency curve. In the equation of the obtained line (), the resonance frequency is when the phase is equal to zero (). The delta of the resonance frequency, , is the difference between the resonance frequency and the resonance frequency of the control. See Figure 2a).
- Phase difference (): The phase difference is obtained by finding the phase value at the resonance frequency of the control. See Figure 2b).
- Minimum Impedance Difference (): The minimum value of the impedance curve is obtained, and it is subtracted in each case with respect to the control. See Figure 2a).
- Quality factor difference (): The ratio between the resonance frequency and the full width at half maximum (FWHM) (). See Figure 2.
2.3.2. Analysis of the Drop Image to Obtain the Volume as a Function of Time
3. Results and Discussion
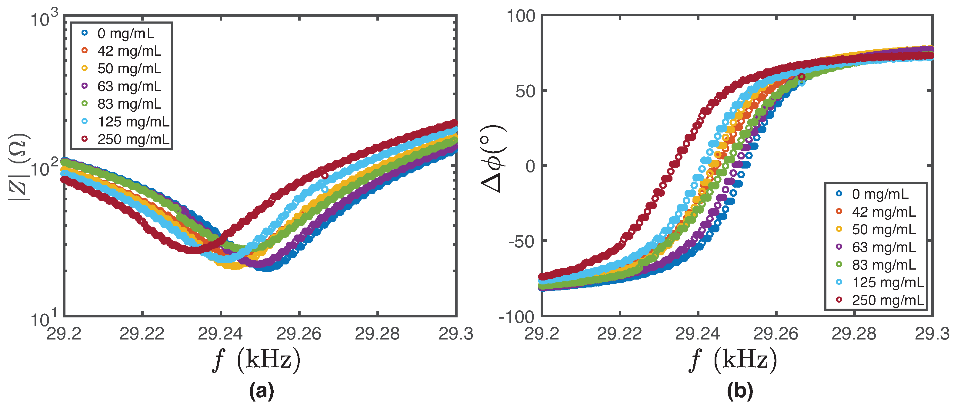
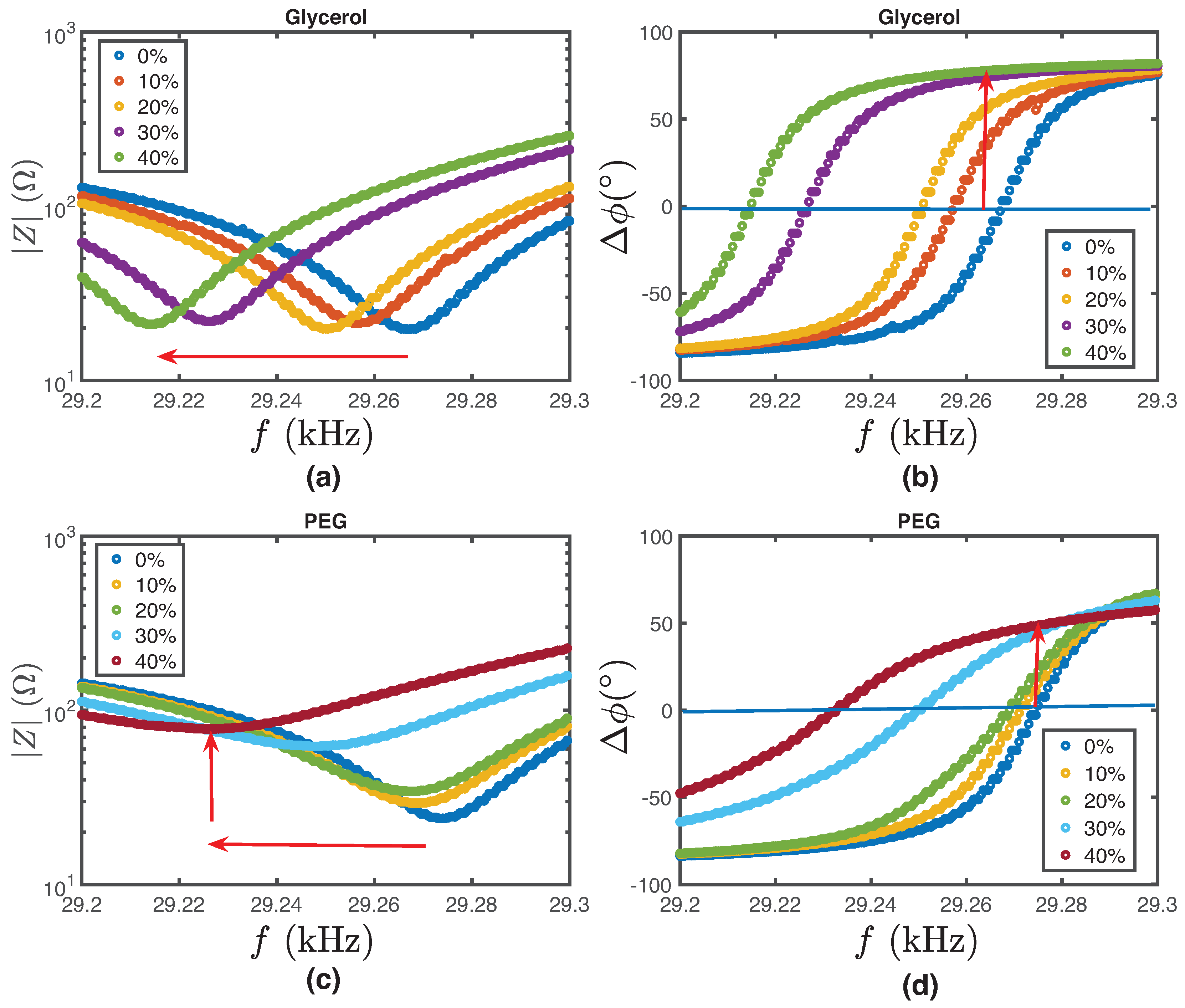
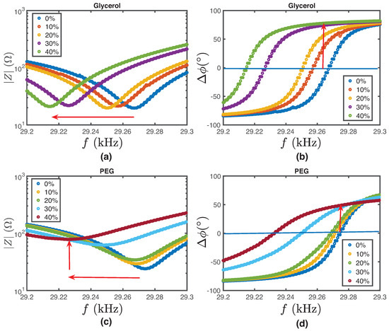
3.1. Representative Transducer Parameters for Density
3.2. Representative Transducer Viscosity Parameters
3.3. Characterization of the BSA Denaturation
4. Conclusions
Supplementary Materials
Author Contributions
Funding
Institutional Review Board Statement
Informed Consent Statement
Data Availability Statement
Conflicts of Interest
Abbreviations
| viscosity | |
| density | |
| PEG | Polyethylene Glycol 8000 |
| BSA | Bovine serum albumin |
| FWHM | full width at half maximum |
| Resonance frequency | |
| Phase difference | |
| Minimum Impedance Difference | |
| Quality factor difference | |
| s | seconds |
Appendix A



References
- Badidi Bouda, A.; Benchala, K.; Alem, K. Ultrasonic characterization of materials hardness. Ultrasonics 2000, 38, 224–227. [Google Scholar] [CrossRef]
- Leclaire, P.; Kelders, L.; Lauriks, W.; Melon, M.; Brown, N.; Castagnede, B. Determination of the viscous and thermal characteristic lengths of plastic foams by ultrasonic measurements in helium and air. J. Appl. Phys. 1996, 80, 2009–2012. [Google Scholar] [CrossRef]
- Doyle, P.; Scala, C.M. Crack depth measurement by ultrasonics: A review. Ultrasonics 1978, 16, 164–170. [Google Scholar] [CrossRef]
- Salinas, V.; Vargas, Y.; Ruzzante, J.; Gaete, L. Localization algorithm for acoustic emission. Phys. Procedia 2010, 3, 863–871. [Google Scholar] [CrossRef]
- Carovac, A.; Smajlovic, F.; Junuzovic, D. Application of Ultrasound in Medicine. Acta Inf. Med. 2011, 19, 168–171. [Google Scholar] [CrossRef] [PubMed]
- Al-Dhabyani, W.; Gomaa, M.; Khaled, H.; Fahmy, A. Dataset of breast ultrasound images. Data Brief 2020, 28, 104863. [Google Scholar] [CrossRef] [PubMed]
- Torres, H.R.; Morais, P.; Oliveira, B.; Birdir, C.; Rüdiger, M.; Fonseca, J.C.; Vilaça, J.L. A review of image processing methods for fetal head and brain analysis in ultrasound images. Comput. Methods Programs Biomed. 2022, 215, 106629. [Google Scholar] [CrossRef]
- Yao, Y.; Pan, Y.; Liu, S. Power ultrasound and its applications: A state-of-the-art review. Ultrason. Sonochem. 2020, 62, 104722. [Google Scholar] [CrossRef] [PubMed]
- Abdulkareem, A.; Erturun, U.; Mossi, K. Non-Destructive Evaluation Device for Monitoring Fluid Viscosity. Sensors 2020, 20, 1657. [Google Scholar] [CrossRef]
- Kazys, R.; Sliteris, R.; Rekuviene, R.; Zukauskas, E.; Mazeika, L. Ultrasonic Technique for Density Measurement of Liquids in Extreme Conditions. Sensors 2015, 15, 19393–19415. [Google Scholar] [CrossRef]
- Hong, T.; Iwashita, K.; Shiraki, K. Viscosity control of protein solution by small solutes: A review. Curr. Protein Pept. Sci. 2018, 19, 746–758. [Google Scholar] [CrossRef] [PubMed]
- Puneeth, S.B.; Kulkarni, M.B.; Goel, S. Microfluidic viscometers for biochemical and biomedical applications: A review. Eng. Res. Express 2021, 3, 022003. [Google Scholar] [CrossRef]
- Ma, X.; Zhang, X.; Zhang, B.; Yang, D.; Sun, H.; Tang, Y.; Shi, L. Dual-responsive fluorescence probe for measuring and viscosity and its application in living cells and real foods. Food Chem. 2024, 430, 136930. [Google Scholar] [CrossRef] [PubMed]
- Zidar, M.; Rozman, P.; Belko-Parkel, K.; Ravnik, M. Control of viscosity in biopharmaceutical protein formulations. J. Colloid Interface Sci. 2020, 580, 308–317. [Google Scholar] [CrossRef] [PubMed]
- Zhang, Z.; Liu, Y. Recent progresses of understanding the viscosity of concentrated protein solutions. Curr. Opin. Chem. Eng. 2017, 16, 48–55. [Google Scholar] [CrossRef]
- Moino, C.; Artusio, F.; Pisano, R. Shear stress as a driver of degradation for protein-based therapeutics: More accomplice than culprit. Int. J. Pharm. 2023, 650, 123679. [Google Scholar] [CrossRef] [PubMed]
- Ashton, L.; Dusting, J.; Imomoh, E.; Balabani, S.; Blanch, E.W. Susceptibility of different proteins to flow-induced conformational changes monitored with Raman spectroscopy. Biophys. J. 2010, 98, 707–714. [Google Scholar] [CrossRef] [PubMed]
- Bekard, I.B.; Asimakis, P.; Teoh, C.L.; Ryan, T.; Howlett, G.J.; Bertolini, J.; Dunstan, D.E. Bovine serum albumin unfolds in Couette flow. Soft Matter 2012, 8, 385–389. [Google Scholar] [CrossRef]
- Jaspe, J.; Hagen, S.J. Do protein molecules unfold in a simple shear flow? Biophys. J. 2006, 91, 3415–3424. [Google Scholar] [CrossRef]
- Hobson, E.C.; Li, W.; Juliar, B.A.; Putnam, A.J.; Stegemann, J.P.; Deng, C.X. Resonant acoustic rheometry for non-contact characterization of viscoelastic biomaterials. Biomaterials 2021, 269, 120676. [Google Scholar] [CrossRef]
- Munoz, R.; Aguilar-Sandoval, F.; Bellon, L.; Melo, F. Detecting protein folding by thermal fluctuations of microcantilevers. PLoS ONE 2017, 12, e0189979. [Google Scholar] [CrossRef] [PubMed]
- Kumaran, R.; Ramamurthy, P. Denaturation mechanism of BSA by urea derivatives: Evidence for hydrogen-bonding mode from fluorescence tools. J. Fluoresc. 2011, 21, 1499–1508. [Google Scholar] [CrossRef] [PubMed]
- Bramanti, E.; Ferrari, C.; Angeli, V.; Onor, M.; Synovec, R.E. Characterization of BSA unfolding and aggregation using a single-capillary viscometer and dynamic surface tension detector. Talanta 2011, 85, 2553–2561. [Google Scholar] [CrossRef] [PubMed]
- Amir, A.; Pak, S.; Abbas, M.A. An approach to design a high power piezoelectric ultrasonic transducer. J. Electroceramic 2009, 22, 369–382. [Google Scholar]
- Gonzalez-Tello, P.; Camacho, F.; Blazquez, G. Density and Viscosity of Concentrated Aqueous Solutions of Polyethylene Glycol. J. Chem. Eng. Data 1994, 39, 611–614. [Google Scholar] [CrossRef]
- Glycerine Producers Association. Physical Properties of Glycerine and Its Solutions. Glycerine Producers’ Association. 1963. Available online: https://books.google.cl/books?id=XpeaGQAACAAJ (accessed on 22 May 2024).
- Likhachev, E.R. Dependence of water viscosity on temperature and pressure. Tech. Phys. 2003, 48, 514–515. [Google Scholar] [CrossRef]
- Wagner, W.; Kretzschmar, H.J. International Steam Tables; Springer: Berlin, Germany, 2014. [Google Scholar]
- Masuelli, M.A. Study of Bovine Serum Albumin Solubility in Aqueous Solutions by Intrinsic Viscosity Measurements. Adv. Phys. Chem. 2013, 2013, 1–8. [Google Scholar] [CrossRef]
- Fan, C.F.; Cagin, T. Wetting of crystalline polymer surfaces: A molecular dynamics simulation. J. Chem. Phys. 1995, 103, 9053–9061. [Google Scholar] [CrossRef]
- Roy, K.; Gupta, H.; Shastri, V.; Dangi, A.; Jeyaseelan, A.; Dutta, S.; Pratap, R. Fluid density sensing using piezoelectric micromachined ultrasound transducers. IEEE Sens. J. 2019, 20, 6802–6809. [Google Scholar] [CrossRef]
- Saluja, A.; Kalonia, D.S. Measurement of fluid viscosity at microliter volumes using quartz impedance analysis. Aaps Pharmscitech 2004, 5, 68–81. [Google Scholar] [CrossRef]
- Jia, S.; Luo, M. Monitoring of liquid viscosity for viscous dampers through a wireless impedance measurement system. Appl. Sci. 2021, 12, 189. [Google Scholar] [CrossRef]
- Garret, S.L. Understanding Acoustic: An Experimentalist’s View of Sounds and Vibration; The ASA Press: Tokyo, Japan, 2020. [Google Scholar]
- Prugne, C.H.; Van Est, J.; Cros, B.; Léveque, G.; Attal, J. Measurement of the viscosity of liquids by near-field acoustics. Meas. Sci. Technol. 1998, 9, 1894. [Google Scholar] [CrossRef]
- Wang, F.; Zhang, H.; Liang, C.; Tian, Y.; Zhao, X.; Zhang, D. Design of High Frequency Ultrasonic Transducers with Flexure Decoupling Flanges for Thermosonic Bonding. IEEE Trans. Ind. Electron. 2016, 63, 2304–2312. [Google Scholar] [CrossRef]
- Zhang, J.-G.; Long, Z.-L.; Ma, W.-J.; Hu, G.-H.; Li, Y.-M. Electromechanical Dynamics Model of Ultrasonic Transducer in Ultrasonic Machining Based on Equivalent Circuit Approach. Sensors 2019, 19, 1405. [Google Scholar] [CrossRef] [PubMed]
- Bybi, A.; Atlas, N.E.; Drissi, H.; Garoum, M.; Hladky-Hennion, A.-C. One-dimensional electromechanical equivalent circuit for piezoelectric array elements. In Proceedings of the 2017 International Conference on Electrical and Information Technologies (ICEIT), Rabat, Morocco, 15–18 November 2017; Springer: Cham, Switzerland, 2017. [Google Scholar]
- Kimura, S.; Komiyama, T.; Masuzawa, T.; Yokoya, M.; Oyoshi, T.; Yamanaka, M. Bovine serum albumin hydrogel formation: Ph dependence and rheological analyses. Chem. Pharm. Bull. 2023, 71, 229–233. [Google Scholar] [CrossRef] [PubMed]
- Tu, R.S.; Breedveld, V. Microrheological detection of protein unfolding. Phys. Rev. E 2005, 72, 041914. [Google Scholar] [CrossRef] [PubMed]
- Wagner, N.J.; Mewis, J. (Eds.) Theory and Applications of Colloidal Suspension Rheology; Cambridge University Press: Cambridge, UK, 2021. [Google Scholar]
- Pal, R. New generalized viscosity model for non-colloidal suspensions and emulsions. Fluids 2020, 5, 150. [Google Scholar] [CrossRef]
- Pindrus, M.A.; Cole, J.L.; Kaur, J.; Shire, S.J.; Yadav, S.; Devendra, S. Kalonia Effect of Aggregation on the Hydrodynamic Properties of Bovine Serum Albumin. Pharm. Res. 2017, 34, 2250–2259. [Google Scholar] [CrossRef] [PubMed]
- Casanova-Morales, N.; Alavi, Z.; Wilson, C.A.M.; Zocchi, G. Identifying Chaotropic and Kosmotropic Agents by Nanorheology. J. Phys. Chem. B 2018, 122, 3754–3759. [Google Scholar] [CrossRef]
- Gooran, N.; Kopra, K. Fluorescence-Based Protein Stability Monitoring—A Review. Int. J. Mol. Sci. 2024, 25, 1764. [Google Scholar] [CrossRef]








Disclaimer/Publisher’s Note: The statements, opinions and data contained in all publications are solely those of the individual author(s) and contributor(s) and not of MDPI and/or the editor(s). MDPI and/or the editor(s) disclaim responsibility for any injury to people or property resulting from any ideas, methods, instructions or products referred to in the content. |
© 2024 by the authors. Licensee MDPI, Basel, Switzerland. This article is an open access article distributed under the terms and conditions of the Creative Commons Attribution (CC BY) license (https://creativecommons.org/licenses/by/4.0/).
Share and Cite
Muñoz, R.; Fuentealba, J.-F.; Michea, S.; Santana, P.A.; Martinez, J.I.; Casanova-Morales, N.; Salinas-Barrera, V. Ultrasonic Sensor: A Fast and Non-Destructive System to Measure the Viscosity and Density of Molecular Fluids. Biosensors 2024, 14, 346. https://doi.org/10.3390/bios14070346
Muñoz R, Fuentealba J-F, Michea S, Santana PA, Martinez JI, Casanova-Morales N, Salinas-Barrera V. Ultrasonic Sensor: A Fast and Non-Destructive System to Measure the Viscosity and Density of Molecular Fluids. Biosensors. 2024; 14(7):346. https://doi.org/10.3390/bios14070346
Chicago/Turabian StyleMuñoz, Romina, Juan-Francisco Fuentealba, Sebastián Michea, Paula A. Santana, Juan Ignacio Martinez, Nathalie Casanova-Morales, and Vicente Salinas-Barrera. 2024. "Ultrasonic Sensor: A Fast and Non-Destructive System to Measure the Viscosity and Density of Molecular Fluids" Biosensors 14, no. 7: 346. https://doi.org/10.3390/bios14070346
APA StyleMuñoz, R., Fuentealba, J.-F., Michea, S., Santana, P. A., Martinez, J. I., Casanova-Morales, N., & Salinas-Barrera, V. (2024). Ultrasonic Sensor: A Fast and Non-Destructive System to Measure the Viscosity and Density of Molecular Fluids. Biosensors, 14(7), 346. https://doi.org/10.3390/bios14070346

