The Development of a Specific Nanofiber Bioreceptor for Detection of Escherichia coli and Staphylococcus aureus from Air
Abstract
1. Introduction
2. Materials and Methods
2.1. Materials
2.2. Nanofiber Fabrication, Modification, and Characterization
2.3. Bacterial Cultivation
2.4. Testing of the Nanofiber Bioreceptor
2.5. Data Analysis and Evaluation of Bioreceptor Effectivity
3. Results
3.1. Preparation and Characterization of PAN Nanofibers
3.2. The Detection of Bacteria and Evaluation of Bioreceptor Effectiveness
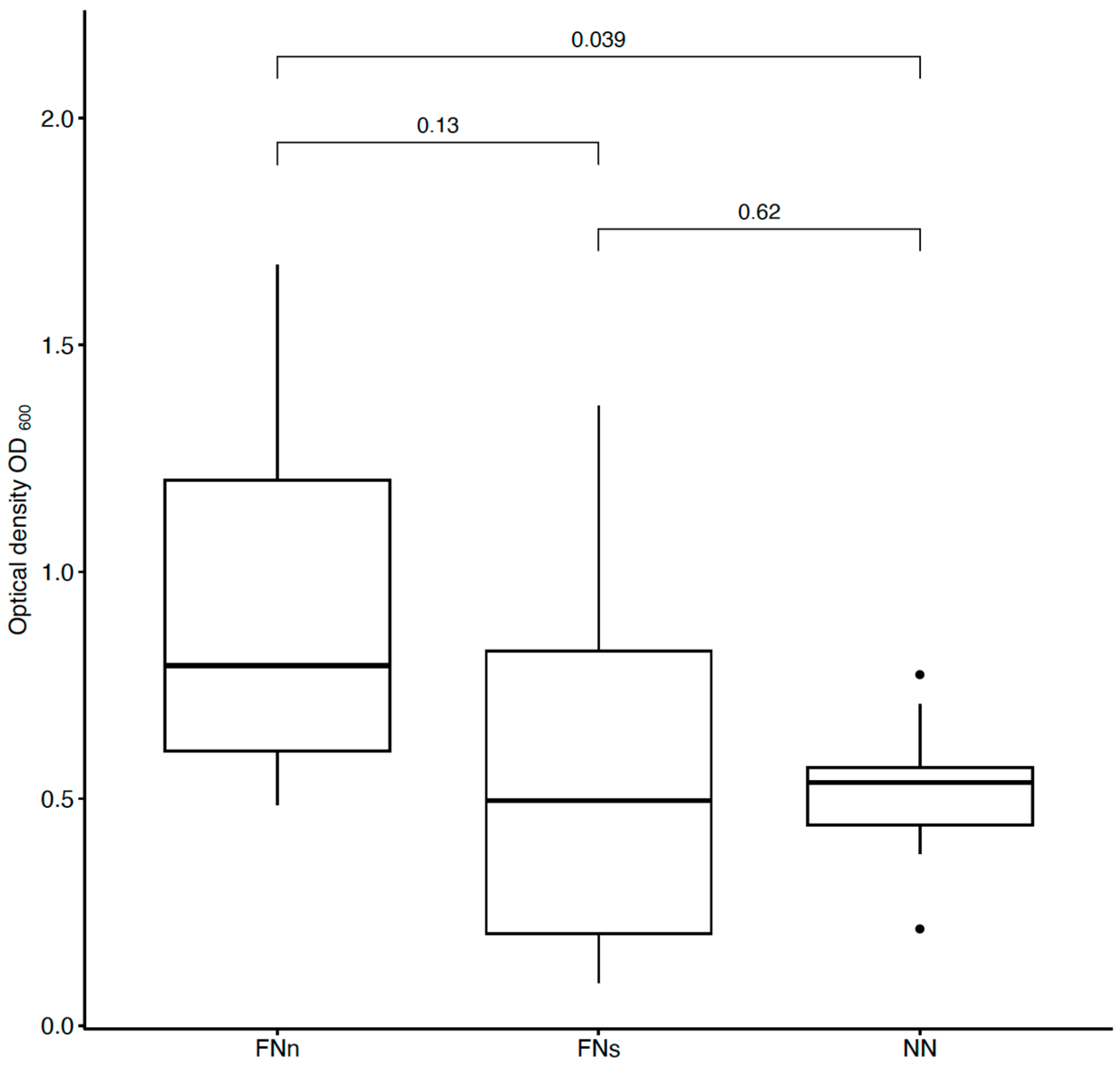
3.2.1. Detection of Escherichia coli
3.2.2. Detection of Staphylococcus aureus
4. Discussion
5. Conclusions
Author Contributions
Funding
Institutional Review Board Statement
Informed Consent Statement
Data Availability Statement
Acknowledgments
Conflicts of Interest
References
- Bhatia, D.; Paul, S.; Acharjee, T.; Ramachairy, S.S. Biosensors and their widespread impact on human health. Sens. Int. 2024, 5, 100257. [Google Scholar] [CrossRef]
- Kim, E.R.; Joe, C.; Mitchell, R.J.; Gu, M.B. Biosensors for healthcare: Current and future perspectives. Trends Biotechnol. 2023, 41, 374–395. [Google Scholar] [CrossRef] [PubMed]
- Murzin, D.; Mapps, D.J.; Levada, K.; Belyaev, V.; Omelyanchik, A.; Panina, L.; Rodionova, V. Ultrasensitive Magnetic Field Sensors for Biomedical Applications. Sensors 2020, 20, 1569. [Google Scholar] [CrossRef] [PubMed]
- Fiedorova, K.; Augustynek, M.; Kubicek, J.; Kudrna, P.; Bibbo, D. Review of present method of glucose from human blood and body fluids assessment. Biosens. Bioelectron. 2022, 211, 114348. [Google Scholar] [CrossRef]
- Yoon, J.-Y. Introduction to Biosensors: From Electric Circuits to Immunosensors, 2nd ed.; Springer: New York, NY, USA, 2016; ISBN 978-1-4419-6021-4. [Google Scholar]
- Yanagihara, K.; Kitagawa, Y.; Tomonaga, M.; Tsukasaki, K.; Kohno, S.; Seki, M.; Sugimoto, H.; Shimazu, T.; Tasaki, O.; Matsushima, A.; et al. Evaluation of pathogen detection from clinical samples by real-time polymerase chain reaction using a sepsis pathogen DNA detection kit. Crit. Care 2010, 14, 159. [Google Scholar] [CrossRef]
- Wolk, D.; Mitchell, S.; Patel, R. Principles Of Molecular Microbiology Testing Methods. Infect. Dis. Clin. N. Am. 2001, 15, 1157–1204. [Google Scholar] [CrossRef]
- Váradi, L.; Luo, J.L.; Hibbs, D.E.; Perry, J.D.; Anderson, R.J.; Orenga, S.; Groundwater, P.W. Methods for the detection and identification of pathogenic bacteria: Past, present, and future. R. Soc. Chem. 2017, 46, 4818–4832. [Google Scholar] [CrossRef] [PubMed]
- Alahi, M.E.; Mukhopadhyay, S.C. Detection Methodologies for Pathogen and Toxins: A Review. Sensors 2017, 17, 1885. [Google Scholar] [CrossRef]
- Myatt, C.J.; Delaney, M.; Todorof, K.; Heil, J. Low-Cost, Multiplexed Biosensor for Disease Diagnosis. In Proceedings of the SPIE Proceedings, Frontiers in Pathogen Detection: From Nanosensors to Systems, San Jose, CA, USA, 24–29 January 2009; Volume 1767, p. 716703. [Google Scholar] [CrossRef]
- Malhotra, S.; Pham, D.S.; Lau, M.P.H.; Nguyen, A.H.; Cao, H. A Low-Cost, 3D-Printed Biosensor for Rapid Detection of Escherichia coli. Sensors 2022, 22, 2382. [Google Scholar] [CrossRef]
- Fernando, L.M. Nanobiosensors for Detection of Pathogens. In Proceedings of the 16th Engineering Research and Development for Technology Conference, Pasay, Philippines, 25 October 2019. [Google Scholar]
- Song, M.; Yang, M.; Hao, J. Pathogenic Virus Detection by Optical Nanobiosensors. Cell Rep. Phys. Sci. 2021, 2, 100288. [Google Scholar] [CrossRef]
- Yang, L.; Li, Y.; Fang, F.; Li, L.; Yan, Z.; Zhang, L.; Sun, Q. Highly Sensitive and Miniature Microfiber-Based Ultrasound Sensor for Photoacoustic Tomography. Opto-Electron. Adv. 2022, 5, 200076. [Google Scholar] [CrossRef]
- Yu, W.; Yao, N.; Pan, J.; Fang, W.; Li, X.; Tong, L.; Zhang, L. Highly Sensitive and Fast Response Strain Sensor Based on Evanescently Coupled Micro/Nanofibers. Opto-Electron. Adv. 2022, 5, 210101. [Google Scholar] [CrossRef]
- Eivazzadeh-Keihan, R.; Noruzi, E.B.; Chidar, E.; Jafari, M.; Davoodi, F.; Kashtiaray, A.; Gorab, M.G.; Hashemi, S.M.; Javanshir, S.; Cohan, R.A.; et al. Applications of Carbon-Based Conductive Nanomaterials in Biosensors. Chem. Eng. J. 2022, 442, 136183. [Google Scholar] [CrossRef]
- Štukovnik, Z.; Fuchs-Godec, R.; Bren, U. Nanomaterials and Their Recent Applications in Impedimetric Biosensing. Biosensors 2023, 13, 899. [Google Scholar] [CrossRef] [PubMed]
- Dong, T.; Pires, N.M.M.; Yang, Z.; Jiang, Z. Advances in Electrochemical Biosensor Based on Nanomaterials for Protein Biomarker Detection in Saliva. Adv. Sci. 2023, 10, 2205429. [Google Scholar] [CrossRef] [PubMed]
- Bayrak, E. Nanofibers: Production, Characterization, and Tissue Engineering Applications. In 21st Century Nanostructured Materials—Physics, Chemistry, Classification, and Emerging Application in Industry, Biomedicine, and Agriculture; IntechOpen: London, UK, 2022. [Google Scholar] [CrossRef]
- Xue, J.; Xie, J.; Liu, W.; Xia, Y. Electrospun nanofibers: New concepts, materials, and applications. Acc. Chem. Res. 2017, 50, 1976–1987. [Google Scholar] [CrossRef] [PubMed]
- Al-Abduljabbar, A.; Farooq, I. Electrospun Polymer Nanofibers: Processing, Properties, and Applications. Polymers 2023, 15, 65. [Google Scholar] [CrossRef]
- Chakrapani, G.; Ramakrishna, S.; Zare, M. Functionalization of electrospun nanofiber for biomedical application. J. Appl. Polym. Sci. 2023, 140, e53906. [Google Scholar] [CrossRef]
- Pashchenko, A.; Stuchlíková, S.; Varvařovská, L.; Firment, P.; Staňková, L.; Nečasová, A.; Filipejová, Z.; Urbanová, L.; Jarošíková, T.; Nečas, A.; et al. Smart Nanofibres For Specific And Ultrasensitive Nanobiosensors And Drug Delivery System. Acta Vet. Brno 2022, 91, 163–170. [Google Scholar] [CrossRef]
- Kulkarni, D.; Musale, S.; Panzade, P.; Paiva-Santos, A.C.; Sonwane, P.; Madibone, M.; Choundhe, P.; Giram, P.; Cavalu, S. Surface Functionalization of Nanofibers: The Multifaceted Approach for Advanced Biomedical Applications. Nanomaterials 2022, 12, 3899. [Google Scholar] [CrossRef]
- Gokce, Z.G.; Akalin, P.; Kok, F.N.; Sarac, A.S. Impedimetric DNA Biosensor Based On Polyurethane/Poly(M-Anthranilic Acid) Nanofibers. Sens. Actuators B Chem. 2018, 254, 719–726. [Google Scholar] [CrossRef]
- Sarabaegi, M.; Roushani, M.; Hosseini, H. Hollow Carbon Nanocapsules-Based Nitrogen-Doped Carbon Nanofibers With Rosary-Like Structure As A High Surface Substrate For Impedimetric Detection Of Pseudomonas Aeruginosa. Talanta 2021, 223, 121700. [Google Scholar] [CrossRef]
- Sarabaegi, M.; Roushani, M.; Hosseini, H.; Saedi, Z.; Lemraski, E.G. A Novel Ultrasensitive Biosensor Based On Nico-Mof Nanostructure And Confined To Flexible Carbon Nanofibers With High-Surface Skeleton To Rapidly Detect Helicobacter Pylori. Mater. Sci. Semicond. Process. 2021, 139, 106351. [Google Scholar] [CrossRef]
- Ghasemi, R.; Mirahmadi-Zare, S.Z.; Allafchian, A.; Behmanesh, M. Fast fluorescent screening assay and dual electrochemical sensing of bacterial infection agent (streptococcus agalactiae) based on fluorescent-immune nanofibers. Sens. Actuators B. Chem. 2022, 352, 130968. [Google Scholar] [CrossRef]
- Rajamanickam, S.; Yoon Lee, N. Recent advances in airborne pathogen detection using optical and electrochemical biosensors. Anal. Chim. Acta 2022, 1234, 340297. [Google Scholar] [CrossRef]
- Al-Taie, A.; Han, X.; Williams, C.M.; Abdulwhhab, M.; Abbott, A.P.; Goddard, A.; Wegrzyn, M.; Garton, N.J.; Barer, M.R.; Pan, J. 3-D printed polyvinyl alcohol matrix for detection of airborne pathogens in respiratory bacterial infections. Microbiol. Res. 2020, 241, 126587. [Google Scholar] [CrossRef]
- Bhardwaj, S.K.; Bhardwaj, N.; Kumar, V.; Bhatt, D.; Azzouz, A.; Bhaumik, J.; Kim, K.-H.; Deep, A. Recent progress in nanomaterial-based sensing of airborne viral and bacterial pathogens. Environ. Int. 2021, 146, 106183. [Google Scholar] [CrossRef]
- Triadó-Margarit, X.; Cáliz, J.; Casamayor, E.O. A long-term atmospheric baseline for intercontinental exchange of airborne pathogens. Environ. Int. 2022, 158, 106916. [Google Scholar] [CrossRef] [PubMed]
- Varvařovská, L.; Kudrna, P.; Jarošíková, T. The development of a specific nanofiber bioreceptor for bacterial detection. In Advances in Digital Health and Medical Bioengineering, Proceedings of the 11th International Conference on E-Health and Bioengineering (EHB-2023), Bucharest, Romania, 9–10 November 2023; Springer Nature Publishing AG: Cham, Switzerland, 2024. [Google Scholar]
- Ramakrishna, S. An Introduction to Electrospinning and Nanofibers; World Scientific: Hackensack, NJ, USA, 2005. [Google Scholar] [CrossRef]
- Lim, C.T. Nanofiber Technology: Current Status and Emerging Developments. Prog. Polym. Sci. 2017, 70, 1–17. [Google Scholar] [CrossRef]
- Mercante, L.A.; Pavinatto, A.; Pereira, T.S.; Migliorini, F.L.; dos Santos, D.M.; Correa, D.S. Nanofibers interfaces for biosensing: Design and applications. Sens. Actuators Rep. 2021, 3, 100048. [Google Scholar] [CrossRef]
- Lasenko, I.; Grauda, D.; Butkauskas, D.; Sanchaniya, J.V.; Viluma-Gudmona, A.; Lusis, V. Testing the physical and mechanical properties of polyacrylonitrile nanofibers reinforced with succinite and silicon dioxide nanoparticles. Textiles 2022, 2, 162–173. [Google Scholar] [CrossRef]
- Sanchaniya, J.V.; Kanukuntla, K. Morphology and mechanical properties of PAN nanofiber Mat. J. Phys. Conf. Ser. 2022, 2423, 012018. [Google Scholar] [CrossRef]
- Senthil, R.; Sumathi, V.; Tamilselvi, A.; Kavukcu, S.B.; Aruni, A.W. Functionalized electrospun nanofibers for high efficiency removal of particulate matter. Sci. Rep. 2022, 12, 8411. [Google Scholar] [CrossRef] [PubMed]
- Haris, P.I. Infrared Spectroscopy of Protein Structure. In Encyclopedia of Biophysics; Springer: Berlin/Heidelberg, Germany, 2013; ISBN 978-3-642-16712-6. [Google Scholar]
- Tatulian, S.A. FTIR Analysis of Proteins and Protein-Membrane Interactions. Methods Mol. Biol. 2019, 2003, 281–325. [Google Scholar] [CrossRef]
- Varvařovská, L.; Sopko, B.; Gášková, D.; Bartl, T.; Amler, E.; Jarošíková, T. Surface-Functionalized PAN Nanofiber Membranes for the Sensitive Detection of Airborne Specific Markers. PeerJ 2024. accepted. [Google Scholar]
- Kanda, Y. Investigation of the freely available easy-to-use software ‘EZR’ for medical statistics. Bone Marrow Transplant. 2013, 48, 452–458. [Google Scholar] [CrossRef]
- Varvařovská, L.; Sopko, B.; Divín, R.; Pashschenko, A.; Fedačko, J.; Sabo, J.; Nečas, A.; Amler, E.; Jarošíková, T. Bacteria trapping effectivity on nanofibre membrane in liquids is exponentially dependent on the surface density. Acta Vet. Brno 2023, 92, 435–441. [Google Scholar] [CrossRef]
- Wang, J.; Yiu, B.; Obermeyer, J.; Filipe, C.D.M.; Brennan, J.D.; Pelton, R. Effects of Temperature and Relative Humidity on the Stability of Paper-Immobilized Antibodies. Biomacromolecules 2012, 13, 559–564. [Google Scholar] [CrossRef]
- Slocik, J.M.; Dennis, P.B.; Kuang, Z.; Pelton, A.; Naik, R.R. Creation of stable water-free antibody based protein liquids. Commun. Mater. 2021, 2, 118. [Google Scholar] [CrossRef]
- Zhou, Y.; Liu, Y.; Zhang, M.; Feng, Z.; Yu, D.-G.; Wang, K. Electrospun Nanofiber Membranes for Air Filtration: A Review. Nanomaterials 2022, 12, 1077. [Google Scholar] [CrossRef]
- Ventura, B.D.; Cennamo, M.; Minopoli, A.; Campanile, R.; Censi, S.B.; Terracciano, D.; Portella, G.; Velotta, R. Colorimetric test for fast detection of SARS-CoV-2 in nasal and throat swabs. ACS Sens. 2020, 5, 3043–3048. [Google Scholar] [CrossRef]
- Ménard-Moyon, C.; Bianco, A.; Kalantar-Zadeh, K. Two-dimensional material-based biosensors for virus detection. ACS Sens. 2020, 5, 3739–3769. [Google Scholar] [CrossRef]
- Prieto-Simón, B.; Bandaru, N.M.; Saint, C.; Voelcker, N.H. Tailored carbon nanotube immunosensors for the detection of microbial contamination. Biosens. Bioelectron. 2015, 67, 642–648. [Google Scholar] [CrossRef]
- Liu, Q.; Zhang, X.; Yao, Y.; Jing, W.; Liu, S.; Sui, G. A novel microfluidic module for rapid detection of airborne waterborne pathogens. Sens. Actuators B Chem. 2018, 258, 1138–1145. [Google Scholar] [CrossRef]
- Eltzov, E.; Pavluchov, V.; Burstin, M.; Marks, R.S. Creation of fiber optic based biosensor for air toxicity monitoring. Sens. Actuators B Chem. 2011, 155, 859–867. [Google Scholar] [CrossRef]
- Kim, H.-J.; Park, S.J.; Park, C.S.; Le, T.-H.; Lee, S.H.; Ha, T.H.; Kim, H.-I.; Kim, J.; Lee, C.-S.; Yoon, H.; et al. Surface-modified polymer nanofiber membrane for high-efficiency microdust capturing. Chem. Eng. J. 2018, 339, 204–213. [Google Scholar] [CrossRef]
- Shuvo, S.N.; Gomez, A.M.U.; Mishra, A.; Chen, W.Y.; Dongare, A.M.; Stanciu, L.A. Sulfur-doped titanium carbide MXenes for room-temperature gas sensing. ACS Sens. 2020, 5, 2915–2924. [Google Scholar] [CrossRef]
- Deng, Y.; Lu, T.; Cui, J.; Samal, S.K.; Xiong, R.; Huang, C. Bio-based electrospun nanofiber as building block for a novel eco-friendly air filtration membrane: A review. Sep. Purif. Technol. 2021, 277, 119623. [Google Scholar] [CrossRef]
- Zhu, M.; Han, J.; Wang, F.; Shao, W.; Xiong, R.; Zhang, Q.; Pan, H.; Yang, Y.; Samal, S.K.; Zhang, F.; et al. Electrospun nanofiber membranes for effective air filtration. Macromol. Mater. Eng. 2016, 302, 1600353. [Google Scholar] [CrossRef]
- Bortolassi, A.C.C.; Guerra, V.G.; Aguiar, M.L.; Soussan, L.; Cornu, D.; Miele, P.; Bechelany, M. Composites Based on Nanoparticle and Pan Electrospun Nanofiber Membranes for Air Filtration and Bacterial Removal. Nanomaterials 2019, 9, 1740. [Google Scholar] [CrossRef]
- Fahimirad, S.; Fahimirad, Z.; Sillanpää, M. Efficient removal of water bacteria and viruses using electrospun nanofibers. Sci. Total Environ. 2021, 751, 141673. [Google Scholar] [CrossRef] [PubMed]







| Fabrication Parameters | Values |
|---|---|
| Solution | PAN + DMF |
| Solution concentration [%] | 15 |
| Diameter of the wire electrode [mm] | 0.2 |
| Distance between electrodes [cm] | 25 |
| Temperature [°C] | 20 |
| Relative humidity [%] | 20 |
| Voltage [kV] | 50–90 |
| Hardware Parameters | Values |
|---|---|
| Wavelength range [nm] | 185–3300 |
| Wavelength accuracy for UV and VIS [nm] | ±0.2 |
| Wavelength accuracy for IR [nm] | ±0.8 |
| Photometric range [Abs] | −6–6 |
| Photometric accuracy [Abs] for 1 Abs | ±0.003 |
| Photometric accuracy [Abs] for 0.5 Abs | ±0.002 |
Disclaimer/Publisher’s Note: The statements, opinions and data contained in all publications are solely those of the individual author(s) and contributor(s) and not of MDPI and/or the editor(s). MDPI and/or the editor(s) disclaim responsibility for any injury to people or property resulting from any ideas, methods, instructions or products referred to in the content. |
© 2024 by the authors. Licensee MDPI, Basel, Switzerland. This article is an open access article distributed under the terms and conditions of the Creative Commons Attribution (CC BY) license (https://creativecommons.org/licenses/by/4.0/).
Share and Cite
Varvařovská, L.; Kudrna, P.; Sopko, B.; Jarošíková, T. The Development of a Specific Nanofiber Bioreceptor for Detection of Escherichia coli and Staphylococcus aureus from Air. Biosensors 2024, 14, 234. https://doi.org/10.3390/bios14050234
Varvařovská L, Kudrna P, Sopko B, Jarošíková T. The Development of a Specific Nanofiber Bioreceptor for Detection of Escherichia coli and Staphylococcus aureus from Air. Biosensors. 2024; 14(5):234. https://doi.org/10.3390/bios14050234
Chicago/Turabian StyleVarvařovská, Leontýna, Petr Kudrna, Bruno Sopko, and Taťána Jarošíková. 2024. "The Development of a Specific Nanofiber Bioreceptor for Detection of Escherichia coli and Staphylococcus aureus from Air" Biosensors 14, no. 5: 234. https://doi.org/10.3390/bios14050234
APA StyleVarvařovská, L., Kudrna, P., Sopko, B., & Jarošíková, T. (2024). The Development of a Specific Nanofiber Bioreceptor for Detection of Escherichia coli and Staphylococcus aureus from Air. Biosensors, 14(5), 234. https://doi.org/10.3390/bios14050234

