Recent Advancements in MXene-Based Biosensors for Health and Environmental Applications—A Review
Abstract
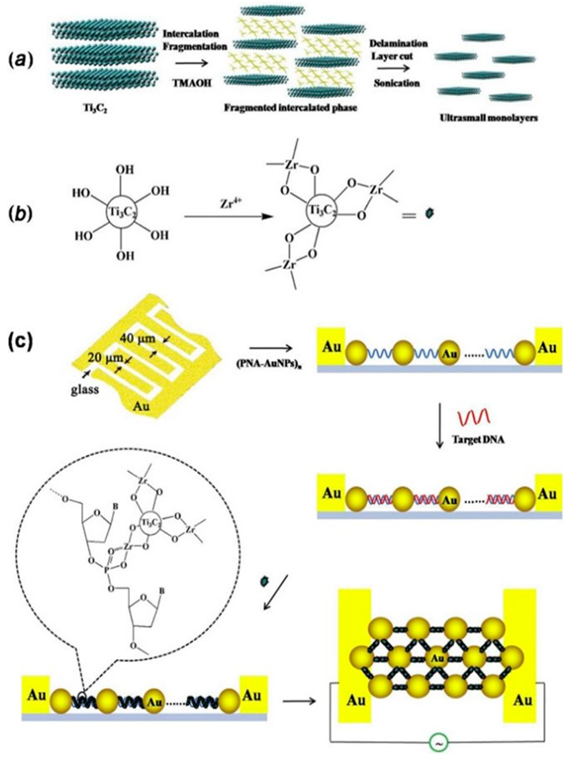
1. Introduction
2. Definition and Characteristics of MXenes
2.1. Definition of MXene
2.2. Synthesis Method and Characteristics
2.2.1. HF Etching Method-Based MXenes and Characteristics
- Ti3AlC2(s) + 3HF(l) → AlF3(s) + 3/2H2(g) + Ti3C2(s)
- Ti3C2(s) + 2HF(l) → Ti3C2F2(s) + H2(g)
- Ti3C2(s) + 2H2O(l) → Ti3C2 (OH)2(s) + H2(g)
- Ti3C2(s) + 2H2O(l) → Ti3C2O(s) + 2H2(g)
2.2.2. In Situ HF Etching Method-Based MXenes and Characteristics
2.2.3. Synthesis of MQDs and Characteristics
3. MXenes in Wearable Devices
4. MXenes in Volatile Organic Compound (VOC) Detection
5. MXenes in Biosensing
5.1. MXene-Based Electrochemical Biosensors
5.2. Enzymatic MXene-Based Biosensor
5.3. Optical Biosensors
5.4. Fluorescence-Based Biosensors
5.4.1. Heavy Metal Ion Detection
5.4.2. Detection of Biomolecules
5.4.3. Detection of Miscellaneous Compounds
6. MXene/MOF Composite-Based Biosensors
6.1. HIV Detection
6.2. Tyrosine Detection
6.3. Hygromycin B Detection
6.4. CD44 Detection
6.5. Arsenic (III) Detection
6.6. Dopamine Detection
7. Conclusions and Future Perspectives
Author Contributions
Funding
Data Availability Statement
Conflicts of Interest
References
- Philip, A.; Kumar, A.R. Two-dimensional materials and their role in sensitivity enhancement of surface plasmon resonancebased biosensor. TrAC Trends Anal. Chem. 2024, 171, 117497–117524. [Google Scholar] [CrossRef]
- Thenmozhi, R.; Maruthasalamoorthy, S.; Nirmala, R.; Navamathavan, R. Review—MXene Based Transducer for Biosensor Applications. J. Electrochem. Soc. 2021, 168, 117507–117532. [Google Scholar] [CrossRef]
- Sunkari, D.; Deshmukh, K.; Panda, S.; Pasha, S.K.K. Recent progress in MXene-based materials for lithium-ion and lithium-sulphur batteries: A comprehensive review. J. Energy Storage 2024, 92, 112017. [Google Scholar] [CrossRef]
- Pisani, F.; Zaheer, A.; Babar, Z.U.D.; Velotta, R.; Granata, C.; Tessicini, F.; Ventura, B.D.; Iannotti, V. Unveiling Biosensing Innovations: Laser Scattering Sensor and Gold Nanoparticles-Decorated Ti3C2 MXene Composite for Enhanced Biosensing Applications. IEEE Sens. Lett. 2024, 8, 1501204. [Google Scholar] [CrossRef]
- Roy, S.; Mondol, N.; Kundu, D.; Meem, A.A.; Islam, M.R.; Hossain, M.A.; Hossain, M.B. Numerical investigation into impact of halide perovskite material on the optical performance of prism-loaded hybrid surface plasmon resonance biosensor: A strategy to increase sensitivity. Sens. Bio-Sens. Res. 2024, 43, 100630. [Google Scholar] [CrossRef]
- Naresh, V.; Lee, N. A Review on Biosensors and Recent Development of Nanostructured Materials-Enabled Biosensors. Sensors 2021, 21, 1109. [Google Scholar] [CrossRef]
- Mal, D.K.; Pal, H.; Chakraborty, G. A comprehensive review on recent advances in fluorescence-based bio-analytes sensing. TrAC Trends Anal. Chem. 2024, 171, 117493–117518. [Google Scholar] [CrossRef]
- Naguib, M.; Mashtalir, O.; Carle, J.; Presser, V.; Lu, J.; Hultman, L.; Gogotsi, Y.; Barsoum, M.W. Two-Dimensional Transition Metal Carbides. ACS Nano 2012, 6, 1322–1331. [Google Scholar] [CrossRef]
- VahidMohammadi, A.; Rosen, J.; Gogotsi, Y. The world of two-dimensional carbides and nitrides (MXenes). Science 2021, 372, 1165–1180. [Google Scholar] [CrossRef]
- Hussain, I.; Lamiel, C.; Javed, M.S.; Ahmad, M.; Sahoo, S.; Chen, X.; Qin, N.; Iqbal, S.; Gu, S.; Li, Y.; et al. MXene-based heterostructures: Current trend and development in electrochemical energy storage devices. Prog. Energy Combust. Sci. 2023, 97, 101097–101124. [Google Scholar] [CrossRef]
- Liu, Y.; Zhang, W.; Zheng, W. Quantum Dots Compete at the Acme of MXene Family for the Optimal Catalysis. Nano-Micro Lett. 2022, 14, 158. [Google Scholar] [CrossRef] [PubMed]
- Iqbal, A.; Kwon, J.; Kim, M.K.; Koo, C.M. MXenes for electromagnetic interference shielding: Experimental and theoretical perspectives. Mater. Today Adv. 2021, 9, 100124–100139. [Google Scholar] [CrossRef]
- Goel, H.; Gupta, P.; Jha, K.; Akshita; Patel, M.; Shruti; Dwivedi, N.; Ranjan, K.R.; Dhand, C.; Mukherjee, M.D. MXene-based nanocomposites for biosensing: Recent developments and future prospects. FlatChem 2023, 42, 100576–100591. [Google Scholar] [CrossRef]
- Lorencova, L.; Kasak, P.; Kosutova, N.; Jerigova, M.; Noskovicova, E.; Vikartovska, A.; Barath, M.; Farkas, P.; Tkac, J. MXene-based electrochemical devices applied for healthcare applications. Microchim. Acta 2024, 191, 88. [Google Scholar] [CrossRef]
- Rhouati, A.; Berkani, M.; Vasseghian, Y.; Golzadeh, N. MXene-based electrochemical sensors for detection of environmental pollutants: A comprehensive review. Chemosphere 2022, 291, 132921. [Google Scholar] [CrossRef] [PubMed]
- Sezen, S.; Zarepour, A.; Zarrabi, A.; Iravani, S. MXene-based biosensors for selective detection of pathogenic viruses and bacteria. Microchem. J. 2023, 193, 109258. [Google Scholar] [CrossRef]
- Naguib, M.; Kurtoglu, M.; Presser, V.; Lu, J.; Niu, J.; Heon, M.; Hultman, L.; Gogotsi, Y.; Barsoum, M.W. Two-Dimensional Nanocrystals Produced by Exfoliation of Ti3AlC2. Adv. Mater. 2011, 23, 4248–4253. [Google Scholar] [CrossRef] [PubMed]
- Shao, B.Q.; Chen, X.T.; Chen, X.W.; Peng, S.Z.; Song, M.X. Advancements in MXene Composite Materials for Wearable Sensors: A Review. Sensors 2024, 24, 4092. [Google Scholar] [CrossRef] [PubMed]
- Thomas, T.; Bontha, S.; Bishnoi, A.; Sharma, P. MXene as a hydrogen storage material? A review from fundamentals to practical applications. J. Energy Storage 2024, 88, 111493. [Google Scholar] [CrossRef]
- Zhang, Q.; Wang, F.; Zhang, H.; Zhang, Y.; Liu, M.; Liu, Y. Universal Ti3C2 MXenes Based Self-Standard Ratiometric Fluorescence Resonance Energy Transfer Platform for Highly Sensitive Detection of Exosomes. Anal. Chem. 2018, 90, 12737–12744. [Google Scholar] [CrossRef]
- Kalkal, A.; Kadian, S.; Kumar, S.; Manik, G.; Sen, P.; Kumar, S.; Packirisamy, G. Ti3C2-MXene decorated with nanostructured silver as a dual-energy acceptor for the fluorometric neuron specific enolase detection. Biosens. Bioelectron. 2022, 195, 113620. [Google Scholar] [CrossRef] [PubMed]
- Shi, Y.; Luo, H.; Liu, H.; Hou, J.; Feng, Y.; Chen, J.; Xing, L.; Ren, X. Related biomarkers of neurocognitive impairment in children with obstructive sleep apnea. Int. J. Pediatr. Otorhinolaryngol. 2019, 116, 38–42. [Google Scholar] [CrossRef] [PubMed]
- Khorsandi, D.; Yang, J.-W.; Ülker, Z.; Bayraktaroğlu, K.; Zarepour, A.; Iravani, S.; Khosravi, A. MXene-based nano(bio)sensors for the detection of biomarkers: A move towards intelligent sensors. Microchem. J. 2024, 197, 109874. [Google Scholar] [CrossRef]
- Tian, S.; Wang, M.; Fornasiero, P.; Yang, X.; Ramakrishna, S.; Ho, S.-H.; Li, F. Recent advances in MXenes-based glucose biosensors. Chin. Chem. Lett. 2023, 34, 108241. [Google Scholar] [CrossRef]
- Iravani, S.; Varma, R.S. MXenes in Cancer Nanotheranostics. Nanomaterials 2022, 12, 3360. [Google Scholar] [CrossRef] [PubMed]
- Yoon, J.; Shin, M.; Lim, J.; Lee, J.Y.; Choi, J.W. Recent Advances in MXene Nanocomposite-Based Biosensors. Biosensors 2020, 10, 185. [Google Scholar] [CrossRef]
- Janjhi, F.A.; Ihsanullah, I.; Bilal, M.; Castro-Muñoz, R.; Boczkaj, G.; Gallucci, F. MXene-based materials for removal of antibiotics and heavy metals from wastewater—A review. Water Resour. Ind. 2023, 29, 100202. [Google Scholar] [CrossRef]
- Dixit, F.; Zimmermann, K.; Alamoudi, M.; Abkar, L.; Barbeau, B.; Mohseni, M.; Kandasubramanian, B.; Smith, K. Application of MXenes for air purification, gas separation and storage: A review. Renew. Sustain. Energy Rev. 2022, 164, 112527. [Google Scholar] [CrossRef]
- Gopalram, K.; Kapoor, A.; Kumar, P.S.; Sunil, A.; Rangasamy, G. MXenes and MXene-based Materials for Removal and Detection of Water Contaminants: A Review. Ind. Eng. Chem. Res. 2023, 62, 6559–6583. [Google Scholar] [CrossRef]
- Zahra, Q.u.A.; Ullah, S.; Shahzad, F.; Qiu, B.; Fang, X.; Ammar, A.; Luo, Z.; Abbas Zaidi, S. MXene-based aptasensors: Advances, challenges, and prospects. Prog. Mater. Sci. 2022, 129, 100967. [Google Scholar] [CrossRef]
- Otgonbayar, Z.; Oh, W.C. Comprehensive and multi-functional MXene based sensors: An updated review. Flatchem 2023, 40, 100524. [Google Scholar] [CrossRef]
- Sinha, A.; Dhanjai; Zhao, H.; Huang, Y.; Lu, X.; Chen, J.; Jain, R. MXene: An emerging material for sensing and biosensing. TrAC Trends Anal. Chem. 2018, 105, 424–435. [Google Scholar] [CrossRef]
- Kalambate, P.K.; Noiphung, J.; Rodthongkum, N.; Larpant, N.; Thirabowonkitphithan, P.; Rojanarata, T.; Hasan, M.; Huang, Y.; Laiwattanapaisal, W. Nanomaterials-based electrochemical sensors and biosensors for the detection of non-steroidal anti-inflammatory drugs. TrAC Trends Anal. Chem. 2021, 143, 116403. [Google Scholar] [CrossRef]
- Özcan, N.; Medetalibeyoglu, H.; Akyıldırım, O.; Atar, N.; Yola, M.L. Electrochemical detection of amyloid-β protein by delaminated titanium carbide MXene/multi-walled carbon nanotubes composite with molecularly imprinted polymer. Mater. Today Commun. 2020, 23, 101097. [Google Scholar] [CrossRef]
- Xu, H.F.; Dong, Y.Q.; Zhu, X.; Yu, L.S. Novel Two-Dimensional MXene for Biomedical Applications. Prog. Chem. 2021, 33, 752–766. [Google Scholar] [CrossRef]
- Wu, X.Z.; Ma, P.Y.; Sun, Y.; Du, F.X.; Song, D.Q.; Xu, G.B. Application of MXene in Electrochemical Sensors: A Review. Electroanalysis 2021, 33, 1827–1851. [Google Scholar] [CrossRef]
- Qin, R.; Shan, G.; Hu, M.; Huang, W. Two-dimensional transition metal carbides and/or nitrides (MXenes) and their applications in sensors. Mater. Today Phys. 2021, 21, 100527. [Google Scholar] [CrossRef]
- Ranjbari, S.; Darroudi, M.; Hatamluyi, B.; Arefinia, R.; Aghaee-Bakhtiari, S.H.; Rezayi, M.; Khazaei, M. Application of MXene in the diagnosis and treatment of breast cancer: A critical overview. Front. Bioeng. Biotechnol. 2022, 10, 984336. [Google Scholar] [CrossRef]
- Salim, O.; Mahmoud, K.A.; Pant, K.K.; Joshi, R.K. Introduction to MXenes: Synthesis and characteristics. Mater. Today Chem. 2019, 14, 100191. [Google Scholar] [CrossRef]
- Wei, Y.; Zhang, P.; Soomro, R.A.; Zhu, Q.; Xu, B. Advances in the Synthesis of 2D MXenes. Adv. Mater. 2021, 33, 2103148. [Google Scholar] [CrossRef]
- Dhamodharan, D.; Dhinakaran, V.; Byun, H.-S. MXenes: An emerging 2D material. Carbon 2022, 192, 366–383. [Google Scholar] [CrossRef]
- Xu, B.; Gogotsi, Y. MXenes: From Discovery to Applications. Adv. Funct. Mater. 2020, 30, 2007011–2007013. [Google Scholar] [CrossRef]
- Naguib, M.; Mochalin, V.N.; Barsoum, M.W.; Gogotsi, Y. 25th Anniversary Article: MXenes: A New Family of Two-Dimensional Materials. Adv. Mater. 2014, 26, 992–1005. [Google Scholar] [CrossRef] [PubMed]
- Sai Bhargava Reddy, M.; Aich, S. Recent progress in surface and heterointerface engineering of 2D MXenes for gas sensing applications. Coord. Chem. Rev. 2024, 500, 215542. [Google Scholar] [CrossRef]
- Gogotsi, Y.; Anasori, B. The Rise of MXenes. ACS Nano 2019, 13, 8491–8494. [Google Scholar] [CrossRef]
- Hong, W.; Wyatt, B.C.; Nemani, S.K.; Anasori, B. Double transition-metal MXenes: Atomistic design of two-dimensional carbides and nitrides. MRS Bull. 2020, 45, 850–861. [Google Scholar] [CrossRef]
- Chy, M.N.U.; Rahman, M.A.; Kim, J.H.; Barua, N.; Dujana, W.A. MXene as Promising Anode Material for High-Performance Lithium-Ion Batteries: A Comprehensive Review. Nanomaterials 2024, 14, 616. [Google Scholar] [CrossRef]
- Dahlqvist, M.; Barsoum, M.W.; Rosen, J. MAX phases—Past, present, and future. Mater. Today 2024, 72, 1–24. [Google Scholar] [CrossRef]
- Gul, I.; Sayed, M.; Saeed, T.; Rehman, F.; Naeem, A.; Gul, S.; Khan, Q.; Naz, K.; ur Rehman, M. Unveiling cutting-edge progress in the fundamentals of MXene: Synthesis strategies, energy and bio-environmental applications. Coord. Chem. Rev. 2024, 511, 215870. [Google Scholar] [CrossRef]
- Gogotsi, Y. MXenes: From Discovery to Applications of Two-Dimensional Metal Carbides and Nitrides; CRC Press: Boca Raton, FL, USA, 2023. [Google Scholar]
- Benchakar, M.; Loupias, L.; Garnero, C.; Bilyk, T.; Morais, C.; Canaff, C.; Guignard, N.; Morisset, S.; Pazniak, H.; Hurand, S.; et al. One MAX phase, different MXenes: A guideline to understand the crucial role of etching conditions on Ti3C2Tx surface chemistry. Appl. Surf. Sci. 2020, 530, 147209. [Google Scholar] [CrossRef]
- Pang, S.-Y.; Wong, Y.-T.; Yuan, S.; Liu, Y.; Tsang, M.-K.; Yang, Z.; Huang, H.; Wong, W.-T.; Hao, J. Universal Strategy for HF-Free Facile and Rapid Synthesis of Two-dimensional MXenes as Multifunctional Energy Materials. J. Am. Chem. Soc. 2019, 141, 9610–9616. [Google Scholar] [CrossRef] [PubMed]
- Akhter, R.; Maktedar, S.S. MXenes: A comprehensive review of synthesis, properties, and progress in supercapacitor applications. J. Mater. 2023, 9, 1196–1241. [Google Scholar] [CrossRef]
- Maleski, K.; Alhabeb, M. Top-Down MXene Synthesis (Selective Etching). In 2D Metal Carbides and Nitrides (MXenes): Structure, Properties and Applications; Anasori, B., Gogotsi, Y., Eds.; Springer International Publishing: Cham, Switzerland, 2019. [Google Scholar] [CrossRef]
- Zhou, C.; Zhao, X.; Xiong, Y.; Tang, Y.; Ma, X.; Tao, Q.; Sun, C.; Xu, W. A review of etching methods of MXene and applications of MXene conductive hydrogels. Eur. Polym. J. 2022, 167, 111063–111081. [Google Scholar] [CrossRef]
- Shao, B.; Liu, Z.; Zeng, G.; Wang, H.; Liang, Q.; He, Q.; Cheng, M.; Zhou, C.; Jiang, L.; Song, B. Two-dimensional transition metal carbide and nitride (MXene) derived quantum dots (QDs): Synthesis, properties, applications and prospects. J. Mater. Chem. A 2020, 8, 7508–7535. [Google Scholar] [CrossRef]
- Sun, J.; Zhang, Z.; Alomar, M.; Alqarni, A.S.; Najla Alotaibi, M.S.; Badriah Alshahrani, M.S.; Alghamdi, A.A.; Kou, Z.; Shen, W.; Chen, Y.; et al. Recent Advances in the Synthesis of MXene Quantum Dots. Chem. Rec. 2023, 23, e202200268–e202200281. [Google Scholar] [CrossRef] [PubMed]
- Cheng, Y.; Jiang, B.; Chaemchuen, S.; Verpoort, F.; Kou, Z. Advances and challenges in designing MXene quantum dots for sensors. Carbon Neutralization 2023, 2, 213–234. [Google Scholar] [CrossRef]
- Sun, T.; Tang, M.; Shi, Y.; Li, B. MXenes Quantum Dots for Biomedical Applications: Recent Advances and Challenges. Chem. Rec. 2022, 22, e202200019. [Google Scholar] [CrossRef]
- Zhou, C.; Tan, K.B.; Han, W.; Wang, L.; Lu, M. A review of MXene-derived quantum dots: Synthesis, characterization, properties, and applications. Particuology 2024, 91, 50–71. [Google Scholar] [CrossRef]
- Ma, C.; Ma, M.-G.; Si, C.; Ji, X.-X.; Wan, P. Flexible MXene-based Composites for Wearable Devices. Adv. Funct. Mater. 2021, 31, 2009524. [Google Scholar] [CrossRef]
- Yu, Q.; Jiang, J.; Su, C.; Huang, Y.; Chen, N.; Shao, H. Ti3C2Tx MXene/polyvinyl alcohol decorated polyester warp knitting fabric for flexible wearable strain sensors. Text. Res. J. 2021, 92, 810–824. [Google Scholar] [CrossRef]
- Li, H.; Du, Z. MXene Fiber-based Wearable Textiles in Sensing and Energy Storage Applications. Fibers Polym. 2023, 24, 1167–1182. [Google Scholar] [CrossRef]
- Chen, K.; Lai, W.; Xiao, W.; Li, L.; Huang, S.; Xiao, X. Low-Temperature Adaptive Dual-Network MXene Nanocomposite Hydrogel as Flexible Wearable Strain Sensors. Micromachines 2023, 14, 1563. [Google Scholar] [CrossRef] [PubMed]
- Liu, C.; Feng, Z.; Yin, T.; Wan, T.; Guan, P.; Li, M.; Hu, L.; Lin, C.-H.; Han, Z.; Xu, H.; et al. Multi-Interface Engineering of MXenes for Self-Powered Wearable Devices. Adv. Mater. 2024, 2403791. [Google Scholar] [CrossRef] [PubMed]
- He, G.; Ning, F.; Liu, X.; Meng, Y.; Lei, Z.; Ma, X.; Tian, M.; Liu, X.; Zhang, X.; Zhang, X.; et al. High-Performance and Long-Term Stability of MXene/PEDOT:PSS-Decorated Cotton Yarn for Wearable Electronics Applications. Adv. Fiber Mater. 2024, 6, 367–386. [Google Scholar] [CrossRef]
- Yu, W.; Li, Y.; Xin, B.; Lu, Z. MXene/PVA Fiber-based Supercapacitor with Stretchability for Wearable Energy Storage. Fibers Polym. 2022, 23, 2994–3001. [Google Scholar] [CrossRef]
- Chai, H.; Luo, J.; Li, J.; Zhong, Y.; Zhang, L.; Feng, X.; Xu, H.; Mao, Z. Lightweight and robust cellulose/MXene/polyurethane composite aerogels as personal protective wearable devices for electromagnetic interference shielding. Int. J. Biol. Macromol. 2024, 271, 132435. [Google Scholar] [CrossRef]
- Fu, N.; Liu, H.; Zhang, J.; Wang, S.; Yang, Y.; Chen, K.; Deng, Z. Bioinspired multifunctional MXene-decorated textile for thermal management, durable self-cleaning, bio-protection and wearable strain sensor. Appl. Surf. Sci. 2024, 669, 160607. [Google Scholar] [CrossRef]
- Zhou, J.; Chen, H.; Zhou, P.; Peng, Q.; Guo, Q.; Wang, J.; Xu, Y.; You, M.; Weng, M. Ti3C2Tx MXene Nanosheet-Functionalized Leathers for Versatile Wearable Electronics. ACS Appl. Nano Mater. 2023, 6, 18150–18164. [Google Scholar] [CrossRef]
- Han, S.; Zou, M.; Pu, X.; Lu, Y.; Tian, Y.; Li, H.; Liu, Y.; Wu, F.; Huang, N.; Shen, M.; et al. Smart MXene-based bioelectronic devices as wearable health monitor for sensing human physiological signals. VIEW 2023, 4, 20230005. [Google Scholar] [CrossRef]
- Weng, M.; Zhou, J.; Ye, Y.; Qiu, H.; Zhou, P.; Luo, Z.; Guo, Q. Self-chargeable supercapacitor made with MXene-bacterial cellulose nanofiber composite for wearable devices. J. Colloid Interface Sci. 2023, 647, 277–286. [Google Scholar] [CrossRef]
- Fan, X.; Ding, Y.; Liu, Y.; Liang, J.; Chen, Y. Plasmonic Ti3C2Tx MXene Enables Highly Efficient Photothermal Conversion for Healable and Transparent Wearable Device. ACS Nano 2019, 13, 8124–8134. [Google Scholar] [CrossRef] [PubMed]
- Shuvo, S.N.; Ulloa Gomez, A.M.; Mishra, A.; Chen, W.Y.; Dongare, A.M.; Stanciu, L.A. Sulfur-Doped Titanium Carbide MXenes for Room-Temperature Gas Sensing. ACS Sens. 2020, 5, 2915–2924. [Google Scholar] [CrossRef] [PubMed]
- Han, Y.; Ding, Y.; Zhang, W.; Zhuang, H.; Wang, Z.; Li, Z.; Zhu, Z. SnS2/Ti3C2Tx hybrids for conductometric triethylamine detection at room temperature. Sens. Actuators B Chem. 2023, 381, 133360. [Google Scholar] [CrossRef]
- Li, D.; Liu, G.; Zhang, Q.; Qu, M.; Fu, Y.Q.; Liu, Q.; Xie, J. Virtual sensor array based on MXene for selective detections of VOCs. Sens. Actuators B Chem. 2021, 331, 129414. [Google Scholar] [CrossRef]
- Kim, S.J.; Koh, H.-J.; Ren, C.E.; Kwon, O.; Maleski, K.; Cho, S.-Y.; Anasori, B.; Kim, C.-K.; Choi, Y.-K.; Kim, J.; et al. Metallic Ti3C2Tx MXene Gas Sensors with Ultrahigh Signal-to-Noise Ratio. ACS Nano 2018, 12, 986–993. [Google Scholar] [CrossRef]
- Mirzaei, A.; Lee, M.H.; Safaeian, H.; Kim, T.-U.; Kim, J.-Y.; Kim, H.W.; Kim, S.S. Room Temperature Chemiresistive Gas Sensors Based on 2D MXenes. Sensors 2023, 23, 8829. [Google Scholar] [CrossRef]
- Xu, X.; Jiang, H.; Liu, W.; Wang, S.; Wang, X.; Wang, M.; Ma, W.; Sun, G.; Liu, J. Design of Ti3C2Tx/SnO2-Selective Ethanolamine Sensor. ACS Appl. Nano Mater. 2024, 7, 4324–4335. [Google Scholar] [CrossRef]
- Liu, S.; Wang, M.; Liu, G.; Wan, N.; Ge, C.; Hussain, S.; Meng, H.; Wang, M.; Qiao, G. Enhanced NO2 gas-sensing performance of 2D Ti3C2/TiO2 nanocomposites by in-situ formation of Schottky barrier. Appl. Surf. Sci. 2021, 567, 150747. [Google Scholar] [CrossRef]
- Bhardwaj, R.; Hazra, A. SrTiO3 passivated MXene (Ti3C2Tx) for efficient VOC detection in hazardous humid ambient. Sens. Actuators B Chem. 2024, 401, 134967. [Google Scholar] [CrossRef]
- Zong, B.; Xu, Q.; Mao, S. Single-Atom Pt-Functionalized Ti3C2Tx Field-Effect Transistor for Volatile Organic Compound Gas Detection. ACS Sens. 2022, 7, 1874–1882. [Google Scholar] [CrossRef]
- Nam, M.S.; Kim, J.-Y.; Mirzaei, A.; Lee, M.H.; Kim, H.W.; Kim, S.S. Au- and Pt-decorated Ti3C2Tx MXenes for preparing self-heated and flexible NH3 gas sensors. Sens. Actuators B Chem. 2024, 403, 135112. [Google Scholar] [CrossRef]
- Yao, Y.; Wang, Z.; Wang, W.; Han, Y.; Zhu, Z. High-intensity ultrasonic exfoliation-assisted rapid preparation of MXene for gas sensing. Chem. Eng. J. 2024, 489, 151140. [Google Scholar] [CrossRef]
- Majhi, S.M.; Ali, A.; Greish, Y.E.; El-Maghraby, H.F.; Qamhieh, N.N.; Hajamohideen, A.R.; Mahmoud, S.T. Accordion-like-Ti3C2 MXene-based Gas Sensors with Sub-ppm Level Detection of Acetone at Room Temperature. ACS Appl. Electron. Mater. 2022, 4, 4094–4103. [Google Scholar] [CrossRef]
- Majhi, S.M.; Ali, A.; Greish, Y.E.; El-Maghraby, H.F.; Mahmoud, S.T. V2CTx MXene-based hybrid sensor with high selectivity and ppb-level detection for acetone at room temperature. Sci. Rep. 2023, 13, 3114. [Google Scholar] [CrossRef]
- Rathi, K.; Arkoti, N.K.; Pal, K. Fabrication of Delaminated 2D Metal Carbide MXenes (Nb2CT) by CTAB-based NO2 Gas Sensor with Enhanced Stability. Adv. Mater. Interfaces 2022, 9, 2200415. [Google Scholar] [CrossRef]
- Huang, P.; Qin, F.; Kong, D.; Yang, X.; Zheng, Z.; Deng, S.; Wang, W.; Huang, H.; Zhang, S. Enhanced room temperature ammonia sensing using Ti2VC2Tx double-transition-metal MXenes: Experimental and theoretical insights. Chem. Phys. Lett. 2024, 843, 141233. [Google Scholar] [CrossRef]
- Zhang, J.; Li, Y.; Duan, S.; He, F. Highly electrically conductive two-dimensional Ti3C2 Mxenes-based 16S rDNA electrochemical sensor for detecting Mycobacterium tuberculosis. Anal. Chim. Acta 2020, 1123, 9–17. [Google Scholar] [CrossRef]
- Heikenfeld, J.; Jajack, A.; Rogers, J.; Gutruf, P.; Tian, L.; Pan, T.; Li, R.; Khine, M.; Kim, J.; Wang, J.; et al. Wearable sensors: Modalities, challenges, and prospects. Lab Chip 2018, 18, 217–248. [Google Scholar] [CrossRef]
- Manzanares-Palenzuela, C.L.; Pourrahimi, A.M.; Gonzalez-Julian, J.; Sofer, Z.; Pykal, M.; Otyepka, M.; Pumera, M. Interaction of single- and double-stranded DNA with multilayer MXene by fluorescence spectroscopy and molecular dynamics simulations. Chem. Sci. 2019, 10, 10010–10017. [Google Scholar] [CrossRef]
- Yang, J.; Xu, C.; Yang, Q.; Wei, W.; Wang, C. Ag nanoparticle in situ decorated on Ti3C2Tx with excellent SERS and EIS immunoassay performance for beta-human chorionic gonadotropin. Microchim. Acta 2022, 189, 348. [Google Scholar] [CrossRef]
- Zhan, S.; Wu, Y.; Wang, L.; Zhan, X.; Zhou, P. A mini-review on functional nucleic acids-based heavy metal ion detection. Biosens. Bioelectron. 2016, 86, 353–368. [Google Scholar] [CrossRef] [PubMed]
- Morrison, D.; Rothenbroker, M.; Li, Y. DNAzymes: Selected for Applications. Small Methods 2018, 2, 1700319. [Google Scholar] [CrossRef]
- Breaker, R.R.; Joyce, G.F. A DNA enzyme that cleaves RNA. Chem. Biol. 1994, 1, 223–229. [Google Scholar] [CrossRef]
- Ma, B.-K.; LI, M.; Cheong, L.-Z.; Weng, X.-C.; Shen, C.; Huang, Q. Enzyme-MXene Nanosheets: Fabrication and Application in Electrochemical Detection of H2O2. J. Inorg. Mater. 2020, 35, 131–138. [Google Scholar] [CrossRef]
- Xu, W.; Sakran, M.; Fei, J.; Li, X.; Weng, C.; Yang, W.; Zhu, G.; Zhu, W.; Zhou, X. Electrochemical Biosensor Based on HRP/Ti3C2/Nafion Film for Determination of Hydrogen Peroxide in Serum Samples of Patients with Acute Myocardial Infarction. ACS Biomater. Sci. Eng. 2021, 7, 2767–2773. [Google Scholar] [CrossRef]
- Murugan, P.; Annamalai, J.; Atchudan, R.; Govindasamy, M.; Nallaswamy, D.; Ganapathy, D.; Reshetilov, A.; Sundramoorthy, A.K. Electrochemical Sensing of Glucose Using Glucose Oxidase/PEDOT:4-Sulfocalix [4]arene/MXene Composite Modified Electrode. Micromachines 2022, 13, 304. [Google Scholar] [CrossRef]
- Xia, T.; Liu, G.; Wang, J.; Hou, S.; Hou, S. MXene-based enzymatic sensor for highly sensitive and selective detection of cholesterol. Biosens. Bioelectron. 2021, 183, 113243. [Google Scholar] [CrossRef]
- Zhou, L.; Zhang, X.; Ma, L.; Gao, J.; Jiang, Y. Acetylcholinesterase/chitosan-transition metal carbides nanocomposites-based biosensor for the organophosphate pesticides detection. Biochem. Eng. J. 2017, 128, 243–249. [Google Scholar] [CrossRef]
- Wu, L.; Lu, X.; Dhanjai; Wu, Z.-S.; Dong, Y.; Wang, X.; Zheng, S.; Chen, J. 2D transition metal carbide MXene as a robust biosensing platform for enzyme immobilization and ultrasensitive detection of phenol. Biosens. Bioelectron. 2018, 107, 69–75. [Google Scholar] [CrossRef]
- Song, M.; Pang, S.-Y.; Guo, F.; Wong, M.-C.; Hao, J. Fluoride-Free 2D Niobium Carbide MXenes as Stable and Biocompatible Nanoplatforms for Electrochemical Biosensors with Ultrahigh Sensitivity. Adv. Sci. 2020, 7, 2001546–2001554. [Google Scholar] [CrossRef]
- Lu, D.; Zhao, H.; Zhang, X.; Chen, Y.; Feng, L. New Horizons for MXenes in Biosensing Applications. Biosensors 2022, 12, 820. [Google Scholar] [CrossRef] [PubMed]
- Wu, M.; Zhang, Q.; Fang, Y.; Deng, C.; Zhou, F.; Zhang, Y.; Wang, X.; Tang, Y.; Wang, Y. Polylysine-modified MXene nanosheets with highly loaded glucose oxidase as cascade nanoreactor for glucose decomposition and electrochemical sensing. J. Colloid Interface Sci. 2021, 586, 20–29. [Google Scholar] [CrossRef]
- Rakhi, R.B.; Nayak, P.; Xia, C.; Alshareef, H.N. Novel amperometric glucose biosensor based on MXene nanocomposite. Sci. Rep. 2016, 6, 36422. [Google Scholar] [CrossRef]
- Alsaif, H.; Wekalao, J.; Ben Ali, N.; Kahouli, O.; Logeshwaran, J.; Patel, S.K.; Armghan, A. Design and Optimization of a MXene-based Terahertz Surface Plasmon Resonance Sensor for Malaria Detection. Plasmonics 2024. [Google Scholar] [CrossRef]
- Singh, S.; Chaudhary, B.; Kumar, R.; Upadhyay, A.; Kumar, S. A Numerical Analysis of Rectangular Open Channel Embedded TiO-Au-MXene Employed PCF Biosensor for Brain Tumor Diagnosis. IEEE Sens. J. 2024, 24, 16047–16054. [Google Scholar] [CrossRef]
- Sun, H.Y.; Guan, J.; Chai, H.N.; Yu, K.; Qu, L.J.; Zhang, X.J.; Zhang, G.Y. Zinc porphyrin/MXene hybrids with phosphate-induced stimuli-responsive behavior for dual-mode fluorescent/electrochemiluminescent ratiometric biosensing. Biosens. Bioelectron. 2024, 251, 116080. [Google Scholar] [CrossRef] [PubMed]
- Lang, X.Z.; Singh, R.; Zhang, B.Y.; Kumar, S. Highly Sensitive TIT4T Fiber-Based WaveFlex Biosensors Functionalized with MXene-QDs for Xanthine Detection. IEEE Sens. J. 2024, 24, 1564–1571. [Google Scholar] [CrossRef]
- Hasanah, L.; Mutia, R.; Wulandari, C.; Mulyanti, B.; Sahari, S.K.; Pawinanto, R.E.; Hamzah, A.A. Investigating the effect of surface termination and thickness of MXene on the detection response of the SPR sensor using FDTD simulation. Results Opt. 2023, 13, 100438. [Google Scholar] [CrossRef]
- Singh, R.; Zhang, W.; Liu, X.C.; Zhang, B.Y.; Kumar, S. WaveFlex Biosensor: MXene-Immobilized W-shaped Fiber-Based LSPR sensor for highly selective tyramine detection. Opt. Laser Technol. 2024, 171, 110357. [Google Scholar] [CrossRef]
- Zhang, W.; Singh, R.; Liu, F.Z.; Marques, C.; Zhang, B.Y.; Kumar, S. WaveFlex Biosensor: A Flexible-Shaped Plasmonic Optical Fiber Sensor for Histamine Detection. IEEE Sens. J. 2023, 23, 22533–22542. [Google Scholar] [CrossRef]
- Li, H.T.; Huang, T.Q.; Yuan, H.; Lu, L.; Cao, Z.G.; Zhang, L.; Yang, Y.; Yu, B.L.; Wang, H.Z. Combined Ultrasensitive Detection of Renal Cancer Proteins and Cells Using an Optical Microfiber Functionalized with TiC MXene and Gold Nanorod-Nanosensitized Interfaces. Anal. Chem. 2023, 95, 5142–5150. [Google Scholar] [CrossRef] [PubMed]
- Li, G.R.; Singh, R.; Guo, J.J.; Zhang, B.Y.; Kumar, S. Nb2CTx MXene-assisted double S-tapered fiber-based LSPR sensor with improved features for tyramine detection. Appl. Phys. Lett. 2023, 122, 083701. [Google Scholar] [CrossRef]
- Xue, Q.; Zhang, H.; Zhu, M.; Pei, Z.; Li, H.; Wang, Z.; Huang, Y.; Huang, Y.; Deng, Q.; Zhou, J.; et al. Photoluminescent Ti3C2 MXene Quantum Dots for Multicolor Cellular Imaging. Adv. Mater. 2017, 29, 1604847. [Google Scholar] [CrossRef]
- Guan, Q.; Ma, J.; Yang, W.; Zhang, R.; Zhang, X.; Dong, X.; Fan, Y.; Cai, L.; Cao, Y.; Zhang, Y.; et al. Highly fluorescent Ti3C2 MXene quantum dots for macrophage labeling and Cu2+ ion sensing. Nanoscale 2019, 11, 14123–14133. [Google Scholar] [CrossRef]
- Xu, G.; Niu, Y.; Yang, X.; Jin, Z.; Wang, Y.; Xu, Y.; Niu, H. Preparation of Ti3C2T MXene-Derived Quantum Dots with White/Blue-Emitting Photoluminescence and Electrochemiluminescence. Adv. Opt. Mater. 2018, 6, 1800951. [Google Scholar] [CrossRef]
- Pandey, P.; Sengupta, A.; Parmar, S.; Bansode, U.; Gosavi, S.; Swarnkar, A.; Muduli, S.; Mohite, A.D.; Ogale, S. CsPbBr3-Ti3C2Tx MXene QD/QD Heterojunction: Photoluminescence Quenching, Charge Transfer, and Cd Ion Sensing Application. ACS Appl. Nano Mater. 2020, 3, 3305–3314. [Google Scholar] [CrossRef]
- Yang, G.; Zhao, J.; Yi, S.; Wan, X.; Tang, J. Biodegradable and photostable Nb2C MXene quantum dots as promising nanofluorophores for metal ions sensing and fluorescence imaging. Sens. Actuators B Chem. 2020, 309, 127735. [Google Scholar] [CrossRef]
- Desai, M.L.; Basu, H.; Singhal, R.K.; Saha, S.; Kailasa, S.K. Ultra-small two-dimensional MXene nanosheets for selective and sensitive fluorescence detection of Ag+ and Mn2+ ions. Colloids Surf. A Physicochem. Eng. Asp. 2019, 565, 70–77. [Google Scholar] [CrossRef]
- Zhang, Q.; Sun, Y.; Liu, M.; Liu, Y. Selective detection of Fe3+ ions based on fluorescence MXene quantum dots via a mechanism integrating electron transfer and inner filter effect. Nanoscale 2020, 12, 1826–1832. [Google Scholar] [CrossRef]
- Xu, X.; Zhang, H.; Diao, Q.; Zhu, Y.; Yang, G.; Ma, B. Highly sensitive fluorescent sensing for intracellular glutathione based on Ti3C2 quantum dots. J. Mater. Sci. Mater. Electron. 2020, 31, 175–181. [Google Scholar] [CrossRef]
- Shi, Y.-e.; Han, F.; Xie, L.; Zhang, C.; Li, T.; Wang, H.; Lai, W.-F.; Luo, S.; Wei, W.; Wang, Z.; et al. A MXene of type Ti3C2Tx functionalized with copper nanoclusters for the fluorometric determination of glutathione. Microchim. Acta 2019, 187, 38. [Google Scholar] [CrossRef] [PubMed]
- Guo, Z.; Zhu, X.; Wang, S.; Lei, C.; Huang, Y.; Nie, Z.; Yao, S. Fluorescent Ti3C2 MXene quantum dots for an alkaline phosphatase assay and embryonic stem cell identification based on the inner filter effect. Nanoscale 2018, 10, 19579–19585. [Google Scholar] [CrossRef] [PubMed]
- Liu, M.; Zhou, J.; He, Y.; Cai, Z.; Ge, Y.; Zhou, J.; Song, G. ε-Poly-L-lysine-protected Ti3C2 MXene quantum dots with high quantum yield for fluorometric determination of cytochrome c and trypsin. Microchim. Acta 2019, 186, 770. [Google Scholar] [CrossRef] [PubMed]
- Liu, M.; He, Y.; Zhou, J.; Ge, Y.; Zhou, J.; Song, G. A “naked-eye” colorimetric and ratiometric fluorescence probe for uric acid based on Ti3C2 MXene quantum dots. Anal. Chim. Acta 2020, 1103, 134–142. [Google Scholar] [CrossRef]
- Zhu, X.; Fan, L.; Wang, S.; Lei, C.; Huang, Y.; Nie, Z.; Yao, S. Phospholipid-Tailored Titanium Carbide Nanosheets as a Novel Fluorescent Nanoprobe for Activity Assay and Imaging of Phospholipase D. Anal. Chem. 2018, 90, 6742–6748. [Google Scholar] [CrossRef]
- Zhu, X.; Pang, X.; Zhang, Y.; Yao, S. Titanium carbide MXenes combined with red-emitting carbon dots as a unique turn-on fluorescent nanosensor for label-free determination of glucose. J. Mater. Chem. B 2019, 7, 7729–7735. [Google Scholar] [CrossRef]
- Peng, X.; Zhang, Y.; Lu, D.; Guo, Y.; Guo, S. Ultrathin Ti3C2 nanosheets based “off-on” fluorescent nanoprobe for rapid and sensitive detection of HPV infection. Sens. Actuators B Chem. 2019, 286, 222–229. [Google Scholar] [CrossRef]
- Wang, S.; Zeng, P.; Zhu, X.; Lei, C.; Huang, Y.; Nie, Z. Chimeric Peptides Self-Assembling on Titanium Carbide MXenes as Biosensing Interfaces for Activity Assay of Post-translational Modification Enzymes. Anal. Chem. 2020, 92, 8819–8826. [Google Scholar] [CrossRef]
- Hong, J.; Wang, W.; Wang, J.; Wang, X.; Xie, H.; Li, T.; Gan, N. A turn-on-type fluorescence resonance energy transfer aptasensor for vibrio detection using aptamer-modified polyhedral oligomeric silsesquioxane-perovskite quantum dots/Ti3C2 MXenes composite probes. Microchim. Acta 2021, 188, 45. [Google Scholar] [CrossRef]
- Sheng, A.; Wang, P.; Yang, J.; Tang, L.; Chen, F.; Zhang, J. MXene Coupled with CRISPR-Cas12a for Analysis of Endotoxin and Bacteria. Anal. Chem. 2021, 93, 4676–4681. [Google Scholar] [CrossRef]
- Wang, S.; Wei, S.; Wang, S.; Zhu, X.; Lei, C.; Huang, Y.; Nie, Z.; Yao, S. Chimeric DNA-Functionalized Titanium Carbide MXenes for Simultaneous Mapping of Dual Cancer Biomarkers in Living Cells. Anal. Chem. 2019, 91, 1651–1658. [Google Scholar] [CrossRef] [PubMed]
- Wang, X.; Zhang, X.; Cao, H.; Huang, Y. A facile and rapid approach to synthesize uric acid-capped Ti3C2 MXene quantum dots for the sensitive determination of 2,4,6-trinitrophenol both on surfaces and in solution. J. Mater. Chem. B 2020, 8, 10837–10844. [Google Scholar] [CrossRef]
- Chen, X.; Sun, X.; Xu, W.; Pan, G.; Zhou, D.; Zhu, J.; Wang, H.; Bai, X.; Dong, B.; Song, H. Ratiometric photoluminescence sensing based on Ti3C2 MXene quantum dots as an intracellular pH sensor. Nanoscale 2018, 10, 1111–1118. [Google Scholar] [CrossRef]
- Lu, Q.; Wang, J.; Li, B.; Weng, C.; Li, X.; Yang, W.; Yan, X.; Hong, J.; Zhu, W.; Zhou, X. Dual-Emission Reverse Change Ratio Photoluminescence Sensor Based on a Probe of Nitrogen-Doped Ti3C2 Quantum Dots@DAP to Detect H2O2 and Xanthine. Anal. Chem. 2020, 92, 7770–7777. [Google Scholar] [CrossRef]
- Huang, D.; Wu, Y.; Ai, F.; Zhou, X.; Zhu, G. Fluorescent nitrogen-doped Ti3C2 MXene quantum dots as a unique “on-off-on” nanoprobe for chrominum (VI) and ascorbic acid based on inner filter effect. Sens. Actuators B Chem. 2021, 342, 130074. [Google Scholar] [CrossRef]
- Liu, M.; Bai, Y.; He, Y.; Zhou, J.; Ge, Y.; Zhou, J.; Song, G. Facile microwave-assisted synthesis of Ti3C2 MXene quantum dots for ratiometric fluorescence detection of hypochlorite. Microchim. Acta 2021, 188, 15. [Google Scholar] [CrossRef]
- Jiao, L.; Seow, J.Y.R.; Skinner, W.S.; Wang, Z.U.; Jiang, H.-L. Metal-organic frameworks: Structures and functional applications. Mater. Today 2019, 27, 43–68. [Google Scholar] [CrossRef]
- Furukawa, H.; Cordova, K.E.; O’Keeffe, M.; Yaghi, O.M. The Chemistry and Applications of Metal-Organic Frameworks. Science 2013, 341, 1230444. [Google Scholar] [CrossRef] [PubMed]
- Li, B.; Wen, H.-M.; Cui, Y.; Zhou, W.; Qian, G.; Chen, B. Emerging Multifunctional Metal-Organic Framework Materials. Adv. Mater. 2016, 28, 8819–8860. [Google Scholar] [CrossRef]
- Allendorf, M.D.; Stavila, V. Crystal engineering, structure-function relationships, and the future of metal-organic frameworks. CrystEngComm 2015, 17, 229–246. [Google Scholar] [CrossRef]
- Mathew, A.E.; Jose, S.; Babu, A.M.; Varghese, A. State of the art MOF-composites and MXene-composites: Synthesis, fabrication and diverse applications. Mater. Today Chem. 2024, 36, 101927. [Google Scholar] [CrossRef]
- Wang, W.T.; Batool, N.; Zhang, T.H.; Liu, J.; Han, X.F.; Tian, J.H.; Yang, R.Z. When MOFs meet MXenes: Superior ORR performance in both alkaline and acidic solutions. J. Mater. Chem. A 2021, 9, 3952–3960. [Google Scholar] [CrossRef]
- Chen, R.P.; Pang, W.; Li, S.; Zhou, H.Y.; Han, D.P.; Qin, K.; Ren, S.Y.; Gao, Z.X. Recent advances and prospects in MOF/MXene sensors. Sustain. Mater. Technol. 2024, 40, e00935. [Google Scholar] [CrossRef]
- Valizadeh, A.; Sohrabi, N.; Badrzadeh, F. Electrochemical detection of HIV-1 by nanomaterials. Artif. Cells Nanomed. Biotechnol. 2017, 45, 1467–1477. [Google Scholar] [CrossRef] [PubMed]
- Li, B.; Li, Z.; Situ, B.; Dai, Z.; Liu, Q.; Wang, Q.; Gu, D.; Zheng, L. Sensitive HIV-1 detection in a homogeneous solution based on an electrochemical molecular beacon coupled with a nafion-graphene composite film modified screen-printed carbon electrode. Biosens. Bioelectron. 2014, 52, 330–336. [Google Scholar] [CrossRef]
- Kurdekar, A.D.; Chunduri, L.A.A.; Chelli, S.M.; Haleyurgirisetty, M.K.; Bulagonda, E.P.; Zheng, J.; Hewlett, I.K.; Kamisetti, V. Fluorescent silver nanoparticle based highly sensitive immunoassay for early detection of HIV infection. RSC Adv. 2017, 7, 19863–19877. [Google Scholar] [CrossRef]
- Wang, Y.; Sun, W.; Li, Y.; Zhuang, X.; Tian, C.; Luan, F.; Fu, X. Imidazole metal-organic frameworks embedded in layered Ti3C2Tx Mxene as a high-performance electrochemiluminescence biosensor for sensitive detection of HIV-1 protein. Microchem. J. 2021, 167, 106332. [Google Scholar] [CrossRef]
- Feng, J.; Deng, P.; Xiao, J.; Li, J.; Tian, Y.; Wu, Y.; Liu, J.; Li, G.; He, Q. New voltammetric method for determination of tyrosine in foodstuffs using an oxygen-functionalized multi-walled carbon nanotubes modified acetylene black paste electrode. J. Food Compos. Anal. 2021, 96, 103708. [Google Scholar] [CrossRef]
- Zribi, R.; Maalej, R.; Messina, E.; Gillibert, R.; Donato, M.G.; Maragò, O.M.; Gucciardi, P.G.; Leonardi, S.G.; Neri, G. Exfoliated 2D-MoS2 nanosheets on carbon and gold screen printed electrodes for enzyme-free electrochemical sensing of tyrosine. Sens. Actuators B Chem. 2020, 303, 127229. [Google Scholar] [CrossRef]
- Deng, P.; Xiao, J.; Feng, J.; Tian, Y.; Wu, Y.; Li, J.; He, Q. Highly sensitive electrochemical sensor for tyrosine detection using a sub-millimeter electrode. Microchem. J. 2021, 165, 106106. [Google Scholar] [CrossRef]
- Chen, B.; Zhang, Y.; Lin, L.; Chen, H.; Zhao, M. Au nanoparticles @metal organic framework/polythionine loaded with molecularly imprinted polymer sensor: Preparation, characterization, and electrochemical detection of tyrosine. J. Electroanal. Chem. 2020, 863, 114052. [Google Scholar] [CrossRef]
- Chen, J.; Chen, Y.; Li, S.; Yang, J.; Dong, J.; Lu, X. MXene/CNTs/Cu-MOF electrochemical probe for detecting tyrosine. Carbon 2022, 199, 110–118. [Google Scholar] [CrossRef]
- Glinka, M.; Wasik, A. Rapid determination of multiple aminoglycoside antibiotics in veterinary formulations by ion-pair chromatography coupled with evaporative light scattering detection. Microchem. J. 2021, 171, 106843. [Google Scholar] [CrossRef]
- Nowacka-Kozak, E.; Gajda, A.; Gbylik-Sikorska, M. Analysis of Aminoglycoside Antibiotics: A Challenge in Food Control. Molecules 2023, 28, 4595. [Google Scholar] [CrossRef]
- Huang, H.; Jin, W.W.; Huang, M.; Ji, H.; Capen, D.E.; Xia, Y.; Yuan, J.; Păunescu, T.G.; Lu, H.A.J. Gentamicin-Induced Acute Kidney Injury in an Animal Model Involves Programmed Necrosis of the Collecting Duct. J. Am. Soc. Nephrol. 2020, 31, 2097–2115. [Google Scholar] [CrossRef]
- De Rycke, E.; Stove, C.; Dubruel, P.; De Saeger, S.; Beloglazova, N. Recent developments in electrochemical detection of illicit drugs in diverse matrices. Biosens. Bioelectron. 2020, 169, 112579. [Google Scholar] [CrossRef]
- Wang, H.; Cai, L.; Wang, Y.; Liu, C.; Fang, G.; Wang, S. Covalent molecularly imprinted electrochemical sensor modulated by borate ester bonds for hygromycin B detection based on the synergistic signal amplification of Cu-MOF and MXene. Food Chem. 2022, 383, 132382. [Google Scholar] [CrossRef]
- Cao, Y.; Yu, X.; Han, B.; Dong, L.; Xu, J.; Dai, Y.; Li, G.; Zhao, J. In Situ Programmable DNA Circuit-Promoted Electrochemical Characterization of Stemlike Phenotype in Breast Cancer. J. Am. Chem. Soc. 2021, 143, 16078–16086. [Google Scholar] [CrossRef]
- Soomro, R.A.; Jawaid, S.; Kalawar, N.H.; Tunesi, M.; Karakuş, S.; Kilislioğlu, A.; Willander, M. In-situ engineered MXene-TiO2/BiVO4 hybrid as an efficient photoelectrochemical platform for sensitive detection of soluble CD44 proteins. Biosens. Bioelectron. 2020, 166, 112439. [Google Scholar] [CrossRef]
- Qiu, Y.; Zhou, B.; Yang, X.; Long, D.; Hao, Y.; Yang, P. Novel Single-Cell Analysis Platform Based on a Solid-State Zinc-Coadsorbed Carbon Quantum Dots Electrochemiluminescence Probe for the Evaluation of CD44 Expression on Breast Cancer Cells. ACS Appl. Mater. Interfaces 2017, 9, 16848–16856. [Google Scholar] [CrossRef]
- Lian, M.; Shi, Y.; Chen, L.; Qin, Y.; Zhang, W.; Zhao, J.; Chen, D. Cell Membrane and V2C MXene-based Electrochemical Immunosensor with Enhanced Antifouling Capability for Detection of CD44. ACS Sens. 2022, 7, 2701–2709. [Google Scholar] [CrossRef] [PubMed]
- Kumar Jena, B.; Retna Raj, C. Gold Nanoelectrode Ensembles for the Simultaneous Electrochemical Detection of Ultratrace Arsenic, Mercury, and Copper. Anal. Chem. 2008, 80, 4836–4844. [Google Scholar] [CrossRef] [PubMed]
- Xiao, P.; Zhu, G.; Shang, X.; Hu, B.; Zhang, B.; Tang, Z.; Yang, J.; Liu, J. An Fe-MOF/MXene-based ultra-sensitive electrochemical sensor for arsenic(III) measurement. J. Electroanal. Chem. 2022, 916, 116382. [Google Scholar] [CrossRef]
- Chen, H.; Liu, W.; Cheng, L.; Meledina, M.; Meledin, A.; Van Deun, R.; Leus, K.; Van Der Voort, P. Amidoxime-functionalized covalent organic framework as simultaneous luminescent sensor and adsorbent for organic arsenic from water. Chem. Eng. J. 2022, 429, 132162. [Google Scholar] [CrossRef]
- Yang, J.; Hu, Y.; Li, Y. Molecularly imprinted polymer-decorated signal on-off ratiometric electrochemical sensor for selective and robust dopamine detection. Biosens. Bioelectron. 2019, 135, 224–230. [Google Scholar] [CrossRef]
- Boruah, P.K.; Sharma, N.; Das, M.R.; Ohtani, R.; Le Ouay, B.; Ohba, M. Metal-organic framework/Nb4C3Tx MXene composites for ultrasensitive detection of dopamine. Chem. Commun. 2024, 60, 7307–7310. [Google Scholar] [CrossRef]




















| Composite | Identify Units | Target | LOD | Range | Ref. |
|---|---|---|---|---|---|
| Au/Ti3C2 | Glucose oxidase | Glucose | 5.9 µM | 0.1–18 mM | [105] |
| PLL/Ti3C2 | Glucose oxidase | Glucose | 2.6 µM | 4.0–20 µM | [104] |
| PEDOT: SCX/Ti3C2Tx | Glucose oxidase | Glucose | 22.5 µM | 0.5–8 mM | [98] |
| Ti3C2/Nafions | Horseradish peroxidase | H2O2 | 1 µM | 5–8000 µM | [97] |
| MXene/chitosan | Horseradish peroxidase | H2O2 | 0.74 µM | 5–1650 µM | [96] |
| Chit/ChOx/Ti3C2Tx | Cholesterol oxidase | Cholesterol | 0.11 nM | 0.3–4.5 nM | [99] |
| Ti3C2 | Tyrosinase | Phenol | 12 nM | 50 nM–15.5 µM | [101] |
| CS–Ti3C2Tx | Acetylcholinesterase | Acetylthiocholine chloride | 3 fM | 10 nM–10 fM | [100] |
| GA/Nb2CTx | Acetylcholinesterase | Phosmet | 144 pM | 200 pM–1 µM | [102] |
Disclaimer/Publisher’s Note: The statements, opinions and data contained in all publications are solely those of the individual author(s) and contributor(s) and not of MDPI and/or the editor(s). MDPI and/or the editor(s) disclaim responsibility for any injury to people or property resulting from any ideas, methods, instructions or products referred to in the content. |
© 2024 by the authors. Licensee MDPI, Basel, Switzerland. This article is an open access article distributed under the terms and conditions of the Creative Commons Attribution (CC BY) license (https://creativecommons.org/licenses/by/4.0/).
Share and Cite
Ali, A.; Majhi, S.M.; Siddig, L.A.; Deshmukh, A.H.; Wen, H.; Qamhieh, N.N.; Greish, Y.E.; Mahmoud, S.T. Recent Advancements in MXene-Based Biosensors for Health and Environmental Applications—A Review. Biosensors 2024, 14, 497. https://doi.org/10.3390/bios14100497
Ali A, Majhi SM, Siddig LA, Deshmukh AH, Wen H, Qamhieh NN, Greish YE, Mahmoud ST. Recent Advancements in MXene-Based Biosensors for Health and Environmental Applications—A Review. Biosensors. 2024; 14(10):497. https://doi.org/10.3390/bios14100497
Chicago/Turabian StyleAli, Ashraf, Sanjit Manohar Majhi, Lamia A. Siddig, Abdul Hakeem Deshmukh, Hongli Wen, Naser N. Qamhieh, Yaser E. Greish, and Saleh T. Mahmoud. 2024. "Recent Advancements in MXene-Based Biosensors for Health and Environmental Applications—A Review" Biosensors 14, no. 10: 497. https://doi.org/10.3390/bios14100497
APA StyleAli, A., Majhi, S. M., Siddig, L. A., Deshmukh, A. H., Wen, H., Qamhieh, N. N., Greish, Y. E., & Mahmoud, S. T. (2024). Recent Advancements in MXene-Based Biosensors for Health and Environmental Applications—A Review. Biosensors, 14(10), 497. https://doi.org/10.3390/bios14100497

