Evaluation of the Chewing Pattern through an Electromyographic Device
Abstract
1. Introduction
2. Materials and Methods
2.1. Development of a Device to Assess Chewing Behavior
2.2. Sample Preparation and Characterization
- Number of chews ( adimensional): the number of chews made by the subject (). The number of detected chewing cycles is called . The whole process is repeated to calculate . The average of and gives an estimate of the number of chews :
- Cycle Time (, second): the time spent on a single bite in seconds. is calculated as the ratio of the sum of all the time intervals of the chews and the number of chews . The whole process is repeated to calculate . The average of and , gives an estimate of the cycle time . This parameter is a good estimate of the chewing rate (in seconds). In the following, the full formula used to calculate is reported.
- Chewing Time (, second): the effective time in which the subject has chewed in seconds (), as expressed by the product between the number of chews and the cycle time, calculated according to the following equation:
- Work (, volts * second): the estimated area under the masticatory signal. Right work is the sum of the products between the mean voltage ( and Dually, it is calculated as . The average between and is the work .
- Work rate (, volt): indicates the power exerted by the masticatory muscles (in volts), which is expressed as the ratio between the work and chewing time. This feature is calculated as the ratio between the work and chewing time:
- Asymmetry index : is related to the number of chews of the masticatory, assessing whether it is balanced or not, and is calculated as follows:
- balanced if ,
- slightly unbalanced to the right if or to left if
- unbalanced to the right or to the left if
2.3. Statistics
3. Results
3.1. Study Population
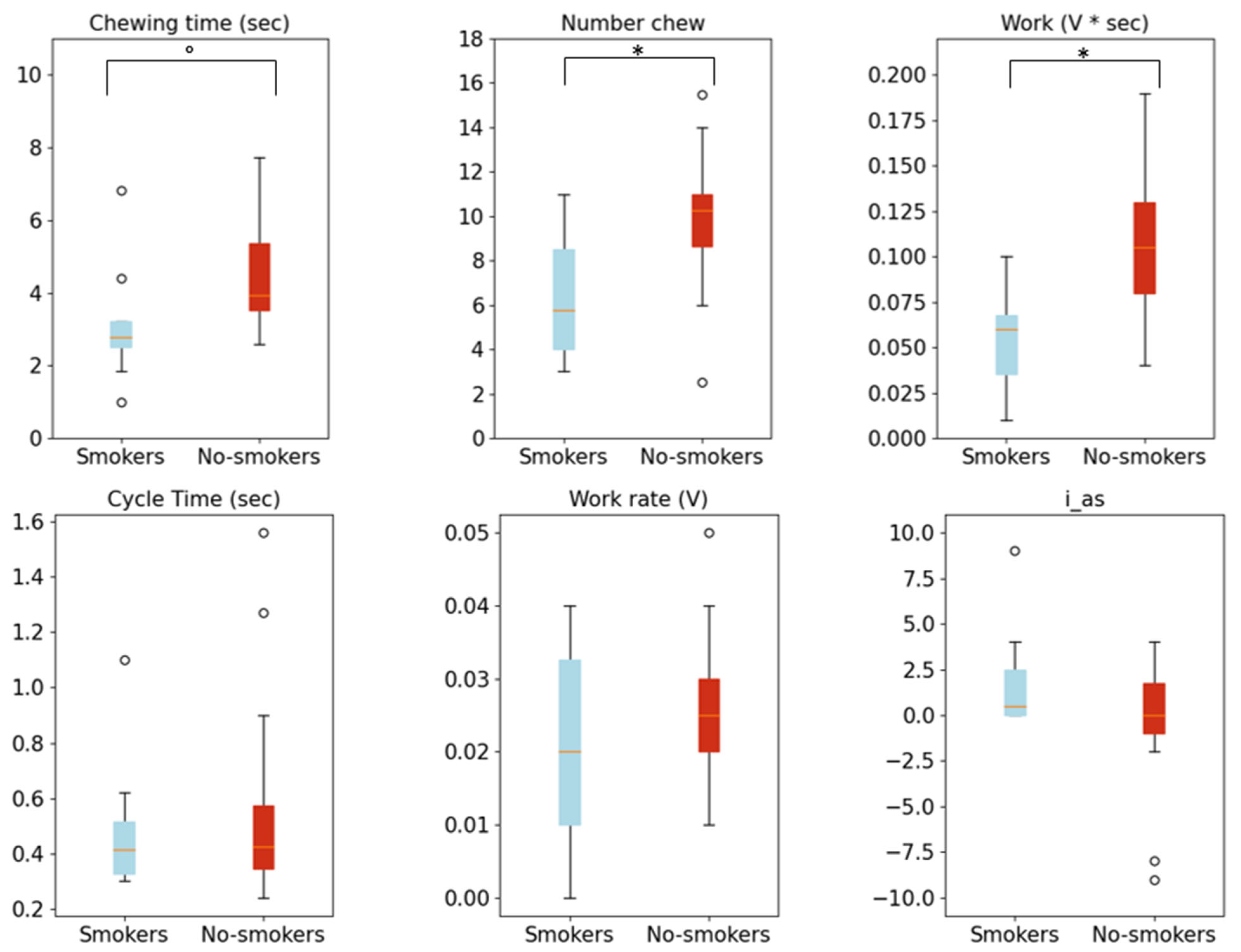
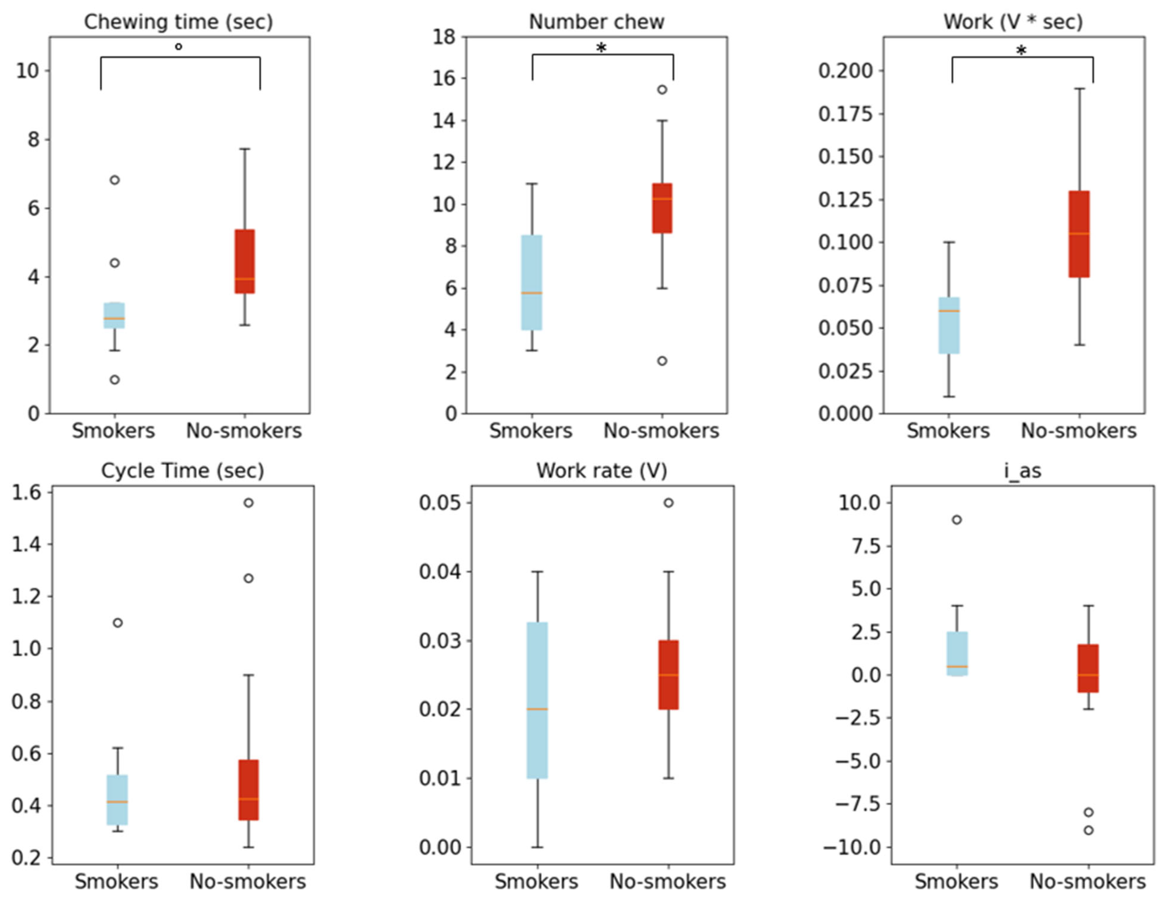
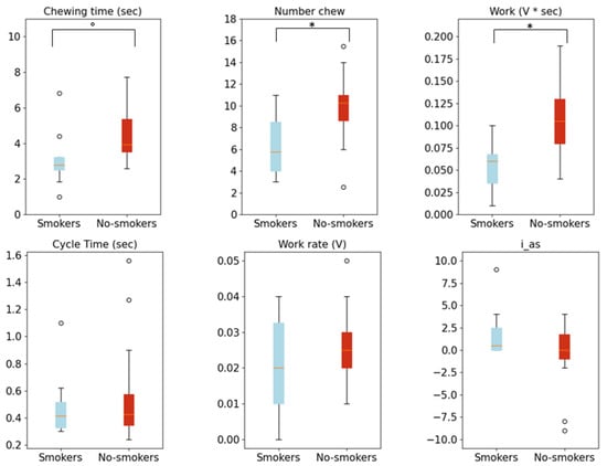
3.2. Chewing Profiles of Smokers and Non-Smokers
3.3. Graphical Clustering of the Chewing Profiles of Smokers and Non-Smokers
4. Discussion
5. Conclusions
Author Contributions
Funding
Institutional Review Board Statement
Informed Consent Statement
Data Availability Statement
Conflicts of Interest
References
- Silverthon, D.U. Fisiologia: Un Approccio Integrato, 2nd ed.; Casa Editrice Ambrosiana: Rozzano, Italy, 2005. [Google Scholar]
- Hossain, D.; Imtiaz, M.H.; Sazonov, E. Comparison of Wearable Sensors for Estimation of Chewing Strength. IEEE Sens. J. 2020, 20, 5379–5388. [Google Scholar] [CrossRef] [PubMed]
- Chung, J.; Oh, W.; Baek, D.; Ryu, S.; Lee, W.G.; Bang, H. Design and Evaluation of Smart Glasses for Food Intake and Physical Activity Classification. J. Vis. Exp. 2018, 2018, e56633. [Google Scholar] [CrossRef]
- Selamat, N.A.; Ali, S.H.M. A Novel Approach of Chewing Detection based on Temporalis Muscle Movement using Proximity Sensor for Diet Monitoring. In Proceedings of the 2020 IEEE EMBS Conference on Biomedical Engineering and Sciences, IECBES 2020, Langkawi Island, Malaysia, 1–3 March 2021; Institute of Electrical and Electronics Engineers Inc.: New York, NY, USA, 2021; pp. 12–17. [Google Scholar] [CrossRef]
- Amft, O. A Wearable Earpad Sensor for Chewing Monitoring. In Proceedings of the Sensors, 2010 IEEE; Waikoloa, HI, USA, 1–4 November 2010, IEEE: New York, NY, USA, 2010. [Google Scholar]
- Shuzo, M.; Komori, S.; Takashima, T.; Lopez, G.; Tatsuta, S.; Yanagimoto, S.; Warisawa, S.; Delaunay, J.-J.; Yamada, I. Wearable Eating Habit Sensing System Using Internal Body Sound. J. Adv. Mech. Des. Syst. Manuf. 2010, 4, 158–166. [Google Scholar] [CrossRef]
- Bi, Y.; Lv, M.; Song, C.; Xu, W.; Guan, N.; Yi, W. AutoDietary: A Wearable Acoustic Sensor System for Food Intake Recognition in Daily Life. IEEE Sens. J. 2016, 16, 806–816. [Google Scholar] [CrossRef]
- Kalantarian, H.; Alshurafa, N.; Le, T.; Sarrafzadeh, M. Monitoring eating habits using a piezoelectric sensor-based necklace. Comput. Biol. Med. 2015, 58, 46–55. [Google Scholar] [CrossRef]
- Farooq, M.; Sazonov, E. Segmentation and Characterization of Chewing Bouts by Monitoring Temporalis Muscle Using Smart Glasses with Piezoelectric Sensor. IEEE J. Biomed. Health Inform. 2017, 21, 1495–1503. [Google Scholar] [CrossRef]
- Farooq, M.; Sazonov, E. Automatic Measurement of Chew Count and Chewing Rate during Food Intake. Electronics 2016, 5, 62. [Google Scholar] [CrossRef]
- Farooq, M.; Sazonov, E. A Novel Wearable Device for Food Intake and Physical Activity Recognition. Sensors 2016, 16, 1067. [Google Scholar] [CrossRef]
- Papapanagiotou, V.; Diou, C.; Zhou, L.; Boer, J.v.D.; Mars, M.; Delopoulos, A. A novel approach for chewing detection based on a wearable PPG sensor. IEEE Eng. Med. Biol. Soc. 2016, 2016, 6485–6488. [Google Scholar]
- Papapanagiotou, V.; Diou, C.; Zhou, L.; Boer, J.V.D.; Mars, M.; Delopoulos, A. A Novel Chewing Detection System Based on PPG, Audio, and Accelerometry. IEEE J. Biomed. Health Inform. 2017, 21, 607–618. [Google Scholar] [CrossRef]
- Wei, Y.; Minhad, K.N.; Selamat, N.A.; Ali, S.H.M.; Bhuiyan, M.A.S.; Ooi, K.J.A.; Samdin, S.B. A review of chewing detection for automated dietary monitoring. J. Chin. Inst. Eng. 2022, 45, 331–341. [Google Scholar] [CrossRef]
- Hashii, K.; Tomida, M.; Yamashita, S. Influence of changing the chewing region on mandibular movement. Aust. Dent. J. 2009, 54, 38–44. [Google Scholar] [CrossRef] [PubMed]
- Zhang, R.; Amft, O. Monitoring Chewing and Eating in Free-Living Using Smart Eyeglasses. IEEE J. Biomed. Health Inform. 2018, 22, 23–32. [Google Scholar] [CrossRef] [PubMed]
- Zhang, R.; Actlab, O.A. Bite Glasses-Measuring Chewing Using EMG and Bone Vibration in Smart Eyeglasses. Available online: http://www.bitalino.com (accessed on 6 June 2023).
- Nicolas, E.; Veyrune, J.L.; Lassauzay, C.; Peyron, M.A.; Hennequin, M. Validation of video versus electromyography for chewing evaluation of the elderly wearing a complete denture. J. Oral Rehabil. 2007, 34, 566–571. [Google Scholar] [CrossRef]
- Adachi, S.; Morikawa, K. Interface System Utilizing Musticatory Electromyogram. U.S. Patent US20100160808A1, 24 June 2010. [Google Scholar]
- Santos, K.W.; Echeveste, S.S.; Vidor, C.G.M. Influence of gustatory and olfactory perception in the oral. CoDAS 2014, 26, 68–75. [Google Scholar] [CrossRef]
- Santos, K.; Maahs, M.A.P.; Vidor, D.C.G.M.; Rech, R.S. Masticatory Changes as a Result of Oral Disorders in Smokers. Int. Arch. Otorhinolaryngol. 2014, 18, 369–375. [Google Scholar] [CrossRef]
- Reibel, J. Tobacco and oral diseases: Update on the evidence, with recommendations. In Medical Principles and Practice; Karger Publisher: Berlin, Germany, 2003; pp. 22–32. [Google Scholar] [CrossRef]
- Da Silva, G.R.; Rech, R.S.; Vidor, D.C.G.M.; dos Santos, K.W. Influence of Masticatory Behavior on Muscle Compensations During the Oral Phase of Swallowing of Smokers. Int. Arch. Otorhinolaryngol. 2019, 23, e317–e321. [Google Scholar] [CrossRef]
- Brown, W.E.; Shearn, M.; Macfie, H.J.H. Method to investigate differences in chewing behaviour in humans: II. Use of electromyography during chewing to assess chewing behaviour. Science 1993, 25, 17–31. [Google Scholar] [CrossRef]
- Abeltino, A.; Bianchetti, G.; Serantoni, C.; Ardito, C.F.; Malta, D.; De Spirito, M.; Maulucci, G. Personalized Metabolic Avatar: A Data Driven Model of Metabolism for Weight Variation Forecasting and Diet Plan Evaluation. Nutrients 2022, 14, 3520. [Google Scholar] [CrossRef]
- Bianchetti, G.; Abeltino, A.; Serantoni, C.; Ardito, F.; Malta, D.; De Spirito, M.; Maulucci, G. Personalized Self-Monitoring of Energy Balance through Integration in a Web-Application of Dietary, Anthropometric, and Physical Activity Data. J. Pers. Med. 2022, 12, 568. [Google Scholar] [CrossRef]
- Abeltino, A.; Bianchetti, G.; Serantoni, C.; Riente, A.; De Spirito, M.; Maulucci, G. Putting the Personalized Metabolic Avatar into Production: A Comparison between Deep-Learning and Statistical Models for Weight Prediction. Nutrients 2023, 15, 1199. [Google Scholar] [CrossRef] [PubMed]






| Food | Salt (100 g) | Fats (100 g) | Carbohydrates (100 g) | Proteins (100 g) | Sugars (100 g) | Fiber (100 g) |
|---|---|---|---|---|---|---|
| Bread | 0 | 6.5 | 58 | 10 | 4 | 2.5 |
| Features | Mean Smokers | Standard Dev. Smokers | Mean Non-Smokers | Standard Dev. Non-Smokers | Statistical Test | p-Value 1 |
|---|---|---|---|---|---|---|
| Age | 43.88 | 14.4 | 46.79 | 20.73 | −0.33 | 0.32 |
| Sex | 0.62 | 0.48 | 0.64 | 0.48 | 0.14 | 0.49 |
| BMI | 25.64 | 3.02 | 24.38 | 2.02 | 1.11 | 0.16 |
| 3.15 | 1.66 | 4.39 | 1.39 | −1.78 | 0.07 ° | |
| 6.31 | 2.6 | 9.82 | 3.13 | −2.56 | 0.02 * | |
| 0.5 | 0.25 | 0.57 | 0.38 | 53 | 0.34 | |
| 0.06 | 0.03 | 0.11 | 0.04 | −3.12 | 0.01 * | |
| 0.02 | 0.01 | 0.03 | 0.01 | −0.99 | 0.17 | |
| 2 | 2.96 | −0.57 | 3.66 | 37 | 0.14 |
Disclaimer/Publisher’s Note: The statements, opinions and data contained in all publications are solely those of the individual author(s) and contributor(s) and not of MDPI and/or the editor(s). MDPI and/or the editor(s) disclaim responsibility for any injury to people or property resulting from any ideas, methods, instructions or products referred to in the content. |
© 2023 by the authors. Licensee MDPI, Basel, Switzerland. This article is an open access article distributed under the terms and conditions of the Creative Commons Attribution (CC BY) license (https://creativecommons.org/licenses/by/4.0/).
Share and Cite
Riente, A.; Abeltino, A.; Serantoni, C.; Bianchetti, G.; De Spirito, M.; Capezzone, S.; Esposito, R.; Maulucci, G. Evaluation of the Chewing Pattern through an Electromyographic Device. Biosensors 2023, 13, 749. https://doi.org/10.3390/bios13070749
Riente A, Abeltino A, Serantoni C, Bianchetti G, De Spirito M, Capezzone S, Esposito R, Maulucci G. Evaluation of the Chewing Pattern through an Electromyographic Device. Biosensors. 2023; 13(7):749. https://doi.org/10.3390/bios13070749
Chicago/Turabian StyleRiente, Alessia, Alessio Abeltino, Cassandra Serantoni, Giada Bianchetti, Marco De Spirito, Stefano Capezzone, Rosita Esposito, and Giuseppe Maulucci. 2023. "Evaluation of the Chewing Pattern through an Electromyographic Device" Biosensors 13, no. 7: 749. https://doi.org/10.3390/bios13070749
APA StyleRiente, A., Abeltino, A., Serantoni, C., Bianchetti, G., De Spirito, M., Capezzone, S., Esposito, R., & Maulucci, G. (2023). Evaluation of the Chewing Pattern through an Electromyographic Device. Biosensors, 13(7), 749. https://doi.org/10.3390/bios13070749

