Electrochemical DNA Biosensor Based on Mercaptopropionic Acid-Capped ZnS Quantum Dots for Determination of the Gender of Arowana Fish
Abstract
:1. Introduction
2. Materials and Methods
2.1. Reagents and Instrumentation
- DNA probe: 5′ GGGGCAGAGCCTCACAACCT (AmC3)
- Target DNA: 5′ AGGTTGTGAGGCTCTGCCCC
- 15% mismatched bases DNA: GAT TTG TGA GGC TCT GCC CC
- 30% mismatched bases DNA: GAT TTG ACT GCC TCT GCC CC
- 90% mismatched bases DNA: GAT TTG ACT GCC TCT CGT CC
- Non-complementary DNA: 5′ GGATGGACGAAGCGCTCAGG
- Arowana fish DNA probe: 5’-TAA CTC AAAA GTA GAA TAG AAC A ATG [aminC3]
2.2. Synthesis of ZnS Quantum Dot Nanocrystals
2.3. Preparation of MPA-ZnS QDs/AuNPs-Based Electrochemical DNA Biosensor
2.4. Effect of AuNPs and MPA-ZnS QDs Loadings
2.5. DNA Biosensor Response Time and Regeneration Study
2.6. Optimization of Cysteamine and DNA Probe Concentrations
2.7. pH and Buffer Capacity Effects on the DNA Biosensor Response
2.8. Biosensor Lifetime and Selectivity Study
2.9. Determination of Arowana Fish Gender
3. Results and Discussions
3.1. Electrode Optimization
3.2. Optimization of AuNPs and MPA-ZnS QDs Loadings
3.3. DNA Biosensor Response Time and Rehybridization of DNA Biosensor
3.4. Effect of Cysteamine and DNA Probe Loadings on the DNA Biosensor Response
3.5. pH and Buffer Concentration Effects
3.6. Long Term Stability and Selectivity of the DNA Biosensor Based on MPA-ZnS QDs/AuNPs-SPE
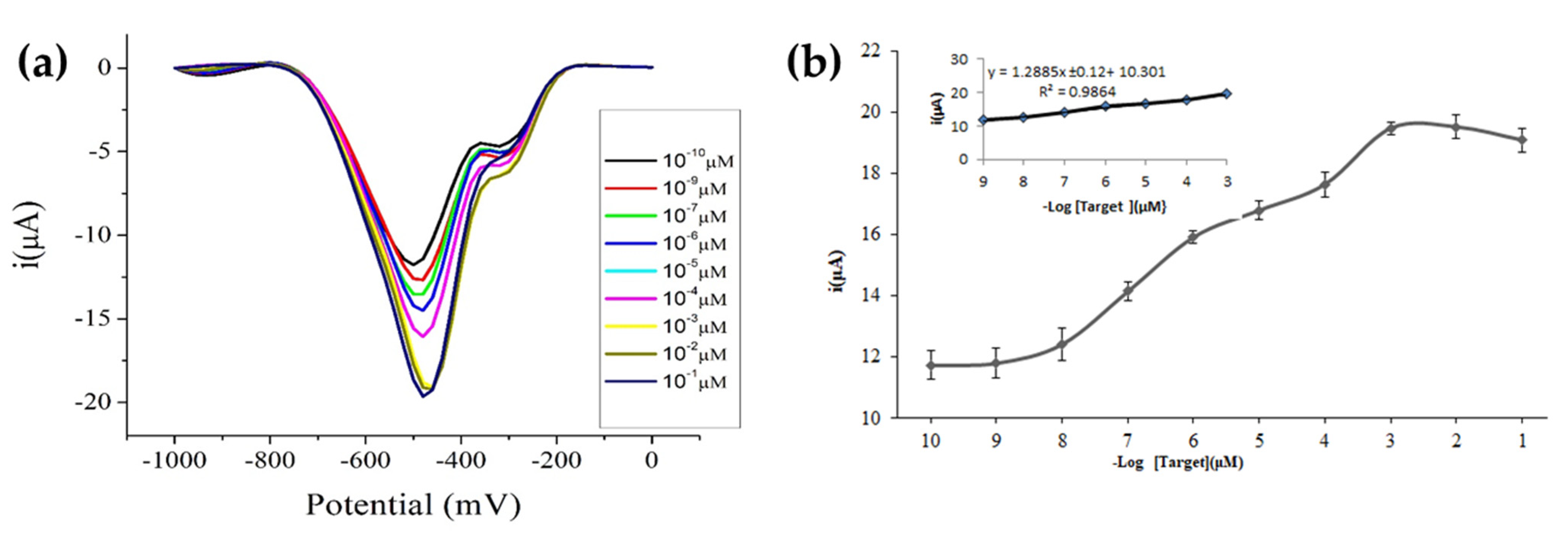
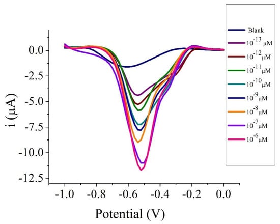
3.7. Dynamic Linear Response Range of the DNA Biosensor
3.8. Arowana Fish Gender Determination
3.9. Comparison with Other Electrochemical DNA Biosensors Based on QD Nanomaterials
4. Conclusions
Author Contributions
Funding
Institutional Review Board Statement
Informed Consent Statement
Data Availability Statement
Acknowledgments
Conflicts of Interest
References
- Blair, E.O.; Corrigan, D.K. A review of microfabricated electrochemical biosensors for DNA detection. Biosens. Bioelectron. 2019, 134, 57–67. [Google Scholar] [CrossRef] [PubMed]
- Cai, J.; Sun, B.; Gou, X.; Gou, Y.; Li, W.; Hu, F. A novel way for analysis of calycosin via polyaniline functionalized graphene quantum dots fabricated electrochemical sensor. J. Electroanal. Chem. 2018, 816, 123–131. [Google Scholar] [CrossRef]
- Tiwari, A.; Gong, S. Electrochemical detection of a breast cancer susceptible gene using cDNA immobilized chitosan-co-polyaniline electrode. Talanta 2009, 77, 1217–1222. [Google Scholar] [CrossRef] [PubMed]
- Esmaeili, C.; Heng, L.Y.; Chiang, C.P.; Rashid, Z.A.; Safitri, E.; Malon Marugan, R.S.P. A DNA biosensor based on kappa-carrageenan-polypyrrole-gold nanoparticles composite for gender determination of Arowana fish (Scleropages formosus). Sens. Actuators B Chem. 2017, 242, 616–624. [Google Scholar] [CrossRef]
- Sani, N.D.M.; Heng, L.Y.; Marugan, R.S.P.M.; Rajab, N.F. Electrochemical DNA biosensor for potential carcinogen detection in food sample. Food Chem. 2018, 269, 503–510. [Google Scholar] [CrossRef]
- Sadighbayan, D.; Sadighbayan, K.; Khosroushahi, A.Y.; Hasanzadeh, M. Recent advances on the DNA-based electrochemical biosensing of cancer biomarkers: Analytical approach. TrAC Trends Anal. Chem. 2019, 119, 115609. [Google Scholar] [CrossRef]
- Sannaikar, M.S.; Inamdar (Doddamani), L.S.; Inamdar, S.R. Interaction between human serum albumin and toxic free InP/ZnS QDs using multi-spectroscopic study: An excellent alternate to heavy metal based QDs. J. Mol. Liq. 2019, 281, 156–165. [Google Scholar] [CrossRef]
- Chiorcea-Paquim, A.-M.; Oliveira-Brett, A.M. DNA Electrochemical Biosensors for In Situ Probing of Pharmaceutical Drug Oxidative DNA Damage. Sensors 2021, 21, 1125. [Google Scholar] [CrossRef]
- Gao, F.; Song, J.; Zhang, B.; Tanaka, H.; Gao, F.; Qiu, W.; Wang, Q. Synthesis of core-shell structured Au@Bi2S3 nanorod and its application as DNA immobilization matrix for electrochemical biosensor construction. Chin. Chem. Lett. 2020, 31, 181–184. [Google Scholar] [CrossRef]
- Meng, L.; Xiao, K.; Zhang, X.; Du, C.; Chen, J. DNA-linked CdSe QDs/AGQDs “Z-scheme” system: Ultrasensitive and highly selective photoelectrochemical sensing platform with negative background signal. Sens. Actuators B Chem. 2020, 305, 127480. [Google Scholar] [CrossRef]
- Wei, Y.; Liu, X.-P.; Mao, C.; Niu, H.-L.; Song, J.-M.; Jin, B.-K. Highly sensitive electrochemical biosensor for streptavidin detection based on CdSe quantum dots. Biosens. Bioelectron. 2018, 103, 99–103. [Google Scholar] [CrossRef] [PubMed]
- Campuzano, S.; Yáñez-Sedeño, P.; Pingarrón, J.M. Carbon Dots and Graphene Quantum Dots in Electrochemical Biosensing. Nanomaterials 2019, 9, 634. [Google Scholar] [CrossRef] [PubMed]
- Mahmoudi-Moghaddam, H.; Tajik, S.; Beitollahi, H. A new electrochemical DNA biosensor based on modified carbon paste electrode using graphene quantum dots and ionic liquid for determination of topotecan. Microchem. J. 2019, 150, 104085. [Google Scholar] [CrossRef]
- Ruiyi, L.; Hui, J.; Nana, L.; Dan, X.; Zaijun, L. Electrochemical detection of chlorpyrifos in fruits with gold-histidine functionalized graphene quantum dot-graphene hybrid and target-induced DNA cycle amplification. Sens. Actuators B Chem. 2022, 355, 131314. [Google Scholar] [CrossRef]
- Fu, H.; Li, X.; Wang, J.; Lin, P.; Chen, C.; Zhang, X.; Suffet, I.H. (Mel) Activated carbon adsorption of quinolone antibiotics in water: Performance, mechanism, and modeling. J. Environ. Sci. 2017, 56, 145–152. [Google Scholar] [CrossRef]
- Lah, Z.M.A.N.H.; Ahmad, S.A.A.; Zaini, M.S.; Kamarudin, M.A. An Electrochemical Sandwich Immunosensor for the Detection of HER2 using Antibody-Conjugated PbS Quantum Dot as a label. J. Pharm. Biomed. Anal. 2019, 174, 608–617. [Google Scholar] [CrossRef]
- Wang, J.; Liu, G.; Merkoçi, A. Electrochemical Coding Technology for Simultaneous Detection of Multiple DNA Targets. J. Am. Chem. Soc. 2003, 125, 3214–3215. [Google Scholar] [CrossRef]
- Hu, Y.; Mu, X.; Wang, X.; Liu, C.; Wang, P.; Luo, J. Preliminary study on mitochondrial DNA cytochrome b sequences and genetic relationship of three Asian arowana Scleropages formosus. Int. J. Biol. 2009, 1, 28. [Google Scholar] [CrossRef]
- Safitri, E.; Heng, L.Y.; Ahmad, M.; Ling, T.L. Fluorescence bioanalytical method for urea determination based on water soluble ZnS quantum dots. Sens. Actuators B Chem. 2017, 240, 763–769. [Google Scholar] [CrossRef]
- Dai, T.; Pu, Q.; Guo, Y.; Zuo, C.; Bai, S.; Yang, Y.; Yin, D.; Li, Y.; Sheng, S.; Tao, Y.; et al. Analogous modified DNA probe and immune competition method-based electrochemical biosensor for RNA modification. Biosens. Bioelectron. 2018, 114, 72–77. [Google Scholar] [CrossRef]
- Shi, J.-J.; Zhu, J.-C.; Zhao, M.; Wang, Y.; Yang, P.; He, J. Ultrasensitive photoelectrochemical aptasensor for lead ion detection based on sensitization effect of CdTe QDs on MoS2-CdS:Mn nanocomposites by the formation of G-quadruplex structure. Talanta 2018, 183, 237–244. [Google Scholar] [CrossRef] [PubMed]
- Lopes, R.C.F.G.; Rocha, B.G.M.; Maçôas, E.M.S.; Marques, E.F.; Martinho, J.M.G. Combining metal nanoclusters and carbon nanomaterials: Opportunities and challenges in advanced nanohybrids. Adv. Colloid Interface Sci. 2022, 304, 102667. [Google Scholar] [CrossRef] [PubMed]
- Buk, V.; Pemble, M.E.; Twomey, K. Fabrication and evaluation of a carbon quantum dot/gold nanoparticle nanohybrid material integrated onto planar micro gold electrodes for potential bioelectrochemical sensing applications. Electrochim. Acta 2019, 293, 307–317. [Google Scholar] [CrossRef]
- Mahmoodi, P.; Rezayi, M.; Rasouli, E.; Avan, A.; Gholami, M.; Ghayour Mobarhan, M.; Karimi, E.; Alias, Y. Early-stage cervical cancer diagnosis based on an ultra-sensitive electrochemical DNA nanobiosensor for HPV-18 detection in real samples. J. Nanobiotechnol. 2020, 18, 11. [Google Scholar] [CrossRef]
- Ling, Y.P.; Heng, L.Y.; Chee, H.Y. A quantification strategy for DNA hybridization via measurement of adsorbed anthraquinone monosulphonic acid on silica nanospheres. Measurement 2019, 135, 640–650. [Google Scholar] [CrossRef]
- Phanchai, W.; Srikulwong, U.; Chuaephon, A.; Koowattanasuchat, S.; Assawakhajornsak, J.; Thanan, R.; Sakonsinsiri, C.; Puangmali, T. Simulation Studies on Signature Interactions between Cancer DNA and Cysteamine-Decorated AuNPs for Universal Cancer Screening. ACS Appl. Nano Mater. 2022, 5, 9042–9052. [Google Scholar] [CrossRef]
- Sui, C.; Yin, H.; Wang, L.; Zhou, Y.; Ai, S. Electrochemiluminescence biosensor for DNA hydroxymethylation detection based on enzyme-catalytic covalent bonding reaction of –CH2OH and thiol functionalized Fe3O4 magnetic beads. Biosens. Bioelectron. 2020, 150, 111908. [Google Scholar] [CrossRef]
- Raja Jamaluddin, R.Z.A.; Tan, L.L.; Chong, K.F.; Heng, L.Y. An electrochemical DNA biosensor fabricated from graphene decorated with graphitic nanospheres. Nanotechnology 2020, 31, 485501. [Google Scholar] [CrossRef]
- Zhu, N.; Zhang, A.; He, P.; Fang, Y. Cadmium sulfide nanocluster-based electrochemical stripping detection of DNA hybridization. Analyst 2003, 128, 260–264. [Google Scholar] [CrossRef]
- Zhu, N.; Zhang, A.; Wang, Q.; He, P.; Fang, Y. Lead Sulfide Nanoparticle as Oligonucleotides Labels for Electrochemical Stripping Detection of DNA Hybridization. Electroanalysis 2004, 16, 577–582. [Google Scholar] [CrossRef]
- Sun, W.; Zhong, J.; Zhang, B.; Jiao, K. Application of cadmium sulfide nanoparticles as oligonucleotide labels for the electrochemical detection of NOS terminator gene sequences. Anal. Bioanal. Chem. 2007, 389, 2179–2184. [Google Scholar] [CrossRef] [PubMed]
- Sun, W.; Zhong, J.; Qin, P.; Jiao, K. Electrochemical biosensor for the detection of cauliflower mosaic virus 35 S gene sequences using lead sulfide nanoparticles as oligonucleotide labels. Anal. Biochem. 2008, 377, 115–119. [Google Scholar] [CrossRef] [PubMed]
- Huang, D.; Liu, H.; Zhang, B.; Jiao, K.; Fu, X. Highly sensitive electrochemical detection of sequence-specific DNA of 35S promoter of cauliflower mosaic virus gene using CdSe quantum dots and gold nanoparticles. Microchim. Acta 2009, 165, 243–248. [Google Scholar] [CrossRef]










| Sample’s Number | Response Current (µA) | % RSD n = 3 | Gender Estimation |
|---|---|---|---|
| 519 | 8.64 | 7.14 | Male |
| 521 | 8.47 | 3.15 | Male |
| 523 | 8.48 | 5.17 | Male |
| 526 | 7.44 | 1.68 | Male |
| DNA Immobilization Matrices | Labels | Linear Range (M) | Detection Limit (M) | Ref. |
|---|---|---|---|---|
| DNA detection using CdS nanocluster as labeling tag | CdS | 2.25 × 10−13–2.25 × 10−7 | 2 × 10−12 | [29] |
| DNA detection using PbS nanocluster as nano particle tag | PbS | 2.25 × 10−12–2.25 × 10−9 | 3 × 10−13 | [30] |
| Using in situ plated mercury-coated GCE | ZnS, CdS and PbS QDs | 1 × 10−15–1 × 10−12 | 4 × 10−11 | [17] |
| The use of carbon nanotubes as modifier on the transducer surface | CdS | 8 × 10−12–4 × 10−9 | 2.75 × 10−12 | [31] |
| The self-assembly of MPA on gold electrode | PbS | 1.2 × 10−11–4.8 × 10−8 | 4.38 × 10−12 | [32] |
| chitosan-entrapped SPE modified with Au nanoparticles | CdSe | 5 × 10−12–5 × 10−7 | 6.5 × 10−13 | [33] |
| MPA-ZnS QDs/Cys/AuNPs-SPE | AQMS | 1 × 10−15–1 × 10−9 | 1 × 10−17 | Present work |
Publisher’s Note: MDPI stays neutral with regard to jurisdictional claims in published maps and institutional affiliations. |
© 2022 by the authors. Licensee MDPI, Basel, Switzerland. This article is an open access article distributed under the terms and conditions of the Creative Commons Attribution (CC BY) license (https://creativecommons.org/licenses/by/4.0/).
Share and Cite
Safitri, E.; Heng, L.Y.; Ahmad, M.; Tan, L.L.; Nazaruddin, N.; Suhud, K.; Chiang, C.P.; Iqhrammullah, M. Electrochemical DNA Biosensor Based on Mercaptopropionic Acid-Capped ZnS Quantum Dots for Determination of the Gender of Arowana Fish. Biosensors 2022, 12, 650. https://doi.org/10.3390/bios12080650
Safitri E, Heng LY, Ahmad M, Tan LL, Nazaruddin N, Suhud K, Chiang CP, Iqhrammullah M. Electrochemical DNA Biosensor Based on Mercaptopropionic Acid-Capped ZnS Quantum Dots for Determination of the Gender of Arowana Fish. Biosensors. 2022; 12(8):650. https://doi.org/10.3390/bios12080650
Chicago/Turabian StyleSafitri, Eka, Lee Yook Heng, Musa Ahmad, Ling Ling Tan, Nazaruddin Nazaruddin, Khairi Suhud, Chew Poh Chiang, and Muhammad Iqhrammullah. 2022. "Electrochemical DNA Biosensor Based on Mercaptopropionic Acid-Capped ZnS Quantum Dots for Determination of the Gender of Arowana Fish" Biosensors 12, no. 8: 650. https://doi.org/10.3390/bios12080650
APA StyleSafitri, E., Heng, L. Y., Ahmad, M., Tan, L. L., Nazaruddin, N., Suhud, K., Chiang, C. P., & Iqhrammullah, M. (2022). Electrochemical DNA Biosensor Based on Mercaptopropionic Acid-Capped ZnS Quantum Dots for Determination of the Gender of Arowana Fish. Biosensors, 12(8), 650. https://doi.org/10.3390/bios12080650

