Heterostructures Based on Cobalt Phthalocyanine Films Decorated with Gold Nanoparticles for the Detection of Low Concentrations of Ammonia and Nitric Oxide
Abstract
1. Introduction
2. Materials and Methods
2.1. Materials
2.2. Preparation of Au/CoPc Heterostructures
2.3. Methods of Characterization of Heterostructures
2.4. Study of the Sensor Properties
3. Results and Discussion
3.1. Characterization of Heterostructures with AuNPs Obtained by MOCVD
3.2. Characterization of Heterostructures with AuNPs Obtained by PVD
3.3. Characterization of Heterostructures with AuNPs Obtained by DC
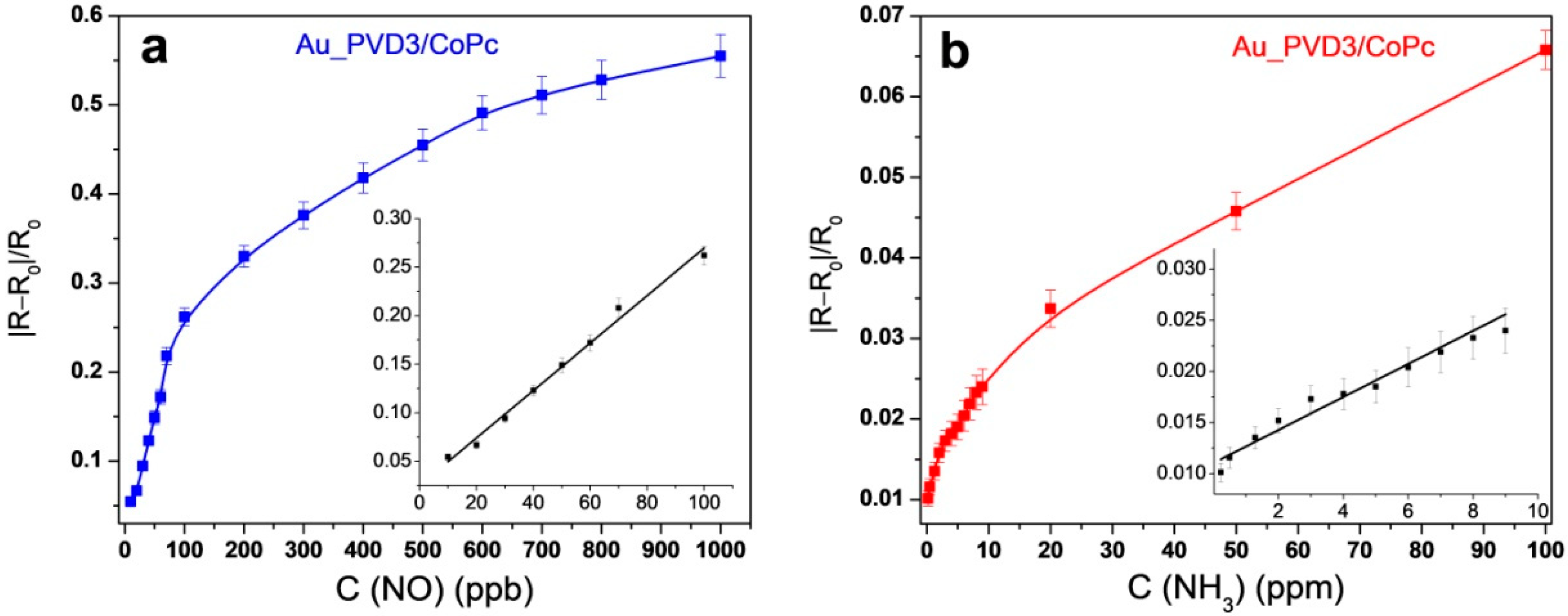
3.4. Study of the Sensor Response of AuNP/CoPc Heterostructures to Ammonia and Nitric Oxide
3.5. Comparison of the Sensor Properties of Heterostructures with AuNPs Deposited in Different Ways
3.6. Investigation of the Sensor Characteristics of AuNP/CoPc Heterostructures
4. Conclusions
Supplementary Materials
Author Contributions
Funding
Institutional Review Board Statement
Informed Consent Statement
Data Availability Statement
Acknowledgments
Conflicts of Interest
References
- Vasilescu, A.; Hrinczenko, B.; Swain, G.M.; Peteu, S.F. Exhaled Breath Biomarker Sensing. Biosens. Bioelectron. 2021, 182, 113193. [Google Scholar] [CrossRef] [PubMed]
- Vaks, V.L.; Domracheva, E.G.; Sobakinskaya, E.A.; Chernyaeva, M.B. Exhaled Breath Analysis: Physical Methods, Instruments, and Medical Diagnostics. Phys.-Uspekhi 2014, 57, 684–701. [Google Scholar] [CrossRef]
- Fufurin, I.L.; Golyak, I.S.; Anfimov, D.R.; Tabalina, A.S.; Kareva, E.R.; Morozov, A.N.; Demkin, P.P. Machine Learning Applications for Spectral Analysis of Human Exhaled Breath for Early Diagnosis of Diseases. In Proceedings of the Optics in Health Care and Biomedical Optics X, Online, 11–16 October 2020; Luo, Q., Li, X., Gu, Y., Zhu, D., Eds.; SPIE: Bellingham, WA, USA, 2020; Volume 11553, p. 10. [Google Scholar]
- Amann, A.; Miekisch, W.; Schubert, J.; Buszewski, B.; Ligor, T.; Jezierski, T.; Pleil, J.; Risby, T. Analysis of Exhaled Breath for Disease Detection. Annu. Rev. Anal. Chem. 2014, 7, 455–482. [Google Scholar] [CrossRef] [PubMed]
- Brannelly, N.T.; Hamilton-Shield, J.P.; Killard, A.J. The Measurement of Ammonia in Human Breath and Its Potential in Clinical Diagnostics. Crit. Rev. Anal. Chem. 2016, 46, 490–501. [Google Scholar] [CrossRef]
- Pisi, R.; Aiello, M.; Tzani, P.; Marangio, E.; Olivieri, D.; Chetta, A. Measurement of Fractional Exhaled Nitric Oxide by a New Portable Device: Comparison with the Standard Technique. J. Asthma 2010, 47, 805–809. [Google Scholar] [CrossRef]
- Schneider, A.; Tilemann, L.; Schermer, T.; Gindner, L.; Laux, G.; Szecsenyi, J.; Meyer, F.J. Diagnosing Asthma in General Practice with Portable Exhaled Nitric Oxide Measurement—Results of a Prospective Diagnostic Study. Respir. Res. 2009, 10, 15. [Google Scholar] [CrossRef]
- Jackson, D.J.; Virnig, C.M.; Gangnon, R.E.; Evans, M.D.; Roberg, K.A.; Anderson, E.L.; Burton, R.M.; Salazar, L.P.; DaSilva, D.F.; Shanovich, K.M.; et al. Fractional Exhaled Nitric Oxide Measurements are Most Closely Associated with Allergic Sensitization in School-Age Children. J. Allergy Clin. Immunol. 2009, 124, 949–953. [Google Scholar] [CrossRef]
- Lim, K.G. Nitric Oxide Measurement in Chronic Cough. Lung 2010, 188, S19–S22. [Google Scholar] [CrossRef]
- Das, S.; Pal, M. Review—Non-Invasive Monitoring of Human Health by Exhaled Breath Analysis: A Comprehensive Review. J. Electrochem. Soc. 2020, 167, 037562. [Google Scholar] [CrossRef]
- Baumann-Durchschein, F.; Furst, S.; Hammer, H.F. Practical application of breath tests in disorders of gut–brain interaction. Curr. Opin. Pharmacol. 2022, 65, 102244. [Google Scholar] [CrossRef]
- Rangan, V.; Nee, J.; Lembo, A.J. Small Intestinal Bacterial Overgrowth Breath Testing in Gastroenterology: Clinical Utility and Pitfalls. Clin. Gastroenterol. Hepatol. 2022, 20, 1450–1453. [Google Scholar] [CrossRef] [PubMed]
- Buszewski, B.; Kesy, M.; Ligor, T.; Amann, A. Human Exhaled Air Analytics: Biomarkers of Diseases. Biomed. Chromatogr. 2007, 21, 553–566. [Google Scholar] [CrossRef]
- Kim, S.-H.; Moon, J.-Y.; Kwak, H.J.; Kim, S.I.; Park, D.W.; Kim, J.W.; Kim, T.H.; Sohn, J.W.; Shin, D.H.; Park, S.S.; et al. Comparison of Two Exhaled Nitric Oxide Analyzers: The NIOX MINO Hand-Held Electrochemical Analyzer and the NOA280i Stationary Chemiluminescence Analyzer. Respirology 2012, 17, 830–834. [Google Scholar] [CrossRef]
- Pan, S.; Tian, Y.; Li, M.; Zhao, J.; Zhu, L.; Zhang, W.; Gu, H.; Wang, H.; Shi, J.; Fang, X.; et al. Quantitative Detection of Nitric Oxide in Exhaled Human Breath by Extractive Electrospray Ionization Mass Spectrometry. Sci. Rep. 2015, 5, 8725. [Google Scholar] [CrossRef] [PubMed]
- Budde, W. Ron Hites: Gas Chromatography/Mass Spectrometry Pioneer and the Great Detector Debate. Environ. Sci. Technol. 2015, 49, 13741–13742. [Google Scholar] [CrossRef] [PubMed][Green Version]
- Di Natale, C.; Paolesse, R.; Martinelli, E.; Capuano, R. Solid-state gas sensors for breath analysis: A review. Anal. Chim. Acta 2014, 824, 1–17. [Google Scholar] [CrossRef] [PubMed]
- Tai, H.; Wang, S.; Duan, Z.; Jiang, Y. Evolution of breath analysis based on humidity and gas sensors: Potential and challenges. Sens. Actuators B Chem. 2020, 318, 128104. [Google Scholar] [CrossRef]
- Ellis, J.E.; Star, A. Carbon Nanotube Based Gas Sensors toward Breath Analysis. ChemPlusChem 2016, 81, 1248–1265. [Google Scholar] [CrossRef]
- Moon, H.G.; Jung, Y.; Han, S.D.; Shim, Y.-S.; Shin, B.; Lee, T.; Kim, J.-S.; Lee, S.; Jun, S.C.; Park, H.-H.; et al. Chemiresistive Electronic Nose toward Detection of Biomarkers in Exhaled Breath. ACS Appl. Mater. Interfaces 2016, 8, 20969–20976. [Google Scholar] [CrossRef]
- Kaloumenou, M.; Skotadis, E.; Lagopati, N.; Efstathopoulos, E.; Tsoukalas, D. Breath Analysis: A Promising Tool for Disease Diagnosis—The Role of Sensors. Sensors 2022, 22, 1238. [Google Scholar] [CrossRef]
- Yang, D.; Gopal, R.A.; Lkhagvaa, T.; Choi, D. Metal-oxide gas sensors for exhaled-breath analysis: A review. Meas. Sci. Technol. 2021, 32, 102004. [Google Scholar] [CrossRef]
- Moon, H.G.; Choi, Y.R.; Shim, Y.-S.; Choi, K.-I.; Lee, J.-H.; Kim, J.-S.; Yoon, S.-J.; Park, H.-H.; Kang, C.-Y.; Jang, H.W. Extremely sensitive and selective NO probe based on villi-like WO3 nanostructures for application to exhaled breath analyzers. ACS Appl. Mater. Interfaces 2013, 5, 10591–10596. [Google Scholar] [CrossRef] [PubMed]
- Rai, P.; Majhi, S.M.; Yu, Y.-T.; Lee, J.-H. Noble Metal@Metal Oxide Semiconductor Core@Shell Nano-Architectures as a New Platform for Gas Sensor Applications. RSC Adv. 2015, 5, 76229–76248. [Google Scholar] [CrossRef]
- Shin, J.; Choi, S.-J.; Lee, I.; Youn, D.-Y.; Park, C.O.; Lee, J.-H.; Tuller, H.L.; Kim, I.-D. Thin-wall assembled SnO2 fibers functionalized by catalytic Pt nanoparticles and their superior exhaled-breath-sensing properties for the diagnosis of diabetes. Adv. Funct. Mater. 2013, 23, 2357–2367. [Google Scholar] [CrossRef]
- Xing, R.; Xu, L.; Song, J.; Zhou, C.; Li, Q.; Liu, D.; Song, H.W. Preparation and Gas Sensing Properties of In2O3/Au Nanorods for Detection of Volatile Organic Compounds in Exhaled Breath. Sci. Rep. 2015, 5, 10717. [Google Scholar] [CrossRef]
- Semyannikov, P.P.; Basova, T.V.; Trubin, S.V.; Kol’Tsov, E.K.; Plyashkevich, V.A.; Igumenov, I.K. Vapor Pressure of Some Metal Phthalocyanines. Russ. J. Phys. Chem. A 2008, 82, 159–163. [Google Scholar] [CrossRef]
- Klyamer, D.; Sukhikh, A.; Gromilov, S.; Krasnov, P.; Basova, T. Fluorinated Metal Phthalocyanines: Interplay between Fluorination Degree, Films Orientation, and Ammonia Sensing Properties. Sensors 2018, 18, 2141. [Google Scholar] [CrossRef]
- Ji, W.; Wang, T.-X.; Ding, X.; Lei, S.; Han, B.-H. Porphyrin- and phthalocyanine-based porous organic polymers: From synthesis to application. Coord. Chem. Rev. 2021, 439, 213875. [Google Scholar] [CrossRef]
- Sun, Q.; Feng, W.; Yang, P.; You, G.; Chen, Y. Highly Selective Room-Temperature NO2 Sensors Based on a Fluoroalkoxy-Substituted Phthalocyanine. New J. Chem. 2018, 42, 6713–6718. [Google Scholar] [CrossRef]
- Mirzaei, A.; Yousefi, H.R.; Falsafi, F.; Bonyani, M.; Lee, J.-H.; Kim, J.-H.; Kim, H.W.; Kim, S.S. An Overview on How Pd on Resistive-Based Nanomaterial Gas Sensors Can Enhance Response toward Hydrogen Gas. Int. J. Hydrogen Energy 2019, 44, 20552–20571. [Google Scholar] [CrossRef]
- Lu, Y.; Li, J.; Han, J.; Ng, H.-T.; Binder, C.; Partridge, C.; Meyyappan, M. Room Temperature Methane Detection Using Palladium Loaded Single-Walled Carbon Nanotube Sensors. Chem. Phys. Lett. 2004, 391, 344–348. [Google Scholar] [CrossRef]
- Tomeček, D.; Fitl, P.; Vlček, J.; Marešová, E.; Vrňata, M. Detection of Taggants in Explosives on Nanostructured Metal/Silver Phthalocyanine Chemiresistors: Influence of Analyte Photoactivation. Sens. Actuators B Chem. 2017, 239, 147–156. [Google Scholar] [CrossRef]
- Basova, T.V.; Ray, A.K. Review—Hybrid Materials Based on Phthalocyanines and Metal Nanoparticles for Chemiresistive and Electrochemical Sensors: A Mini-Review. ECS J. Solid State Sci. Technol. 2020, 9, 061001. [Google Scholar] [CrossRef]
- Zhang, Q.; Xie, G.; Xu, M.; Su, Y.; Tai, H.; Du, H.; Jiang, Y. Visible Light-Assisted Room Temperature Gas Sensing with ZnO-Ag Heterostructure Nanoparticles. Sens. Actuators B Chem. 2018, 259, 269–281. [Google Scholar] [CrossRef]
- Wang, X.; Liu, F.; Chen, X.; Lu, G.; Song, X.; Tian, J.; Cui, H.; Zhang, G.; Gao, K. SnO2 Core-Shell Hollow Microspheres Co-Modification with Au and NiO Nanoparticles for Acetone Gas Sensing. Powder Technol. 2020, 364, 159–166. [Google Scholar] [CrossRef]
- Lartey, J.A. Optically Active Gold-Based Composite Particles for Sensing and Catalytic Applications. Master’s Thesis, Illinois State University, Normal, IL, USA, 2020. [Google Scholar]
- Xiao, T.; Huang, J.; Wang, D.; Meng, T.; Yang, X. Au and Au-Based Nanomaterials: Synthesis and Recent Progress in Electrochemical Sensor Applications. Talanta 2020, 206, 120210. [Google Scholar] [CrossRef]
- Ivanovskaya, M.; Ovodok, E.; Gaevskaya, T.; Kotsikau, D.; Kormosh, V.; Bilanych, V.; Micusik, M. Effect of Au Nanoparticles on the Gas Sensitivity of Nanosized SnO2. Mater. Chem. Phys. 2021, 258, 123858. [Google Scholar] [CrossRef]
- Wang, M.; Zhu, L.; Zhang, S.; Lou, Y.; Zhao, S.; Tan, Q.; He, L.; Du, M. A Copper(II) Phthalocyanine-Based Metallo-Covalent Organic Framework Decorated with Silver Nanoparticle for Sensitively Detecting Nitric Oxide Released from Cancer Cells. Sens. Actuators B Chem. 2021, 338, 129826. [Google Scholar] [CrossRef]
- Nikolaeva, N.S.; Klyamer, D.D.; Zharkov, S.M.; Tsygankova, A.R.; Sukhikh, A.S.; Morozova, N.B.; Basova, T.V. Heterostructures Based on Pd–Au Nanoparticles and Cobalt Phthalocyanine for Hydrogen Chemiresistive Sensors. Int. J. Hydrogen Energy 2021, 46, 19682–19692. [Google Scholar] [CrossRef]
- Klyamer, D.; Sukhikh, A.; Nikolaeva, N.; Morozova, N.; Basova, T. Vanadyl Phthalocyanine Films and Their Hybrid Structures with Pd Nanoparticles: Structure and Sensing Properties. Sensors 2020, 20, 1893. [Google Scholar] [CrossRef]
- Jakubik, W.P.; Urbańczyk, M.W.; Kochowski, S.; Bodzenta, J. Palladium and Phthalocyanine Bilayer Films for Hydrogen Detection in a Surface Acoustic Wave Sensor System. Sens. Actuators B Chem. 2003, 96, 321–328. [Google Scholar] [CrossRef]
- Jakubik, W.; Krzywiecki, M.; MacIak, E.; Urbańczyk, M. Bi-Layer Nanostructures of CuPc and Pd for Resistance-Type and SAW-Type Hydrogen Gas Sensors. Sens. Actuators B Chem. 2012, 175, 255–262. [Google Scholar] [CrossRef]
- Nikolaeva, N.S.; Parkhomenko, R.G.; Klyamer, D.D.; Shushanyan, A.D.; Asanov, I.P.; Morozova, N.B.; Basova, T.V. Bilayer Structures Based on Metal Phthalocyanine and Palladium Layers for Selective Hydrogen Detection. Int. J. Hydrogen Energy 2017, 42, 28640–28646. [Google Scholar] [CrossRef]
- Panov, M.S.; Khairullina, E.M.; Vshivtcev, F.S.; Ryazantsev, M.N.; Tumkin, I.I. Laser-Induced Synthesis of Composite Materials Based on Iridium, Gold and Platinum for Non-Enzymatic Glucose Sensing. Materials 2020, 13, 3359. [Google Scholar] [CrossRef]
- Dang, X.; Hu, H.; Wang, S.; Hu, S. Nanomaterials-Based Electrochemical Sensors for Nitric Oxide. Microchim. Acta 2015, 182, 455–467. [Google Scholar] [CrossRef]
- Wang, S.; Sun, G.; Chen, Z.; Liang, Y.; Zhou, Q.; Pan, Y.; Zhai, H. Constructing a Novel Composite of Molecularly Imprinted Polymer-Coated AuNPs Electrochemical Sensor for the Determination of 3-Nitrotyrosine. Electrochim. Acta 2018, 259, 893–902. [Google Scholar] [CrossRef]
- Slepička, P.; Kasálková, N.S.; Siegel, J.; Kolská, Z.; Švorčík, V. Methods of Gold and Silver Nanoparticles Preparation. Materials 2020, 13, 1. [Google Scholar] [CrossRef]
- Iqbal, M.; Usanase, G.; Oulmi, K.; Aberkane, F.; Bendaikha, T.; Fessi, H.; Zine, N.; Agusti, G.; Errachid, E.-S.; Elaissari, A. Preparation of Gold Nanoparticles and Determination of Their Particles Size via Different Methods. Mater. Res. Bull. 2016, 79, 97–104. [Google Scholar] [CrossRef]
- Atta, N.F.; Galal, A.; Abdel-Gawad, F.M.; Mohamed, E.F. Electrochemistry and Detection of Dobutamine at Gold Nanoparticles Cobalt-Phthalocyanine Modified Carbon Paste Electrode. J. Electrochem. Soc. 2015, 162, B304–B311. [Google Scholar] [CrossRef]
- Aggarwal, A.; Samaroo, D.; Jovanovic, I.R.; Singh, S.; Tuz, M.P.; Mackiewicz, M.R. Porphyrinoid-based photosensitizers for diagnostic and therapeutic applications: An update. In Porphyrin Science by Women; Dumoulin, F., Nyokong, T., Brothers, P.J., Eds.; World Scientific Publishing Co Pte Ltd.: Singapore, 2021; Volume 1, pp. 48–84. [Google Scholar]
- Mondal, D.; Bera, S. Porphyrins and Phthalocyanines: Promising Molecules for Light-Triggered Antibacterial Nanoparticles. Adv. Nat. Sci. Nanosci. Nanotechnol. 2014, 5, 033002. [Google Scholar] [CrossRef]
- Verma, P.K.; Sharma, U.; Bala, M.; Kumar, N.; Singh, B. Transition metal-free 1,3-dimethylimidazolium hydrogen carbonate catalyzed hydration of organonitriles to amides. RSC Adv. 2013, 3, 895–899. [Google Scholar] [CrossRef]
- Basova, T.V.; Hassan, A.; Morozova, N.B. Chemistry of Gold(I, III) Complexes with Organic Ligands as Potential MOCVD Precursors for Fabrication of Thin Metallic Films and Nanoparticles. Coord. Chem. Rev. 2019, 380, 58–82. [Google Scholar] [CrossRef]
- Martin, M.N.; Basham, J.I.; Chando, P.; Eah, S.-K. Charged Gold Nanoparticles in Non-Polar Solvents: 10-Min Synthesis and 2D Self-Assembly. Langmuir 2010, 26, 7410–7417. [Google Scholar] [CrossRef] [PubMed]
- Parkhomenko, R.G.; Morozova, N.B.; Zharkova, G.I.; Shubin, Y.V.; Trubin, S.V.; Kriventsov, V.V.; Kuchumov, B.M.; Koretskaya, T.P.; Igumenov, I.K. Deposition of Au Thin Films and Nanoparticles by MOCVD. Chem. Vap. Depos. 2012, 18, 336–342. [Google Scholar] [CrossRef]
- Kumar, A.; Samanta, S.; Latha, S.; Debnath, A.K.; Singh, A.; Muthe, K.P.; Barshilia, H.C. Enhanced Cl2 Sensitivity of Cobalt-Phthalocyanine Film by Utilizing a Porous Nanostructured Surface Fabricated on Glass. RSC Adv. 2017, 7, 4135–4143. [Google Scholar] [CrossRef]
- Guo, D.; Zhang, J.; Liu, G.; Luo, X.; Wu, F. Cobalt Phthalocyanine-Based Nanodots as Efficient Catalysts for Chemical Conversion of CO2 under Ambient Conditions. J. Mater. Sci. 2021, 56, 10990–10999. [Google Scholar] [CrossRef]
- Li, M.; Zeng, L.; Chen, Y.; Zhuang, L.; Wang, X.; Shen, H. Realization of Colored Multicrystalline Silicon Solar Cells with SiO2 /SiNX: H Double Layer Antireflection Coatings. Int. J. Photoenergy 2013, 2013, 352473. [Google Scholar] [CrossRef]
- Ho, K.-C.; Tsou, Y.-H. Chemiresistor-Type NO Gas Sensor Based on Nickel Phthalocyanine Thin Films. Sens. Actuators B Chem. 2001, 77, 253–259. [Google Scholar] [CrossRef]
- Jha, P.; Sharma, M.; Chouksey, A.; Chaturvedi, P.; Kumar, D.; Upadhyaya, G.; Rawat, J.S.B.S.; Chaudhury, P.K. Functionalization of Carbon Nanotubes with Metal Phthalocyanine for Selective Gas Sensing Application. Synth. React. Inorg. Met. Nano-Met. Chem. 2014, 44, 1551–1557. [Google Scholar] [CrossRef]
- Korotcenkov, G.; Brinzari, V.; Cho, B.K. Conductometric Gas Sensors Based on Metal Oxides Modified with Gold Nanoparticles: A Review. Microchim. Acta 2016, 183, 1033–1054. [Google Scholar] [CrossRef]
- Korotcenkov, G.; Brinzari, V.; Gulina, L.B.; Cho, B.K. The Influence of Gold Nanoparticles on the Conductivity Response of SnO2-Based Thin Film Gas Sensors. Appl. Surf. Sci. 2015, 353, 793–803. [Google Scholar] [CrossRef]
- Lee, J.; Jung, Y.; Sung, S.-H.; Lee, G.; Kim, J.; Seong, J.; Shim, Y.-S.; Jun, S.C.; Jeon, S. High-Performance Gas Sensor Array for Indoor Air Quality Monitoring: The Role of Au Nanoparticles on WO3, SnO2, and NiO-Based Gas Sensors. J. Mater. Chem. A 2021, 9, 1159–1167. [Google Scholar] [CrossRef]
- Korotcenkov, G. Gas Response Control through Structural and Chemical Modification of Metal Oxide Films: State of the Art and Approaches. Sens. Actuators B Chem. 2005, 107, 209–232. [Google Scholar] [CrossRef]
- Lee, J.-S.; Katoch, A.; Kim, J.-H.; Kim, S.S. Effect of Au Nanoparticle Size on the Gas-Sensing Performance of p-CuO Nanowires. Sens. Actuators B Chem. 2016, 222, 307–314. [Google Scholar] [CrossRef]
- Kim, B.-K.; Park, N.; Na, P.S.; So, H.-M.; Kim, J.-J.; Kim, H.; Kong, K.-J.; Chang, H.; Ryu, B.-H.; Choi, Y.; et al. The Effect of Metal Cluster Coatings on Carbon Nanotubes. Nanotechnology 2006, 17, 496–500. [Google Scholar] [CrossRef]
- Chinh, N.D.; Hien, T.T.; Van, D.L.; Hieu, N.M.; Quang, N.D.; Lee, S.-M.; Kim, C.; Kim, D. Adsorption/Desorption Kinetics of Nitric Oxide on Zinc Oxide Nano Film Sensor Enhanced by Light Irradiation and Gold-Nanoparticles Decoration. Sens. Actuators B Chem. 2019, 281, 262–272. [Google Scholar] [CrossRef]
- Gautam, M.; Jayatissa, A.H. Ammonia Gas Sensing Behavior of Graphene Surface Decorated with Gold Nanoparticles. Solid State Electron. 2012, 78, 159–165. [Google Scholar] [CrossRef]
- Chen, L.; Tsang, S.C. Ag Doped WO3-Based Powder Sensor for the Detection of NO Gas in Air. Sens. Actuators B Chem. 2003, 89, 68–75. [Google Scholar] [CrossRef]
- Penza, M.; Martucci, C.; Cassano, G. NOx Gas Sensing Characteristics of WO3 Thin Films Activated by Noble Metals (Pd, Pt, Au) Layers. Sens. Actuators B Chem. 1998, 50, 52–59. [Google Scholar] [CrossRef]
- Jha, R.K.; Nanda, A.; Avasthi, P.; Arya, N.; Yadav, A.; Balakrishnan, V.; Bhat, N. Scalable Approach to Develop High Performance Chemiresistive Nitric Oxide Sensor. IEEE Trans. Nanotechnol. 2022, 21, 177–184. [Google Scholar] [CrossRef]
- Luo, P.; Xie, M.; Luo, J.; Kan, H.; Wei, Q. Nitric Oxide Sensors Using Nanospiral ZnO Thin Film Deposited by GLAD for Application to Exhaled Human Breath. RSC Adv. 2020, 10, 14877–14884. [Google Scholar] [CrossRef]



















| Series | Sample Designation | Au Content, μg/cm2 | Average Sizes of Au Nanostructures, nm |
|---|---|---|---|
| Au_MOCVD | Au_CVD1/CoPc | 0.34 ± 0.05 | 1–7 |
| Au_CVD2/CoPc | 0.64 ± 0.08 | 6–13 | |
| Au_CVD3/CoPc | 1.1 ± 0.1 | 8–26 | |
| Au_PVD | Au_PVD1/CoPc | 0.47 ± 0.07 | 3–7 |
| Au_PVD2/CoPc | 0.99 ± 0.09 | 5–10 | |
| Au_PVD3/CoPc | 2.1 ± 0.2 | 7–14 | |
| Au_DC | Au_DC1/CoPc | 0.33 ± 0.05 | 3–14 |
| Au_DC2/CoPc | 0.66 ± 0.05 | 4–24 | |
| Au_DC3/CoPc | 0.99 ± 0.09 | 5–45 |
| Sensing Material | Operating Temperature, °C | NO Concentration Range, ppm | Sensitivity (S = R/R0) | Recovery Time, min | Ref. |
|---|---|---|---|---|---|
| NiPc | 160 | 5–500 | 41.3–42.3 (5–50 ppm) | 20 | [49] |
| Ag-doped WO3-based powder sensor | 300 | 40–100 | 21.5 (40 ppm) | ˃10 (40 ppm) | [71] |
| WO3/Au layer | 200 | 0–440 | 78 (440 ppm) | 4.1 (440 ppm) | [72] |
| Iron oxide nanorods | 250 | 0.5–2.75 | 15.2 (2.75 ppm) | <1 (2.75 ppm) | [73] |
| ZnO film | 150 | 0.07–0.1 | 16.9 (100 ppb) | 8.3 (100 ppb) | [74] |
| Au-PVD3/CoPc | 50 | 0.01–0.1 | 26.2 (100 ppb) | 9 (100 ppb) | This work |
Publisher’s Note: MDPI stays neutral with regard to jurisdictional claims in published maps and institutional affiliations. |
© 2022 by the authors. Licensee MDPI, Basel, Switzerland. This article is an open access article distributed under the terms and conditions of the Creative Commons Attribution (CC BY) license (https://creativecommons.org/licenses/by/4.0/).
Share and Cite
Dorovskikh, S.I.; Klyamer, D.D.; Maksimovskiy, E.A.; Volchek, V.V.; Zharkov, S.M.; Morozova, N.B.; Basova, T.V. Heterostructures Based on Cobalt Phthalocyanine Films Decorated with Gold Nanoparticles for the Detection of Low Concentrations of Ammonia and Nitric Oxide. Biosensors 2022, 12, 476. https://doi.org/10.3390/bios12070476
Dorovskikh SI, Klyamer DD, Maksimovskiy EA, Volchek VV, Zharkov SM, Morozova NB, Basova TV. Heterostructures Based on Cobalt Phthalocyanine Films Decorated with Gold Nanoparticles for the Detection of Low Concentrations of Ammonia and Nitric Oxide. Biosensors. 2022; 12(7):476. https://doi.org/10.3390/bios12070476
Chicago/Turabian StyleDorovskikh, Svetlana I., Darya D. Klyamer, Evgeny A. Maksimovskiy, Victoria V. Volchek, Sergey M. Zharkov, Natalia B. Morozova, and Tamara V. Basova. 2022. "Heterostructures Based on Cobalt Phthalocyanine Films Decorated with Gold Nanoparticles for the Detection of Low Concentrations of Ammonia and Nitric Oxide" Biosensors 12, no. 7: 476. https://doi.org/10.3390/bios12070476
APA StyleDorovskikh, S. I., Klyamer, D. D., Maksimovskiy, E. A., Volchek, V. V., Zharkov, S. M., Morozova, N. B., & Basova, T. V. (2022). Heterostructures Based on Cobalt Phthalocyanine Films Decorated with Gold Nanoparticles for the Detection of Low Concentrations of Ammonia and Nitric Oxide. Biosensors, 12(7), 476. https://doi.org/10.3390/bios12070476

