Design and Optimization of All-Dielectric Fluorescence Enhancing Metasurfaces: Towards Advanced Metasurface-Assisted Optrodes
Abstract
:1. Introduction
2. Materials and Methods
2.1. Structure and Method
2.2. Fluorescence Enhancement Factors
3. Results
3.1. Optical Properties of Investigated Structures
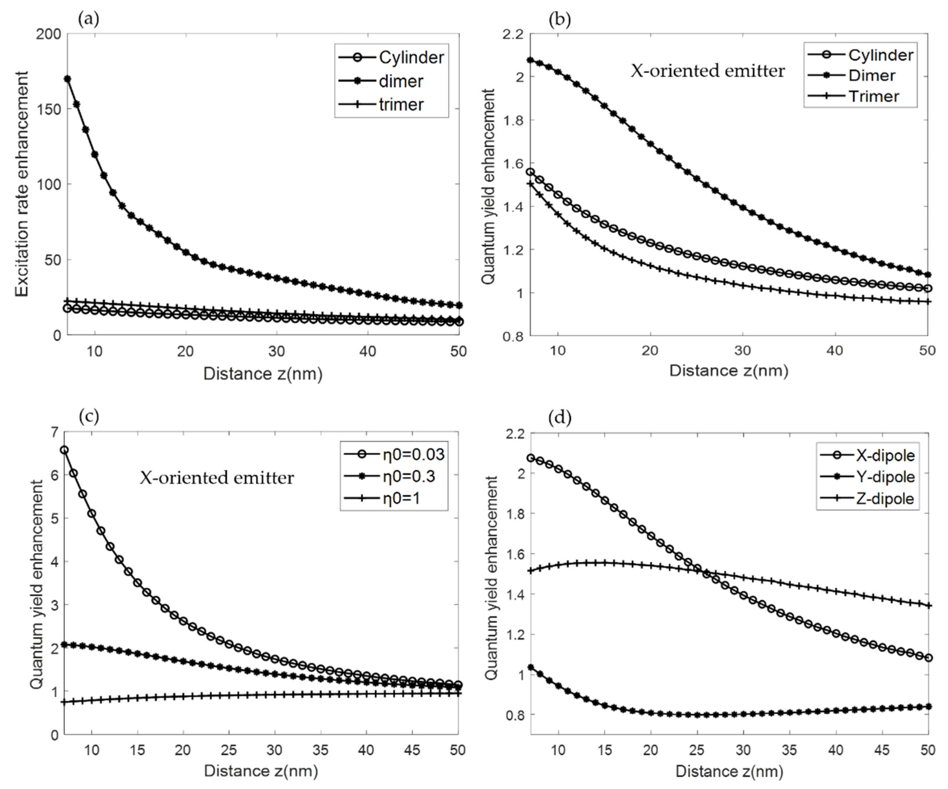
3.2. Resonant-Driven Excitation and Emission
3.3. Collection Efficiency Enhancement
4. Discussion
4.1. Overall Fluorescence Enhancement with Resonant Dielectric MSs
4.2. Feasibility Study of Fabricating Dielectric MSs on MM Fiber end Face
5. Conclusions
Author Contributions
Funding
Data Availability Statement
Conflicts of Interest
References
- Capolino, F. Theory and Phenomena of Metamaterials; CRC Press: Boca Raton, FL, USA, 2017. [Google Scholar] [CrossRef]
- Xu, Y.; Sun, J.; Walasik, W.; Litchinitser, N.M. Probing Metamaterials with Structured Light. Opt. Express 2016, 24, 26249. [Google Scholar] [CrossRef] [PubMed]
- Smith, D.R.; Padilla, W.J.; Vier, D.C.; Nemat-Nasser, S.C.; Schultz, S. Composite Medium with Simultaneously Negative Permeability and Permittivity. Phys. Rev. Lett. 2000, 84, 4184. [Google Scholar] [CrossRef] [PubMed] [Green Version]
- Pendry, J.B. Negative Refraction Makes a Perfect Lens. Phys. Rev. Lett. 2000, 85, 3966. [Google Scholar] [CrossRef] [PubMed]
- Pendry, J.B.; Schurig, D.; Smith, D.R. Controlling Electromagnetic Fields. Science 2006, 312, 1780–1782. [Google Scholar] [CrossRef] [Green Version]
- Kildishev, A.V.; Boltasseva, A.; Shalaev, V.M. Planar Photonics with Metasurfaces. Science 2013, 339, 12320091–12320096. [Google Scholar] [CrossRef] [Green Version]
- Yu, N.; Capasso, F. Flat Optics with Designer Metasurfaces. Nat. Mater. 2014, 13, 139–150. [Google Scholar] [CrossRef]
- Tsilipakos, O.; Tasolamprou, A.C.; Koschny, T.; Kafesaki, M.; Economou, E.N.; Soukoulis, C.M. Pairing Toroidal and Magnetic Dipole Resonances in Elliptic Dielectric Rod Metasurfaces for Reconfigurable Wavefront Manipulation in Reflection. Adv. Opt. Mater. 2018, 6, 1800633. [Google Scholar] [CrossRef] [Green Version]
- Huang, C.; Zhang, C.; Yang, J.; Sun, B.; Zhao, B.; Luo, X. Reconfigurable Metasurface for Multifunctional Control of Electromagnetic Waves. Adv. Opt. Mater. 2017, 5, 1700485. [Google Scholar] [CrossRef]
- Kruk, S.S.; Hopkins, B.; Kravchenko, I.; Miroshnichenko, A.; Neshev, D.N.; Kivshar, Y.S. Highly Efficient Broadband Polarization Control With All-Dielectric Metasurfaces. In Proceedings of the Australian Conference on Optical Fibre Technology, Sydney, Australia, 5–8 September 2016. [Google Scholar] [CrossRef]
- Dastmalchi, B.; Tassin, P.; Koschny, T.; Soukoulis, C.M. Strong Group-Velocity Dispersion Compensation with Phase-Engineered Sheet Metamaterials. Phys. Rev. B 2014, 89, 115123. [Google Scholar] [CrossRef] [Green Version]
- Tsilipakos, O.; Koschny, T.; Soukoulis, C.M. Antimatched Electromagnetic Metasurfaces for Broadband Arbitrary Phase Manipulation in Reflection. ACS Photonics 2018, 5, 1101–1107. [Google Scholar] [CrossRef] [Green Version]
- Krasnok, A.; Tymchenko, M.; Alù, A. Nonlinear Metasurfaces: A Paradigm Shift in Nonlinear Optics. Mater. Today 2018, 21, 8–21. [Google Scholar] [CrossRef]
- Nie, S.; Akyildiz, I.F. Metasurfaces for Multiplexed Communication. Nat. Electron. 2021, 4, 177–178. [Google Scholar] [CrossRef]
- Zhang, S.; Wong, C.L.; Zeng, S.; Bi, R.; Tai, K.; Dholakia, K.; Olivo, M. Metasurfaces for Biomedical Applications: Imaging and Sensing from a Nanophotonics Perspective. Nanophotonics 2021, 10, 259–293. [Google Scholar] [CrossRef]
- Petronijevic, E.; Leahu, G.; Di Meo, V.; Crescitelli, A.; Dardano, P.; Coppola, G.; Esposito, E.; Rendina, I.; Miritello, M.; Grimaldi, M.G.; et al. Near-Infrared Modulation by Means of GeTe/SOI-Based Metamaterial. Opt. Lett. 2019, 44, 1508–1511. [Google Scholar] [CrossRef] [PubMed]
- Di Meo, V.; Crescitelli, A.; Moccia, M.; Sandomenico, A.; Cusano, A.M.; Portaccio, M.; Lepore, M.; Galdi, V.; Esposito, E. Pixeled Metasurface for Multiwavelength Detection of Vitamin D. Nanophotonics 2020, 9, 3921–3930. [Google Scholar] [CrossRef]
- Di Meo, V.; Moccia, M.; Sanità, G.; Crescitelli, A.; Lamberti, A.; Galdi, V.; Rendina, I.; Esposito, E. Advanced DNA Detection via Multispectral Plasmonic Metasurfaces. Front. Bioeng. Biotechnol. 2021, 9, 666121. [Google Scholar] [CrossRef]
- Ahmadivand, A.; Gerislioglu, B. Photonic and Plasmonic Metasensors. Laser Photonics Rev. 2022, 16, 2100328. [Google Scholar] [CrossRef]
- Xiong, Y.; Li, N.; Che, C.; Wang, W.; Barya, P.; Liu, W.; Liu, L.; Wang, X.; Wu, S.; Hu, H.; et al. Microscopies Enabled by Photonic Metamaterials. Sensors 2022, 22, 1086. [Google Scholar] [CrossRef]
- Principe, M.; Consales, M.; Micco, A.; Crescitelli, A.; Castaldi, G.; Esposito, E.; La Ferrara, V.; Cutolo, A.; Galdi, V.; Cusano, A. Optical Fiber Meta-Tips. Light Sci. Appl. 2017, 6, e16226. [Google Scholar] [CrossRef] [Green Version]
- Cusano, A.; Consales, M.; Crescitelli, A.; Ricciardi, A. Lab-on-Fiber Technology; Springer: New York, NY, USA, 2015; Volume 56. [Google Scholar] [CrossRef]
- Consales, M.; Pisco, M.; Cusano, A. Photonic Sensors Lab-on-Fiber Technology: A New Avenue for Optical Nanosensors. Photonic Sens. 2012, 2, 289–314. [Google Scholar] [CrossRef] [Green Version]
- Vaiano, P.; Carotenuto, B.; Pisco, M.; Ricciardi, A.; Quero, G.; Consales, M.; Crescitelli, A.; Esposito, E.; Cusano, A. Lab on Fiber Technology for Biological Sensing Applications. Laser Photonics Rev. 2016, 10, 922–961. [Google Scholar] [CrossRef]
- Consales, M.; Ricciardi, A.; Crescitelli, A.; Esposito, E.; Cutolo, A.; Cusano, A. Lab-on-Fiber Technology: Toward Multifunctional Optical Nanoprobes. ACS Nano 2012, 6, 3163–3170. [Google Scholar] [CrossRef] [PubMed]
- Ricciardi, A.; Consales, M.; Quero, G.; Crescitelli, A.; Esposito, E.; Cusano, A. Versatile Optical Fiber Nanoprobes: From Plasmonic Biosensors to Polarization-Sensitive Devices. ACS Photonics 2013, 1, 69–78. [Google Scholar] [CrossRef]
- Principe, M.; Consales, M.; Castaldi, G.; Galdi, V.; Cusano, A. Evaluation of Fiber-Optic Phase-Gradient Meta-Tips for Sensing Applications. Nanomater. Nanotechnol. 2019, 9, 1847980419832724. [Google Scholar] [CrossRef] [Green Version]
- Consales, M.; Quero, G.; Spaziani, S.; Principe, M.; Micco, A.; Galdi, V.; Cutolo, A.; Cusano, A. Metasurface-Enhanced Lab-on-Fiber Biosensors. Laser Photon. Rev. 2020, 14, 2000180. [Google Scholar] [CrossRef]
- Zhang, W.; Ding, F.; Li, W.D.; Wang, Y.; Hu, J.; Chou, S.Y. Giant and Uniform Fluorescence Enhancement over Large Areas Using Plasmonic Nanodots in 3D Resonant Cavity Nanoantenna by Nanoimprinting. Nanotechnology 2012, 23, 225301. [Google Scholar] [CrossRef]
- Zhou, L.; Ding, F.; Chen, H.; Ding, W.; Zhang, W.; Chou, S.Y. Enhancement of Immunoassay’s Fluorescence and Detection Sensitivity Using Three-Dimensional Plasmonic Nano-Antenna-Dots Array. Anal. Chem. 2012, 84, 4489–4495. [Google Scholar] [CrossRef]
- Choi, B.; Iwanaga, M.; Miyazaki, H.T.; Sugimoto, Y.; Ohtake, A.; Sakoda, K. Overcoming Metal-Induced Fluorescence Quenching on Plasmo-Photonic Metasurfaces Coated by a Self-Assembled Monolayer. Chem. Commun. 2015, 51, 11470–11473. [Google Scholar] [CrossRef]
- Puchkova, A.; Vietz, C.; Pibiri, E.; Wünsch, B.; Sanz Paz, M.; Acuna, G.P.; Tinnefeld, P. DNA Origami Nanoantennas with over 5000-Fold Fluorescence Enhancement and Single-Molecule Detection at 25 Μm. Nano Lett. 2015, 15, 8354–8359. [Google Scholar] [CrossRef]
- Kumar, A.; Kim, S.; Nam, J.M. Plasmonically Engineered Nanoprobes for Biomedical Applications. J. Am. Chem. Soc. 2016, 138, 14509–14525. [Google Scholar] [CrossRef]
- Reiner, A.T.; Fossati, S.; Dostalek, J. Biosensor Platform for Parallel Surface Plasmon-Enhanced Epifluorescence and Surface Plasmon Resonance Detection. Sens. Actuators B Chem. 2018, 257, 594–601. [Google Scholar] [CrossRef]
- Badshah, M.A.; Koh, N.Y.; Zia, A.W.; Abbas, N.; Zahra, Z.; Saleem, M.W. Recent Developments in Plasmonic Nanostructures for Metal Enhanced Fluorescence-Based Biosensing. Nanomaterials 2020, 10, 1749. [Google Scholar] [CrossRef] [PubMed]
- Naik, G.V.; Shalaev, V.M.; Boltasseva, A.; Naik, G.V.; Shalaev, V.M.; Boltasseva, A. Alternative Plasmonic Materials: Beyond Gold and Silver. Adv. Mater. 2013, 25, 3264–3294. [Google Scholar] [CrossRef]
- Baffou, G.; Quidant, R. Thermo-Plasmonics: Using Metallic Nanostructures as Nano-Sources of Heat. Laser Photon. Rev. 2013, 7, 171–187. [Google Scholar] [CrossRef]
- Ureña, E.B.; Kreuzer, M.P.; Itzhakov, S.; Rigneault, H.; Quidant, R.; Oron, D.; Wenger, J. Excitation Enhancement of a Quantum Dot Coupled to a Plasmonic Antenna. Adv. Mater. 2012, 24, OP314–OP320. [Google Scholar] [CrossRef] [Green Version]
- Cao, D.; Cazé, A.; Calabrese, M.; Pierrat, R.; Bardou, N.; Collin, S.; Carminati, R.; Krachmalnicoff, V.; Wilde, Y. De Mapping the Radiative and the Apparent Nonradiative Local Density of States in the Near Field of a Metallic Nanoantenna. ACS Photonics 2015, 2, 189–193. [Google Scholar] [CrossRef] [Green Version]
- Kuznetsov, A.I.; Miroshnichenko, A.E.; Brongersma, M.L.; Kivshar, Y.S.; Luk’yanchuk, B. Optically Resonant Dielectric Nanostructures. Science 2016, 354, aag2472. [Google Scholar] [CrossRef] [Green Version]
- Baranov, D.G.; Zuev, D.A.; Lepeshov, S.I.; Kotov, O.V.; Krasnok, A.E.; Evlyukhin, A.B.; Chichkov, B.N. All-Dielectric Nanophotonics: The Quest for Better Materials and Fabrication Techniques. Optica 2017, 4, 814–825. [Google Scholar] [CrossRef]
- Staude, I.; Schilling, J. Metamaterial-Inspired Silicon Nanophotonics. Nat. Photonics 2017, 11, 274–284. [Google Scholar] [CrossRef]
- Evlyukhin, A.B.; Reinhardt, C.; Seidel, A.; Luk’Yanchuk, B.S.; Chichkov, B.N. Optical Response Features of Si-Nanoparticle Arrays. Phys. Rev. B Condens. Matter Mater. Phys. 2010, 82, 045404. [Google Scholar] [CrossRef] [Green Version]
- García-Etxarri, A.; Gómez-Medina, R.; Froufe-Pérez, L.S.; López, C.; Chantada, L.; Scheffold, F.; Aizpurua, J.; Nieto-Vesperinas, M.; Sáenz, J.J. Strong Magnetic Response of Submicron Silicon Particles in the Infrared. Opt. Express 2011, 19, 4815. [Google Scholar] [CrossRef] [PubMed] [Green Version]
- Evlyukhin, A.B.; Novikov, S.M.; Zywietz, U.; Eriksen, R.L.; Reinhardt, C.; Bozhevolnyi, S.I.; Chichkov, B.N. Demonstration of Magnetic Dipole Resonances of Dielectric Nanospheres in the Visible Region. Nano Lett. 2012, 12, 3749–3755. [Google Scholar] [CrossRef] [PubMed]
- Staude, I.; Miroshnichenko, A.E.; Decker, M.; Fofang, N.T.; Liu, S.; Gonzales, E.; Dominguez, J.; Luk, T.S.; Neshev, D.N.; Brener, I.; et al. Tailoring Directional Scattering through Magnetic and Electric Resonances in Subwavelength Silicon Nanodisks. ACS Nano 2013, 7, 7824–7832. [Google Scholar] [CrossRef] [PubMed]
- Kerker, M.; Wang, D.S.; Giles, C.L. Electromagnetic Scattering by Magnetic Spheres. J. Opt. Soc. Am. 1983, 73, 765–767. [Google Scholar] [CrossRef]
- Alhalaby, H.; Zaraket, H.; Principe, M. Enhanced Photoluminescence with Dielectric Nanostructures: A Review. Results Opt. 2021, 3, 100073. [Google Scholar] [CrossRef]
- Staude, I.; Khardikov, V.V.; Fofang, N.T.; Liu, S.; Neshev, D.N.; Luk, T.S.; Brener, I.; Kivshar, Y.S. Shaping Photoluminescence Spectra with Magnetoelectric Resonances in All-Dielectric Nanoparticles. ACS Photonics 2015, 2, 172–177. [Google Scholar] [CrossRef]
- Caldarola, M.; Albella, P.; Cortés, E.; Rahmani, M.; Roschuk, T.; Grinblat, G.; Oulton, R.F.; Bragas, A.V.; Maier, S.A. Non-Plasmonic Nanoantennas for Surface Enhanced Spectroscopies with Ultra-Low Heat Conversion. Nat. Commun. 2015, 6, 357–386. [Google Scholar] [CrossRef] [Green Version]
- Regmi, R.; Berthelot, J.; Winkler, P.M.; Mivelle, M.; Proust, J.; Bedu, F.; Ozerov, I.; Begou, T.; Lumeau, J.; Rigneault, H.; et al. All-Dielectric Silicon Nanogap Antennas to Enhance the Fluorescence of Single Molecules. Nano Lett. 2016, 16, 5143–5151. [Google Scholar] [CrossRef] [Green Version]
- Bouchet, D.; Mivelle, M.; Proust, J.; Gallas, B.; Ozerov, I.; Garcia-Parajo, M.F.; Gulinatti, A.; Rech, I.; De Wilde, Y.; Bonod, N.; et al. Enhancement and Inhibition of Spontaneous Photon Emission by Resonant Silicon Nanoantennas. Phys. Rev. Appl. 2016, 6, 064016. [Google Scholar] [CrossRef] [Green Version]
- Cambiasso, J.; Grinblat, G.; Li, Y.; Rakovich, A.; Cortés, E.; Maier, S.A. Bridging the Gap between Dielectric Nanophotonics and the Visible Regime with Effectively Lossless Gallium Phosphide Antennas. Nano Lett. 2017, 17, 1219–1225. [Google Scholar] [CrossRef] [Green Version]
- Rutckaia, V.; Heyroth, F.; Novikov, A.; Shaleev, M.; Petrov, M.; Schilling, J. Quantum Dot Emission Driven by Mie Resonances in Silicon Nanostructures. Nano Lett. 2017, 17, 6886–6892. [Google Scholar] [CrossRef]
- Vaskin, A.; Bohn, J.; Chong, K.E.; Bucher, T.; Zilk, M.; Choi, Y.; Neshev, D.N.; Kivshar, Y.S.; Pertsch, T.; Staude, I. Directional and Spectral Shaping of Light Emission with Mie-Resonant Silicon Nanoantenna Arrays. ACS Photonics 2018, 5, 1359–1364. [Google Scholar] [CrossRef]
- Yavas, O.; Svedendahl, M.; Dobosz, P.; Sanz, V.; Quidant, R. On-a-Chip Biosensing Based on All-Dielectric Nanoresonators. Nano Lett. 2017, 17, 4421–4426. [Google Scholar] [CrossRef] [PubMed] [Green Version]
- Albella, P.; De La Osa, R.A.; Moreno, F.; Maier, S.A. Electric and Magnetic Field Enhancement with Ultralow Heat Radiation Dielectric Nanoantennas: Considerations for Surface-Enhanced Spectroscopies. ACS Photonics 2014, 1, 524–529. [Google Scholar] [CrossRef]
- Iwanaga, M. All-Dielectric Metasurfaces with High-Fluorescence-Enhancing Capability. Appl. Sci. 2018, 8, 1328. [Google Scholar] [CrossRef] [Green Version]
- Iwanaga, M. All-Dielectric Metasurface Fluorescence Biosensors for High-Sensitivity Antibody/Antigen Detection. ACS Nano 2020, 14, 17458–17467. [Google Scholar] [CrossRef]
- Iwanaga, M. High-Sensitivity High-Throughput Detection of Nucleic Acid Targets on Metasurface Fluorescence Biosensors. Biosensors 2021, 11, 33. [Google Scholar] [CrossRef] [PubMed]
- Hessel, A.; Oliner, A.A. A New Theory of Wood’s Anomalies on Optical Gratings. Appl. Opt. 1965, 4, 1275–1297. [Google Scholar] [CrossRef]
- Maurel, A.; Félix, S.; Mercier, J.-F.; Ourir, A.; Djeffal, Z.E. Wood’s Anomalies for Arrays of Dielectric Scatterers. J. Eur. Opt. Soc. Rapid Publ. 2014, 9, 1–7. [Google Scholar] [CrossRef] [Green Version]
- Ang, X.I.W.; Ogos, L.E.C.K.; Aiella, R.O.P. Giant Distributed Optical-Field Enhancements from Mie-Resonant Lattice Surface Modes in Dielectric Metasurfaces. OSA Contin. 2019, 2, 32–42. [Google Scholar] [CrossRef]
- COMSOL—Software for Multiphysics Simulation. Available online: https://www.comsol.com/ (accessed on 26 October 2021).
- Pommet, D.A.; Grann, E.B.; Moharam, M.G.; Gaylord, T.K. Formulation for Stable and Efficient Implementation of the Rigorous Coupled-Wave Analysis of Binary Gratings. JOSA A 1995, 12, 1068–1076. [Google Scholar] [CrossRef]
- Aliberti, A.; Ricciardi, A.; Giaquinto, M.; Micco, A.; Bobeico, E.; La Ferrara, V.; Ruvo, M.; Cutolo, A.; Cusano, A. Microgel Assisted Lab-on-Fiber Optrode. Sci. Rep. 2017, 7, 14459. [Google Scholar] [CrossRef] [PubMed]
- Laux, F.; Bonod, N.; Gérard, D. Single Emitter Fluorescence Enhancement with Surface Lattice Resonances. J. Phys. Chem. C 2017, 121, 13280–13289. [Google Scholar] [CrossRef] [Green Version]
- Krasnok, A.; Caldarola, M.; Bonod, N.; Alú, A. Spectroscopy and Biosensing with Optically Resonant Dielectric Nanostructures. Adv. Opt. Mater. 2018, 6, 1701094. [Google Scholar] [CrossRef] [Green Version]
- Lukas Novotny, B.H. Principles of Nano-Optics, 2nd ed.; Cambridge University Press: Cambridge, UK, 2007; Volume 34, ISBN 9781107005464. [Google Scholar]
- Bauch, M.; Dostalek, J. Collective Localized Surface Plasmons for High Performance Fluorescence Biosensing. Opt. Express 2013, 21, 20470. [Google Scholar] [CrossRef]
- Sun, S.; Wu, L.; Bai, P.; Png, C.E. Fluorescence Enhancement in Visible Light: Dielectric or Noble Metal? Phys. Chem. Chem. Phys. 2016, 18, 19324–19335. [Google Scholar] [CrossRef] [Green Version]
- Bharadwaj, P.; Novotny, L. Spectral Dependence of Single Molecule Fluorescence Enhancement. Opt. Express 2007, 15, 14266. [Google Scholar] [CrossRef] [Green Version]
- Balanis, C.A. Antenna Theory: Analysis and Design, 4th ed.; John Wiley & Sons: Hoboken, NJ, USA, 2015; ISBN 9781119178996. [Google Scholar]
- Van De Groep, J.; Polman, A. Designing Dielectric Resonators on Substrates: Combining Magnetic and Electric Resonances. Opt. Express 2013, 21, 1253–1257. [Google Scholar] [CrossRef]
- Fluorescence SpectraViewer. Available online: https://www.thermofisher.com/order/fluorescence-spectraviewer#!/ (accessed on 23 November 2021).
- Dutta Choudhury, S.; Badugu, R.; Lakowicz, J.R. Directing Fluorescence with Plasmonic and Photonic Structures. Acc. Chem. Res. 2015, 48, 2171. [Google Scholar] [CrossRef] [Green Version]
- Malara, P.; Crescitelli, A.; Di Meo, V.; Giorgini, A.; Avino, S.; Esposito, E.; Ricciardi, A.; Cusano, A.; Rendina, I.; De Natale, P.; et al. Resonant Enhancement of Plasmonic Nanostructured Fiber Optic Sensors. Sens. Actuators B Chem. 2018, 273, 1587–1592. [Google Scholar] [CrossRef]











| Dipole Orientation | Array of Cylinders | Array of 20 nm Gap Dimers | Array of Trimers |
|---|---|---|---|
| X-oriented dipole | 10 | 8.5 | 8.24 |
| Y-oriented dipole | 10 | 3.29 | 5.42 |
| Z-oriented dipole | 0.11 | 0.11 | 61.49 |
| Nanostructure | |||||
|---|---|---|---|---|---|
| X-Oriented Dipole | Cylinder | 17 | 1.6 | 10.2 | 277 |
| Dimer | 170 | 2 | 8.5 | 2890 | |
| Trimer | 22 | 1.5 | 8.24 | 271 | |
| Averaged-Oriented Dipole | Cylinder | 17 | 1.6 | 6 | 163 |
| Dimer | 170 | 1.5 | 4 | 1020 | |
| Trimer | 22 | 1.6 | 25 | 880 |
| Nanostructure | |||||
|---|---|---|---|---|---|
| X-Oriented Dipole | Cylinder | 61 | 1.82 | 8.28 | 919 |
| Dimer | 324 | 2.33 | 8.55 | 6454 | |
| Trimer | 432 | 1.89 | 7.5 | 6123 | |
| Averaged-Oriented Dipole | Cylinder | 61 | 1.62 | 32.79 | 3240 |
| Dimer | 324 | 1.61 | 3.92 | 2044 | |
| Trimer | 432 | 1.69 | 8.04 | 5869 |
Publisher’s Note: MDPI stays neutral with regard to jurisdictional claims in published maps and institutional affiliations. |
© 2022 by the authors. Licensee MDPI, Basel, Switzerland. This article is an open access article distributed under the terms and conditions of the Creative Commons Attribution (CC BY) license (https://creativecommons.org/licenses/by/4.0/).
Share and Cite
Alhalaby, H.; Principe, M.; Zaraket, H.; Vaiano, P.; Aliberti, A.; Quero, G.; Crescitelli, A.; Di Meo, V.; Esposito, E.; Consales, M.; et al. Design and Optimization of All-Dielectric Fluorescence Enhancing Metasurfaces: Towards Advanced Metasurface-Assisted Optrodes. Biosensors 2022, 12, 264. https://doi.org/10.3390/bios12050264
Alhalaby H, Principe M, Zaraket H, Vaiano P, Aliberti A, Quero G, Crescitelli A, Di Meo V, Esposito E, Consales M, et al. Design and Optimization of All-Dielectric Fluorescence Enhancing Metasurfaces: Towards Advanced Metasurface-Assisted Optrodes. Biosensors. 2022; 12(5):264. https://doi.org/10.3390/bios12050264
Chicago/Turabian StyleAlhalaby, Hiba, Maria Principe, Haitham Zaraket, Patrizio Vaiano, Anna Aliberti, Giuseppe Quero, Alessio Crescitelli, Valentina Di Meo, Emanuela Esposito, Marco Consales, and et al. 2022. "Design and Optimization of All-Dielectric Fluorescence Enhancing Metasurfaces: Towards Advanced Metasurface-Assisted Optrodes" Biosensors 12, no. 5: 264. https://doi.org/10.3390/bios12050264
APA StyleAlhalaby, H., Principe, M., Zaraket, H., Vaiano, P., Aliberti, A., Quero, G., Crescitelli, A., Di Meo, V., Esposito, E., Consales, M., & Cusano, A. (2022). Design and Optimization of All-Dielectric Fluorescence Enhancing Metasurfaces: Towards Advanced Metasurface-Assisted Optrodes. Biosensors, 12(5), 264. https://doi.org/10.3390/bios12050264

