Microfluidic Determination of Distinct Membrane Transport Properties between Lung Adenocarcinoma Cells CL1-0 and CL1-5
Abstract
:1. Introduction
2. Materials & Methods
2.1. Theory of Membrane Transport Model
2.2. Preparation and Culturing of the CL1 Cell Line
2.3. Experimental Setup, Methods of the Micro-Vortex System and Post-Image-Processing
3. Results and Discussions
3.1. Determining Vb
3.2. Determining Lp of CL1-0 & CL1-5 in the Binary System
3.3. Solving for Lp and Ps in the Ternary System
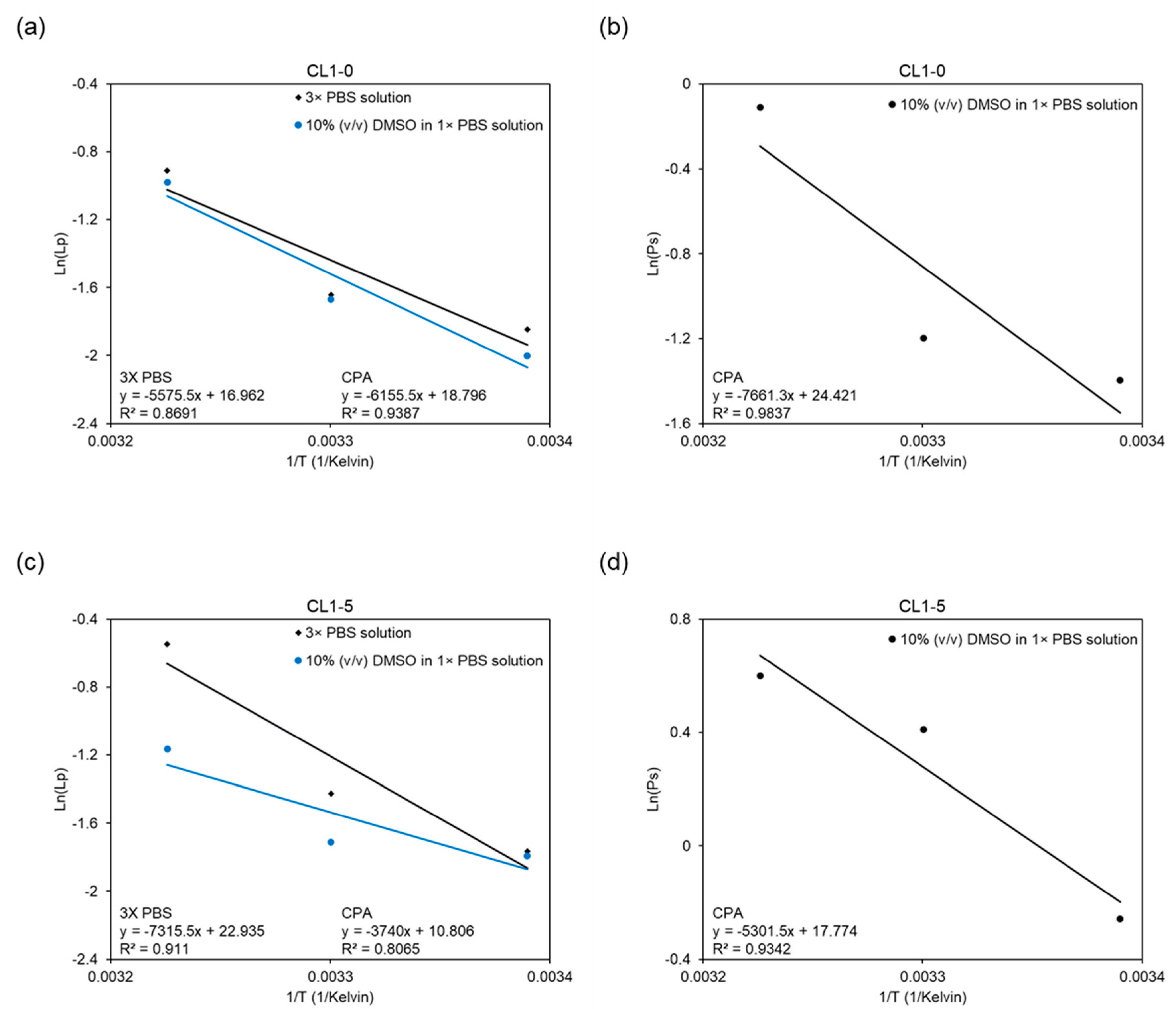
3.4. Temperature-Dependent Osmosis of the CL1 Cell Line
3.5. Discussions
4. Conclusions
Author Contributions
Funding
Institutional Review Board Statement
Informed Consent Statement
Data Availability Statement
Conflicts of Interest
References
- Cancer Fact Sheets. Available online: https://gco.iarc.fr/today/fact-sheets-cancers (accessed on 18 March 2022).
- Sung, H.; Ferlay, J.; Siegel, R.L.; Laversanne, M.; Soerjomataram, I.; Jemal, A.; Bray, F. Global Cancer Statistics 2020: GLOBOCAN Estimates of Incidence and Mortality Worldwide for 36 Cancers in 185 Countries. CA Cancer J. Clin. 2021, 71, 209–249. [Google Scholar] [CrossRef] [PubMed]
- Yu, I.F.; Yu, Y.H.; Chen, L.Y.; Fan, S.K.; Chou, H.Y.E.; Yang, J.T. A portable microfluidic device for the rapid diagnosis of cancer metastatic potential which is programmable for temperature and CO2. Lab Chip 2014, 14, 3621–3628. [Google Scholar] [CrossRef] [PubMed]
- Yang, P.-C.; Luh, K.-T.; Wu, R.; Wu, C.-W. Characterization of the Mucin Differentiation in Human Lung Adenocarcinoma Cell Lines. Am. J. Respir. Cell Mol. Biol. 1992, 7, 161–171. [Google Scholar] [CrossRef]
- Chu, Y.-W.; Yang, P.-C.; Yang, S.-C.; Shyu, Y.-C.; Hendrix, M.J.C.; Wu, R.; Wu, C.-W. Selection of Invasive and Metastatic Subpopulations from a Human Lung Adenocarcinoma Cell Line. Am. J. Respir. Cell Mol. Biol. 1997, 17, 353–360. [Google Scholar] [CrossRef] [PubMed] [Green Version]
- Chang, Y.-H.; Lee, S.-H.; Liao, I.-C.; Huang, S.-H.; Cheng, H.-C.; Liao, P.-C. Secretomic Analysis Identifies Alpha-1 Antitrypsin (A1AT) as a Required Protein in Cancer Cell Migration, Invasion, and Pericellular Fibronectin Assembly for Facilitating Lung Colonization of Lung Adenocarcinoma Cells. Mol. Cell. Proteom. 2012, 11, 1320–1339. [Google Scholar] [CrossRef] [PubMed] [Green Version]
- Kao, Y.-R.; Shih, J.-Y.; Wen, W.-C.; Ko, Y.-P.; Chen, B.-M.; Chan, Y.-L.; Chu, Y.-W.; Yang, P.-C.; Wu, C.-W.; Roffler, S.R. Tumor-associated antigen L6 and the invasion of human lung cancer cells. Clin. Cancer Res. 2003, 9, 2807–2816. [Google Scholar] [PubMed]
- Chen, J.J.; Peck, K.; Hong, T.M.; Yang, S.C.; Sher, Y.P.; Shih, J.Y.; Wu, R.; Cheng, J.L.; Roffler, S.R.; Wu, C.W.; et al. Global analysis of gene expression in invasion by a lung cancer model. Cancer Res. 2001, 61, 5223–5230. [Google Scholar] [PubMed]
- Wang, M.-C.; Chang, Y.-H.; Wu, C.-C.; Tyan, Y.-C.; Chang, H.-C.; Goan, Y.-G.; Lai, W.-W.; Cheng, P.-N.; Liao, P.-C. Alpha-Actinin 4 Is Associated with Cancer Cell Motility and Is a Potential Biomarker in Non–Small Cell Lung Cancer. J. Thorac. Oncol. 2015, 10, 286–301. [Google Scholar] [CrossRef] [PubMed] [Green Version]
- Deng, Y.-T.; Lin, J.-K. EGCG Inhibits the Invasion of Highly Invasive CL1-5 Lung Cancer Cells through Suppressing MMP-2 Expression via JNK Signaling and Induces G2/M Arrest. J. Agric. Food Chem. 2011, 59, 13318–13327. [Google Scholar] [CrossRef]
- Nelson, A.R.; Fingleton, B.; Rothenberg, M.L.; Matrisian, L.M. Matrix Metalloproteinases: Biologic Activity and Clinical Implications. J. Clin. Oncol. 2000, 18, 1135. [Google Scholar] [CrossRef] [PubMed]
- Sreenath, T.; Matrisian, L.M.; Stetler-Stevenson, W.; Gattoni-Celli, S.; Pozzatti, R.O. Expression of matrix metalloproteinase genes in transformed rat cell lines of high and low metastatic potential. Cancer Res. 1992, 52, 4942–4947. [Google Scholar] [PubMed]
- Sun, Y.-S.; Peng, S.-W.; Lin, K.-H.; Cheng, J.-Y. Electrotaxis of lung cancer cells in ordered three-dimensional scaffolds. Biomicrofluidics 2012, 6, 014102–1410214. [Google Scholar] [CrossRef] [Green Version]
- Levin, M. Bioelectrical approaches to cancer as a problem of the scaling of the cellular self. Prog. Biophys. Mol. Biol. 2021, 165, 102–113. [Google Scholar] [CrossRef] [PubMed]
- Yan, X.; Han, J.; Zhang, Z.; Wang, J.; Cheng, Q.; Gao, K.; Ni, Y.; Wang, Y. Lung cancer A549 cells migrate directionally in DC electric fields with polarized and activated EGFRs. Bioelectromagnetics 2009, 30, 29–35. [Google Scholar] [CrossRef] [PubMed]
- Yang, M.; Brackenbury, W.J. Membrane potential and cancer progression. Front. Physiol. 2013, 4, 185. [Google Scholar] [CrossRef] [PubMed] [Green Version]
- Huang, C.-W.; Cheng, J.-Y.; Yen, M.-H.; Young, T.-H. Electrotaxis of lung cancer cells in a multiple-electric-field chip. Biosens. Bioelectron. 2009, 24, 3510–3516. [Google Scholar] [CrossRef] [PubMed]
- Mori, S.; Choi, J.; Devireddy, R.; Bischof, J.C. Calorimetric measurement of water transport and intracellular ice formation during freezing in cell suspensions. Cryobiology 2012, 65, 242–255. [Google Scholar] [CrossRef] [PubMed]
- Gao, D.Y.; McGrath, J.J.; Tao, J.; Benson, C.T.; Critser, E.S.; Critser, J.K. Membrane transport properties of mammalian oocytes: A micropipette perfusion technique. J. Reprod. Fertil. 1994, 102, 385–392. [Google Scholar] [CrossRef] [Green Version]
- Weng, L.; Ellett, F.; Edd, J.; Wong, K.H.; Uygun, K.; Irimia, D.; Stott, S.L.; Toner, M. A highly-occupied, single-cell trapping microarray for determination of cell membrane permeability. Lab Chip 2017, 17, 4077–4088. [Google Scholar] [CrossRef] [PubMed]
- Huang, L.; Benson, J.D.; Almasri, M. Microfluidic measurement of individual cell membrane water permeability. Anal. Chim. Acta 2021, 1163, 338441. [Google Scholar] [CrossRef] [PubMed]
- Tseng, H.-Y.; Chen, C.-J.; Wu, Z.-L.; Ye, Y.-M.; Huang, G.-Z. The non-contact-based determination of the membrane permeability to water and dimethyl sulfoxide of cells virtually trapped in a self-induced micro-vortex. Lab Chip 2021, 22, 354–366. [Google Scholar] [CrossRef] [PubMed]
- Sollier, E.; Go, D.E.; Che, J.; Gossett, D.R.; O’Byrne, S.; Weaver, W.M.; Kummer, N.; Rettig, M.; Goldman, J.; Nickols, N.; et al. Size-selective collection of circulating tumor cells using Vortex technology. Lab Chip 2014, 14, 63–77. [Google Scholar] [CrossRef] [PubMed]
- Marinelli, R.A.; Tietz, P.S.; Caride, A.J.; Huang, B.Q.; LaRusso, N.F. Water Transporting Properties of Hepatocyte Basolateral and Canalicular Plasma Membrane Domains. J. Biol. Chem. 2003, 278, 43157–43162. [Google Scholar] [CrossRef] [PubMed] [Green Version]
- Kao, Y.-C.; Lee, C.-H.; Kuo, P.-L. Increased hydrostatic pressure enhances motility of lung cancer cells. Conf. Proc. IEEE Eng. Med. Biol. Soc. 2014, 2014, 2928–2931. [Google Scholar] [CrossRef]
- Kao, Y.-C.; Jheng, J.-R.; Pan, H.-J.; Liao, W.-Y.; Lee, C.-H.; Kuo, P.-L. Elevated Hydrostatic Pressure Enhances the Motility and Enlarges the Size of the Lung Cancer Cells through Aquaporin Upregulation Mediated by Caveolin-1 and ERK1/2 Signaling. Oncogene 2017, 36, 863–874. [Google Scholar] [CrossRef] [PubMed]
- Elkhider, A.; Wang, B.; Ouyang, X.; Al-Azab, M.; Walana, W.; Sun, X.; Li, H.; Tang, Y.; Wei, J.; Li, X. Aquaporin 5 promotes tumor migration and angiogenesis in non-small cell lung cancer cell line H1299. Oncol. Lett. 2020, 19, 1665–1672. [Google Scholar] [CrossRef]
- Ala, M.; Jafari, R.M.; Hajiabbasi, A.; Dehpour, A.R. Aquaporins and diseases pathogenesis: From trivial to undeniable involvements, a disease-based point of view. J. Cell. Physiol. 2021, 236, 6115–6135. [Google Scholar] [CrossRef]
- Xiong, G.; Chen, X.; Zhang, Q.; Fang, Y.; Chen, W.; Li, C.; Zhang, J. RNA interference influenced the proliferation and invasion of XWLC-05 lung cancer cells through inhibiting aquaporin 3. Biochem. Biophys. Res. Commun. 2017, 485, 627–634. [Google Scholar] [CrossRef]
- Chen, P.; Li, Q.; Zhou, Y.; Lu, H.; Chen, H.; Qian, M.; Chen, J. Clinical implication of aquaporin 9 in non-small cell lung cancer patients: Its expression and relationship with clinical features and prognosis. Ir. J. Med Sci. 2021, 1–8. [Google Scholar] [CrossRef]
- Chae, Y.K.; Woo, J.; Kim, M.-J.; Kang, S.K.; Kim, M.S.; Lee, J.; Lee, S.K.; Gong, G.; Kim, Y.H.; Soria, J.C.; et al. Expression of Aquaporin 5 (AQP5) Promotes Tumor Invasion in Human Non Small Cell Lung Cancer. PLoS ONE 2008, 3, e2162. [Google Scholar] [CrossRef]
- Zhang, Z.; Chen, Z.; Song, Y.; Zhang, P.; Hu, J.; Bai, C. Expression of aquaporin 5 increases proliferation and metastasis potential of lung cancer. J. Pathol. 2010, 221, 210–220. [Google Scholar] [CrossRef] [PubMed]






| CL1-0 | Temperature (°C) | Lp ± SD (n, r2) | Ea of Lp (r2) (Kcal/mol) | Ps ± SD (n, r2) | Ea of Ps (r2) (Kcal/mol) |
|---|---|---|---|---|---|
| PBS-Water | 22 | 0.16 ± 0.10 (10, 0.99) | 11.08 (0.87) | - | - |
| 30 | 0.19 ± 0.32 (7, 0.99) | - | |||
| 37 | 0.40 ± 0.14 (10, 0.99) | - | |||
| PBS-Water-DMSO | 22 | 0.14 ± 0.01 (14, 0.96) | 12.23 (0.94) | 0.25 ± 0.05 (14, 0.89) | 15.22 (0.98) |
| 30 | 0.19 ± 0.01 (12, 0.75) | 0.30 ± 0.01 (12, 0.97) | |||
| 37 | 0.38 ± 0.01 (8, 0.82) | 0.90 ± 0.01 (8, 0.99) | |||
| CL1-5 | Temperature (°C) | Lp ± SD (n, r2) () | Ea of Lp (r2) (Kcal/mol) | Ps ± SD (n, r2) () | Ea of Ps (r2) (Kcal/mol) |
| PBS-Water | 22 | 0.17 ± 0.98 (17, 0.99) | 14.54 (0.91) | - | - |
| 30 | 0.24 ± 0.83 (18, 0.99) | - | |||
| 37 | 0.58 ± 0.51 (4, 0.98) | - | |||
| PBS-Water-DMSO | 22 | 0.17 ± 0.01 (11, 0.77) | 7.43 (0.81) | 0.77 ± 0.39 (11, 0.77) | 10.54 (0.93) |
| 30 | 0.18 ± 0.01 (20, 0.83) | 1.51 ± 0.01 (20, 0.98) | |||
| 37 | 0.31 ± 0.01 (4, 0.99) | 1.82 ± 0.01 (4, 0.99) |
Publisher’s Note: MDPI stays neutral with regard to jurisdictional claims in published maps and institutional affiliations. |
© 2022 by the authors. Licensee MDPI, Basel, Switzerland. This article is an open access article distributed under the terms and conditions of the Creative Commons Attribution (CC BY) license (https://creativecommons.org/licenses/by/4.0/).
Share and Cite
Chen, C.-J.; Kao, M.-H.; Alvarado, N.A.S.; Ye, Y.-M.; Tseng, H.-Y. Microfluidic Determination of Distinct Membrane Transport Properties between Lung Adenocarcinoma Cells CL1-0 and CL1-5. Biosensors 2022, 12, 199. https://doi.org/10.3390/bios12040199
Chen C-J, Kao M-H, Alvarado NAS, Ye Y-M, Tseng H-Y. Microfluidic Determination of Distinct Membrane Transport Properties between Lung Adenocarcinoma Cells CL1-0 and CL1-5. Biosensors. 2022; 12(4):199. https://doi.org/10.3390/bios12040199
Chicago/Turabian StyleChen, Chiu-Jen, Min-Heng Kao, Noel A. S. Alvarado, Yong-Ming Ye, and Hsiu-Yang Tseng. 2022. "Microfluidic Determination of Distinct Membrane Transport Properties between Lung Adenocarcinoma Cells CL1-0 and CL1-5" Biosensors 12, no. 4: 199. https://doi.org/10.3390/bios12040199
APA StyleChen, C.-J., Kao, M.-H., Alvarado, N. A. S., Ye, Y.-M., & Tseng, H.-Y. (2022). Microfluidic Determination of Distinct Membrane Transport Properties between Lung Adenocarcinoma Cells CL1-0 and CL1-5. Biosensors, 12(4), 199. https://doi.org/10.3390/bios12040199

