Optical System Based on Nafion Membrane for the Detection of Ammonia in Blood Serum Samples
Abstract
1. Introduction
2. Materials and Methods
2.1. Chemicals
2.2. Instruments and Setup
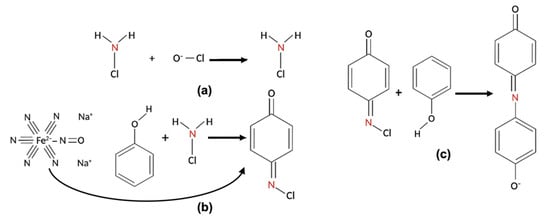
2.3. The Berthelot Reaction
3. Design and Treatments
3.1. Extraction Cell Design
3.2. Nafion Membrane as Ion-Exchange Barrier
Chemical Pre-Treatment of Nafion
4. Results and Discussion
4.1. Calibration of the Ammonia Detection in Water-Based Solutions
4.2. Calibration of the Ammonia Detection in Sodium Acetate Solutions
4.3. Influence of the Extraction Cell on the Ammonia Detection Effectiveness
4.4. Influence of Complex-Matrix Samples on the Ammonia Detection Effectiveness
5. Conclusions
Author Contributions
Funding
Institutional Review Board Statement
Informed Consent Statement
Data Availability Statement
Conflicts of Interest
References
- Shimamoto, C.; Hirata, I.; Katsu, K. Breath and blood ammonia in liver cirrhosis. Hepatogastroenterology 2000, 47, 443–445. [Google Scholar] [PubMed]
- Ong, J.P.; Aggarwal, A.; Krieger, D.; Easley, K.A.; Karafa, M.T.; Van Lente, F.; Arroliga, A.C.; Mullen, K.D. Correlation between ammonia levels and the severity of hepatic encephalopathy. Am. J. Med. 2003, 114, 188–193. [Google Scholar] [CrossRef] [PubMed]
- Shinozaki, K.; Oda, S.; Sadahiro, T.; Nakamura, M.; Hirayama, Y.; Watanabe, E.; Tateishi, Y.; Nakanishi, K.; Kitamura, N.; Sato, Y.; et al. Blood ammonia and lactate levels on hospital arrival as a predictive biomarker in patients with out-of-hospital cardiac arrest. Resuscitation 2011, 82, 404–409. [Google Scholar] [CrossRef] [PubMed]
- Ninan, J.; Feldman, L. Ammonia levels and hepatic encephalopathy in patients with known chronic liver disease. J. Hosp. Med. 2017, 12, 659–661. [Google Scholar] [CrossRef] [PubMed]
- Arya, S.K.; Bhansali, S. Lung cancer and its early detection using biomarker-based biosensors. Chem. Rev. 2011, 111, 6783–6809. [Google Scholar] [CrossRef]
- Ricci, P.P.; Gregory, O.J. Sensors for the detection of ammonia as a potential biomarker for health screening. Sci. Rep. 2021, 11, 7185. [Google Scholar] [CrossRef]
- Mohankumar, P.; Ajayan, J.; Mohanraj, T.; Yasodharan, R. Recent developments in biosensors for healthcare and biomedical applications: A review. Measurement 2021, 167, 108293. [Google Scholar] [CrossRef]
- Malhotra, B.D.; Chaubey, A. Biosensors for clinical diagnostics industry. Sens. Actuators B Chem. 2003, 91, 117–127. [Google Scholar] [CrossRef]
- Sadeghi, M.; Kashanian, S.; Naghib, S.M.; Arkan, E. A high-performance electrochemical aptasensor based on graphene-decorated rhodium nanoparticles to detect HER2-ECD oncomarker in liquid biopsy. Sci. Rep. 2022, 12, 3299. [Google Scholar] [CrossRef]
- Parnianchi, F.; Kashanian, S.; Nazari, M.; Peacock, M.; Omidfar, K.; Varmira, K. Ultrasensitive electrochemical sensor based on molecular imprinted polymer and ferromagnetic nanocomposite for bilirubin analysis in the saliva and serum of newborns. Microchem. J. 2022, 179, 107474. [Google Scholar] [CrossRef]
- Rosati, G.; Ravarotto, M.; Scaramuzza, M.; De Toni, A.; Paccagnella, A. Silver nanoparticles inkjet-printed flexible biosensor for rapid label-free antibiotic detection in milk. Sens. Actuators B Chem. 2019, 280, 280–289. [Google Scholar] [CrossRef]
- Bonaldo, S.; Franchin, L.; Pasqualotto, E.; Cretaio, E.; Losasso, C.; Peruzzo, A.; Paccagnella, A. Influence of BSA protein on electrochemical response of genosensors. IEEE Sens. J. 2022. submitted. [Google Scholar]
- Rosati, G.; Urban, M.; Zhao, L.; Yang, Q.; de Carvalho Castro e Silva, C.; Bonaldo, S.; Parolo, C.; Nguyen, E.P.; Ortega, G.; Fornasiero, P.A.; et al. A plug, print & play inkjet printing and impedance-based biosensing technology operating through a smartphone for clinical diagnostics. Biosens. Bioelectron. 2022, 196, 113737. [Google Scholar]
- Senf, B.; Yeo, W.-H.; Kim, J.-H. Recent advances in portable biosensors for biomarker detection in body fluids. Biosensors 2020, 10, 127. [Google Scholar] [CrossRef]
- Liu, F.; Nordin, A.N.; Li, F.; Voiculescu, I. A lab-on-chip cell-based biosensor for label-free sensing of water toxicants. Lab Chip 2014, 14, 1270–1280. [Google Scholar] [CrossRef]
- Chen, C.; Wang, J. Optical biosensors: An exhaustive and comprehensive review. Analyst 2020, 145, 1605–1628. [Google Scholar] [CrossRef]
- Sankiewicz, A.; Romanowicz, L.; Pyc, M.; Hermanowicz, A.; Gorodkiewicz, E. SPR imaging biosensor for the quantitation of fibronectin concentration in blood samples. J. Pharm. Biomed. Anal. 2018, 150, 1–8. [Google Scholar] [CrossRef]
- Hakimian, F.; Ghourchian, H.; Hashemi, A.s.; Arastoo, M.R.; Rad, M.R. Ultrasensitive optical biosensor for detection of miRNA-155 using positively charged Au nanoparticles. Sci. Rep. 2018, 8, 2943. [Google Scholar] [CrossRef]
- Timmer, B.; Olthuis, W.; Van Den Berg, A. Ammonia sensors and their applications—A review. Sens. Actuators B Chem. 2005, 107, 666–677. [Google Scholar] [CrossRef]
- Matindoust, S.; Farzi, A.; Baghaei Nejad, M.; Shahrokh Abadi, M.H.; Zou, Z.; Zheng, L.R. Ammonia gas sensor based on flexible polyaniline films for rapid detection of spoilage in protein-rich foods. J. Mater. Sci. Mater. Electron. 2017, 28, 7760–7768. [Google Scholar] [CrossRef]
- Jayababu, N.; Poloju, M.; Shruthi, J.; Reddy, M.R. Synthesis of ZnO/NiO nanocomposites for the rapid detection of ammonia at room temperature. Mater. Sci. Semicond. Process. 2019, 102, 104591. [Google Scholar] [CrossRef]
- Veltman, T.R.; Tsai, C.J.; Gomez-Ospina, N.; Kanan, M.W.; Chu, G. Point-of-Care analysis of blood ammonia with a gas-phase sensor. ACS Sens. 2020, 5, 2415–2421. [Google Scholar] [CrossRef] [PubMed]
- Brannelly, N.T.; Killard, A.J. An electrochemical sensor device for measuring blood ammonia at the point of care. Talanta 2017, 167, 296–301. [Google Scholar] [CrossRef] [PubMed]
- Pandey, S.; Nanda, K.K. Au nanocomposite based chemiresistive ammonia sensor for health monitoring. ACS Sens. 2016, 1, 55–62. [Google Scholar] [CrossRef]
- Burg, P.V.D.; HW Mook, H.W. A simple and rapid method for the determination of ammonia in blood. Clin. Chim. Acta 1963, 8, 162–164. [Google Scholar] [CrossRef]
- Baker, H.M.; Alzboon, K.F. Spectrophotometric determination of ammonia using ninhydrin assay and kinetic studies. Eur. J. Chem. 2015, 6, 135–140. [Google Scholar] [CrossRef]
- Krug, F.J.; Riliieka, J.; Hansen, E.H. Determination of ammonia in low concentrations with Nessler’s reagent by flow injection analysis. Analyst 1979, 104, 47–54. [Google Scholar] [CrossRef]
- Patton, C.J.; Crouch, S.R. Spectrophotometric and kinetics investigation of the Berthelot reaction for the determination of ammonia. Anal. Chem. 1977, 49, 464–469. [Google Scholar] [CrossRef]
- Ayyub, O.B.; Behrens, A.M.; Heligman, B.T.; Natoli, M.E.; Ayoub, J.J.; Cunningham, G.; Summar, M.; Kofinas, P. Simple and inexpensive quantification of ammonia in whole blood. Mol. Genet. Metab. 2015, 115, 95–100. [Google Scholar] [CrossRef]
- Yimit, A.; Itoh, K.; Murabayashi, M. Detection of ammonia in the ppt range based on a composite optical waveguide pH sensor. Sens. Actuators B Chem. 2003, 88, 239–245. [Google Scholar] [CrossRef]
- Kimble, K.W.; Walker, J.P.; Finegold, D.N.; Asher, A.S. Progress toward the development of a point-of-care photonic crystal ammonia sensor. Anal. Bioanal. Chem. 2006, 385, 678–685. [Google Scholar] [CrossRef]
- Schmidt-Rohr, K.; Chen, Q. Parallel cylindrical water nanochannels in Nafion fuel-cell membranes. Nature Mater. 2008, 7, 75–83. [Google Scholar] [CrossRef]










| Detection Method | Linear Detection Range | LOD | Ref. |
|---|---|---|---|
| Chemiresistive | 2 mM–8 mM | 2 mM | [20] |
| ZnO/NiO nanocomposites | N/A | 58 µM | [21] |
| Gas-phase sensor | 25 µM–100 µM | 4 µM | [22] |
| Impedimetric | 25 µM–200 µM | 12 µM | [23] |
| Ninhydrine reaction | 200 µM–1400 µM | 88 µM | [26] |
| Berthelot’s reaction | 0.1 µM–10 µM | N/A | [28] |
| Solution Composition | NH3 0 µM | NH3 20 µM | NH3 40 µM | NH3 60 µM | NH3 80 µM | NH3 100 µM |
|---|---|---|---|---|---|---|
| NH4Cl 1 mM [μL] | 0 | 2 | 4 | 6 | 8 | 10 |
| H2O [μL] | 100 | 98 | 96 | 94 | 92 | 90 |
| R1 [μL] | 80 | 80 | 80 | 80 | 80 | 80 |
| R2 [μL] | 40 | 40 | 40 | 40 | 40 | 40 |
| Total [μL] | 220 | 220 | 220 | 220 | 220 | 220 |
| Solution Composition | NH3 0 µM | NH3 25 µM | NH3 50 µM | NH3 100 µM | NH3 200 µM | NH3 400 µM | NH3 800 µM |
|---|---|---|---|---|---|---|---|
| NH3 1 mM (μL) | 0 | 2.5 | 5 | 10 | 0 | 0 | 0 |
| NH3 10 mM (μL) | 0 | 0 | 0 | 0 | 2 | 4 | 8 |
| FBS (µL) | 90 | 90 | 90 | 90 | 90 | 90 | 90 |
| H2O (μL) | 10 | 7.5 | 5 | 0 | 8 | 6 | 2 |
| Total (μL) | 100 | 100 | 100 | 100 | 100 | 100 | 100 |
Publisher’s Note: MDPI stays neutral with regard to jurisdictional claims in published maps and institutional affiliations. |
© 2022 by the authors. Licensee MDPI, Basel, Switzerland. This article is an open access article distributed under the terms and conditions of the Creative Commons Attribution (CC BY) license (https://creativecommons.org/licenses/by/4.0/).
Share and Cite
Pasqualotto, E.; Cretaio, E.; Scaramuzza, M.; De Toni, A.; Franchin, L.; Paccagnella, A.; Bonaldo, S. Optical System Based on Nafion Membrane for the Detection of Ammonia in Blood Serum Samples. Biosensors 2022, 12, 1079. https://doi.org/10.3390/bios12121079
Pasqualotto E, Cretaio E, Scaramuzza M, De Toni A, Franchin L, Paccagnella A, Bonaldo S. Optical System Based on Nafion Membrane for the Detection of Ammonia in Blood Serum Samples. Biosensors. 2022; 12(12):1079. https://doi.org/10.3390/bios12121079
Chicago/Turabian StylePasqualotto, Elisabetta, Erica Cretaio, Matteo Scaramuzza, Alessandro De Toni, Lara Franchin, Alessandro Paccagnella, and Stefano Bonaldo. 2022. "Optical System Based on Nafion Membrane for the Detection of Ammonia in Blood Serum Samples" Biosensors 12, no. 12: 1079. https://doi.org/10.3390/bios12121079
APA StylePasqualotto, E., Cretaio, E., Scaramuzza, M., De Toni, A., Franchin, L., Paccagnella, A., & Bonaldo, S. (2022). Optical System Based on Nafion Membrane for the Detection of Ammonia in Blood Serum Samples. Biosensors, 12(12), 1079. https://doi.org/10.3390/bios12121079

