Electrochemical Immunosensing of ST2: A Checkpoint Target in Cancer Diseases
Abstract
1. Introduction
2. Materials and Methods
2.1. Apparatus and Electrodes
2.2. Materials and Reagents
2.3. Preparation of the Magnetic Immunoconjugates and Electrochemical Readout
2.4. Analysis of sST2 in Plasma
3. Results
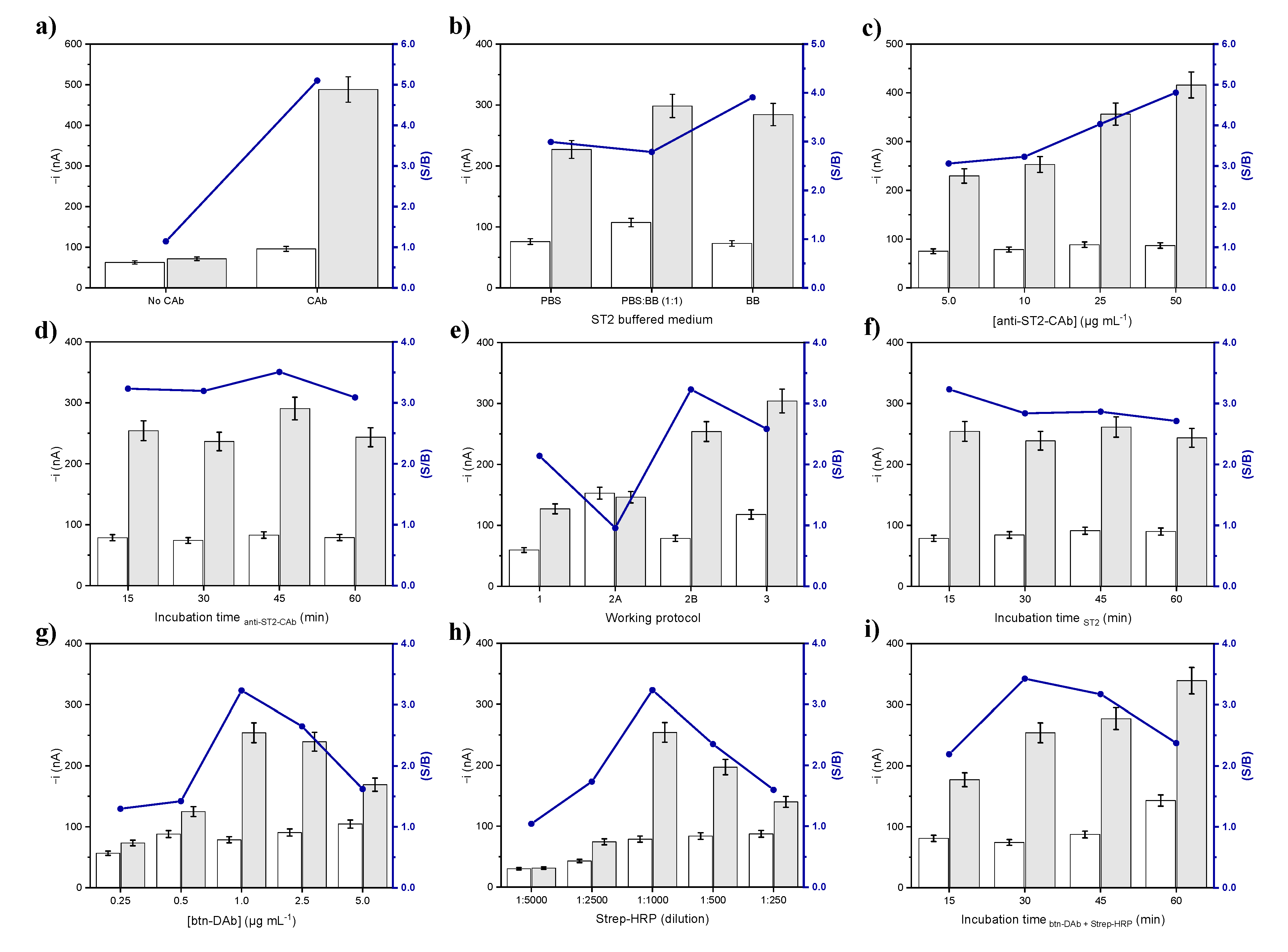
3.1. Optimization of Experimental Variables
3.2. Calibration Curves and Analytical Characteristics of the Immune Platform
3.3. Selectivity of the ST2 Immune Platform
3.4. sST2 determination in Plasma
4. Conclusions
Author Contributions
Funding
Institutional Review Board Statement
Informed Consent Statement
Data Availability Statement
Acknowledgments
Conflicts of Interest
References
- Iwahana, H.; Yanagisawa, K.; Ito-Kosaka, A.; Kuroiwa, K.; Tago, K.; Komatsu, N.; Katashima, R.; Itakura, M.; Tominaga, S.-I. Different promoter usage and multiple transcription initiation sites of the interleukin-1 receptor-related human ST2 gene in ut-7 and tm12 cells. Eur. J. Biochem. 1999, 264, 397–406. [Google Scholar] [CrossRef]
- Rehman, S.U.; Mueller, T.; Januzzi, J.L. Characteristics of the novel Interleukin family biomarker ST2 in patients with acute heart failure. J. Am. Coll. Cardiol. 2008, 52, 1458–6145. [Google Scholar] [CrossRef] [PubMed]
- Dieplinger, B.; Januzzi, J.L., Jr.; Steinmair, M.; Gabriel, C.; Poelz, W.; Haltmayer, M.; Mueller, T. Analytical and clinical evaluation of a novel high-sensitivity assay for measurement of soluble ST2 in human plasma—The Presage™ ST2 assay. Clin. Chim. Acta 2009, 409, 33–40. [Google Scholar] [CrossRef] [PubMed]
- Konukoglu, D. Is soluble ST2 a new marker in heart failure? Int. J. Med. Biochem. 2018, 1, 44–51. [Google Scholar] [CrossRef][Green Version]
- McCarthy, C.P.; Januzzi, J.L., Jr. Soluble ST2 in heart failure. Heart Fail. Clin. 2018, 14, 41–48. [Google Scholar] [CrossRef] [PubMed]
- Kikuchi, M.; Takase, K.; Hayakawa, M.; Hayakawa, H.; Tominaga, S.; Ohmori, T. Altered behavior in mice overexpressing soluble ST2. Mol. Brain 2020, 13, 74. [Google Scholar] [CrossRef]
- Gül, İ.; Yücel, O.; Zararsız, A.; Demirpençe, Ö.; Yücel, H.; Zorlu, A.; Yılmaz, M.B. Prognostic role of soluble suppression of tumorigenicity-2 on cardiovascular mortality in outpatients with heart failure. Anatol. J. Cardiol. 2017, 18, 200–205. [Google Scholar] [CrossRef]
- Bahuleyan, C.G.; Alummoottil, G.K.; Abdullakutty, J.; Lorsdson, A.J.; Babu, S.; Krishnakumar, V.V.; Pillai, A.M.; Abraham, G.; Dilipb, M.N. Prognostic value of soluble ST2 biomarker in heart failure patients with reduced ejection fraction—A multicenter study. Indian Heart J. 2018, 70S, S79–S84. [Google Scholar] [CrossRef]
- Bai, J.; Han, L.; Liu, H. Combined use of high-sensitivity ST2 and NT-proBNP for predicting major adverse cardiovascular events in coronary heart failure. Ann. Palliat. Med. 2020, 9, 1976–1989. [Google Scholar] [CrossRef] [PubMed]
- An, M.; Zhu, Y.; Xu, C.; Li, Y.; Pang, N.; Zhao, X.; Li, Z.; Wang, H.; Zhang, F.; Ding, J. Soluble ST2 (sST2) as potential marker for hepatic cystic echinococcosis activity. J. Infect. 2020, 80, 462–468. [Google Scholar] [CrossRef]
- Filali, Y.; Kesäniemi, Y.A.; Ukkola, O. Soluble ST2, a biomarker of fibrosis, is associated with multiple risk factors, chronic diseases and total mortality in the OPERA study. Scand. J. Clin. Lab. Investig. 2021, 1–8. [Google Scholar] [CrossRef]
- Zong, X.; Fan, Q.; Zhang, H.; Yang, Q.; Xie, H.; Chen, Q.; Zhang, R.; Tao, R. Soluble ST2 levels for predicting the presence and severity of metabolic syndrome. Endocr. Connect. 2021, 10, 336–344. [Google Scholar] [CrossRef]
- Zhang, Y.; Davis, C.; Shah, S.; Hughes, D.; Ryan, J.C.; Altomare, D.; Pena, M.M. IL-33 promotes growth and liver metastasis of colorectal cancer in mice by remodeling the tumor microenvironment and inducing angiogenesis. Mol. Carcinog. 2017, 56, 272–287. [Google Scholar] [CrossRef] [PubMed]
- Jovanovic, I.; Radosavljevic, G.; Mitrovic, M.; Juranic, V.L.; McKenzie, A.N.; Arsenijevic, N.; Jonjic, S.; Lukic, M.L. ST2 deletion enhances innate and acquired immunity to murine mammary carcinoma. Eur. J. Immunol. 2011, 41, 1902–1912. [Google Scholar] [CrossRef]
- Fang, M.; Li, Y.; Huang, K.; Qi, S.; Zhang, J.; Zgodzinski, W.; Majewski, M.; Wallner, G.; Gozdz, S.; Macek, P.; et al. IL33 Promotes colon cancer cell stemness via JNK activation and macrophage recruitment. Cancer Res. 2017, 77, 2735–2745. [Google Scholar] [CrossRef] [PubMed]
- Yoshida, K.; Arai, T.; Yokota, T.; Komatsu, N.; Miura, Y.; Yanagisawa, K.; Tetsuka, T.; Tominaga, S. Studies on natural ST2 gene products in the human leukemic cell line UT-7 using monoclonal antihuman ST2 antibodies. Hybridoma 1995, 14, 419–427. [Google Scholar] [CrossRef]
- Larsen, K.M.; Minaya, M.K.; Vaish, V.; Peña, M.M.O. The role of IL-33/ST2 pathway in tumorigenesis. Int. J. Mol. Sci. 2018, 19, 2676. [Google Scholar] [CrossRef] [PubMed]
- Van der Jeught, K.; Sun, Y.; Fang, Y.; Zhou, Z.; Jiang, H.; Yu, T.; Yang, J.; Kamocka, M.M.; So, K.M.; Li, Y.; et al. ST2 as checkpoint target for colorectal cancer immunotherapy. JCI Insight 2020, 5, e136073. [Google Scholar] [CrossRef]
- Kieler, M.; Unseld, M.; Wojta, J.; Kaider, A.; Bianconi, D.; Demyanets, S.; Prager, G.W. Plasma levels of interleukin-33 and soluble suppression of tumorigenicity 2 in patients with advanced pancreatic ductal adenocarcinoma undergoing systemic chemotherapy. Med. Oncol. 2019, 36, 1. [Google Scholar] [CrossRef]
- Ouziel, R.; Gustot, T.; Moreno, C.; Arvanitakis, M.; Degré, D.; Trépo, E.; Quertinmont, E.; Vercruysse, V.; Demetter, P.; Le Moine, O.; et al. The ST2 pathway is involved in acute pancreatitis. A translational study in humans and mice. Am. J. Pathol. 2012, 180, 2330–2339. [Google Scholar] [CrossRef]
- Mueller, T.; Jaffe, A.S. Soluble ST2-analytical considerations. Am. J. Cardiol. 2015, 115, 8B–21B. [Google Scholar] [CrossRef]
- Crapnell, R.D.; Canfarotta, F.; Czulak, J.; Johnson, R.; Betlem, K.; Mecozzi, F.; Down, M.P.; Eersels, K.; van Grinsven, B.; Cleij, T.J.; et al. Thermal detection of cardiac biomarkers heart-fatty acid binding protein and ST2 using a molecularly imprinted nanoparticle-based multiplex sensor platform. ACS Sens. 2019, 4, 2838–2845. [Google Scholar] [CrossRef] [PubMed]
- Demirbakan, B.; Sezgintürk, M.K. An impedimetric biosensor system based on disposable graphite paper electrodes: Detection of ST2 as a potential biomarker for cardiovascular disease in human serum. Anal. Chim. Acta 2021, 1144, 43–52. [Google Scholar] [CrossRef] [PubMed]
- Munoz-San Martin, C.; Gamella, M.; Pedrero, M.; Montero-Calle, A.; Barderas, R.; Campuzano, S.; Pingarrón, J.M. Magnetic beads-based electrochemical immunosensing of HIF-1α, a biomarker of tumoral hypoxia. Sens. Actuators B 2020, 307, 127623. [Google Scholar] [CrossRef]
- Eguílaz, M.; Moreno-Guzmán, M.; Campuzano, S.; González-Cortés, A.; Yáñez-Sedeño, P.; Pingarrón, J.M. An electrochemical immunosensor for testosterone using functionalized magnetic beads and screen-printed carbon electrodes. Biosens. Bioelectron. 2010, 26, 517–522. [Google Scholar] [CrossRef]
- Conzuelo, F.; Gamella, M.; Campuzano, S.; Pinacho, D.G.; Reviejo, A.J.; Marco, M.P.; Pingarrón, J.M. Disposable and integrated amperometric immunosensor for direct determination of sulfonamide antibiotics in milk. Biosens. Bioelectron. 2012, 36, 81–88. [Google Scholar] [CrossRef]
- Schomberg, D.; Salzmann, M.; Stephan, D. Enzyme Handbook; Springer: Berlin/Heidelberg, Germany, 1993; Volume 7, pp. 1–6. [Google Scholar]
- Lu, J.; Snider, J.V.; Grenache, D.G. Establishment of reference intervals for soluble ST2 from a United States population. Clin. Chim. Acta 2010, 411, 1825–1826. [Google Scholar] [CrossRef] [PubMed]
- Coglianese, E.E.; Larson, M.G.; Vasan, R.S.; Ho, J.E.; Ghorbani, A.; McCabe, E.L.; Cheng, S.; Fradley, M.G.; Kretschman, D.; Gao, W.; et al. Distribution and clinical correlates of the interleukin receptor family member soluble ST2 in the Framingham heart study. Clin. Chem. 2012, 58, 1673–1681. [Google Scholar] [CrossRef]
- Hartopo, A.B.; Sukmasari, I.; Puspitawati, I. The utility of point of care test for soluble ST2 in predicting adverse cardiac events during acute care of ST-segment elevation myocardial infarction. Cardiol. Res. Pract. 2018, 2018, 3048941. [Google Scholar] [CrossRef]
- Dieplinger, B.; Egger, M.; Gegenhuber, A.; Haltmayer, M.; Mueller, T. Analytical and clinical evaluation of a rapid quantitative lateral flow immunoassay for measurement of soluble ST2 in human plasma. Clin. Chim. Acta 2015, 451, 310–315. [Google Scholar] [CrossRef][Green Version]
- Melanson, S.E.F.; Tanasijevic, M.J.; Jarolim, P. Cardiac troponin assays: A view from the clinical chemistry laboratory. Circulation 2007, 116, e501–e504. [Google Scholar] [CrossRef] [PubMed]
- Zhao, R.N.; Feng, Z.; Zhao, Y.N.; Jia, L.P.; Ma, R.-N.; Zhang, W.; Shan, L.; Xue, Q.W.; Wang, H.-S. A sensitive electrochemical aptasensor for Mucin 1 detection based on catalytic hairpin assembly coupled with PtPdNPs peroxidase-like activity. Talanta 2019, 200, 503–510. [Google Scholar] [CrossRef] [PubMed]
- Padelli, M.; Labouret, T.; Labarre, M.; Le Reun, E.; Rouillé, A.; Kerspern, H.; Capaldo, C.; Chauvet, J.; Plée-Gautier, E.; Carré, J.L.; et al. Systematic overestimation of human serum albumin by capillary zone electrophoresis method due to monoclonal immunoglobulin interferences. Clin. Chim. Acta 2019, 491, 74–80. [Google Scholar] [CrossRef] [PubMed]






| Variable | Tested Range | Selected Value |
|---|---|---|
| ST2 standard buffered medium | PBS; PBS:BB; BB | BB |
| [anti-ST2-CAb] (µg mL–1) | 0.0–50 | 10 |
| Incubation time anti-ST2 CAb (min) | 15–60 | 15 |
| Number of steps for the assay | 1–3 | 2 |
| Incubation time ST2 (min) | 15–60 | 15 |
| [btn-DAb] (µg mL–1) | 0.25–5.0 | 1.0 |
| Strep-HRP dilution | 1:250–1:5000 | 1:1000 |
| Incubation time btn-DAb + Strep-HRP (min) | 15–60 | 30 |
| Subjects | Sample | Immune Platform | ELISA | texp | ttab | ||
|---|---|---|---|---|---|---|---|
| [sST2] 1 | RSDn = 3, % | [sST2] 1 | RSDn = 3, % | ||||
| Healthy individuals | 1 | (5.5 ± 0.8) | 6.1 | (5 ± 1) | 9.3 | 0.009 | 2.776 |
| 2 | (4.7 ± 0.2) | 1.3 | (4.4 ± 0.7) | 6.8 | 1.519 | ||
| 3 | (15 ± 1) | 3.6 | (15 ± 2) | 6.3 | 0.016 | ||
| 4 | (3.1 ± 0.6) | 7.7 | (2.6 ± 0.5) | 7.9 | 2.518 | ||
| 5 | (10.8 ± 0.7) | 2.5 | (10 ± 2) | 6.6 | 1.752 | ||
| 6 | (8 ± 1) | 6.0 | (8 ± 4) | 9.8 | 0.680 | ||
| PDAC patients | 7 | (168 ± 6) | 1.3 | (166 ± 28) | 3.9 | 0.468 | |
| 8 | (22 ± 2) | 3.6 | (20 ± 4) | 4.5 | 2.515 | ||
| 9 | (164 ± 18) | 4.4 | (160 ± 12) | 1.7 | 0.933 | ||
| 10 | (83 ± 6) | 3.2 | (83 ± 15) | 4.3 | 0.098 | ||
| 11 | (22 ± 4) | 8.1 | (25 ± 7) | 6.9 | 1.767 | ||
Publisher’s Note: MDPI stays neutral with regard to jurisdictional claims in published maps and institutional affiliations. |
© 2021 by the authors. Licensee MDPI, Basel, Switzerland. This article is an open access article distributed under the terms and conditions of the Creative Commons Attribution (CC BY) license (https://creativecommons.org/licenses/by/4.0/).
Share and Cite
Torrente-Rodríguez, R.M.; Martín, C.M.-S.; Gamella, M.; Pedrero, M.; Martínez-Bosch, N.; Navarro, P.; García de Frutos, P.; Pingarrón, J.M.; Campuzano, S. Electrochemical Immunosensing of ST2: A Checkpoint Target in Cancer Diseases. Biosensors 2021, 11, 202. https://doi.org/10.3390/bios11060202
Torrente-Rodríguez RM, Martín CM-S, Gamella M, Pedrero M, Martínez-Bosch N, Navarro P, García de Frutos P, Pingarrón JM, Campuzano S. Electrochemical Immunosensing of ST2: A Checkpoint Target in Cancer Diseases. Biosensors. 2021; 11(6):202. https://doi.org/10.3390/bios11060202
Chicago/Turabian StyleTorrente-Rodríguez, Rebeca M., Cristina Muñoz-San Martín, Maria Gamella, María Pedrero, Neus Martínez-Bosch, Pilar Navarro, Pablo García de Frutos, José M. Pingarrón, and Susana Campuzano. 2021. "Electrochemical Immunosensing of ST2: A Checkpoint Target in Cancer Diseases" Biosensors 11, no. 6: 202. https://doi.org/10.3390/bios11060202
APA StyleTorrente-Rodríguez, R. M., Martín, C. M.-S., Gamella, M., Pedrero, M., Martínez-Bosch, N., Navarro, P., García de Frutos, P., Pingarrón, J. M., & Campuzano, S. (2021). Electrochemical Immunosensing of ST2: A Checkpoint Target in Cancer Diseases. Biosensors, 11(6), 202. https://doi.org/10.3390/bios11060202

