High Sensitivity Terahertz Biosensor Based on Mode Coupling of a Graphene/Bragg Reflector Hybrid Structure
Abstract
:1. Introduction
2. Materials and Methods
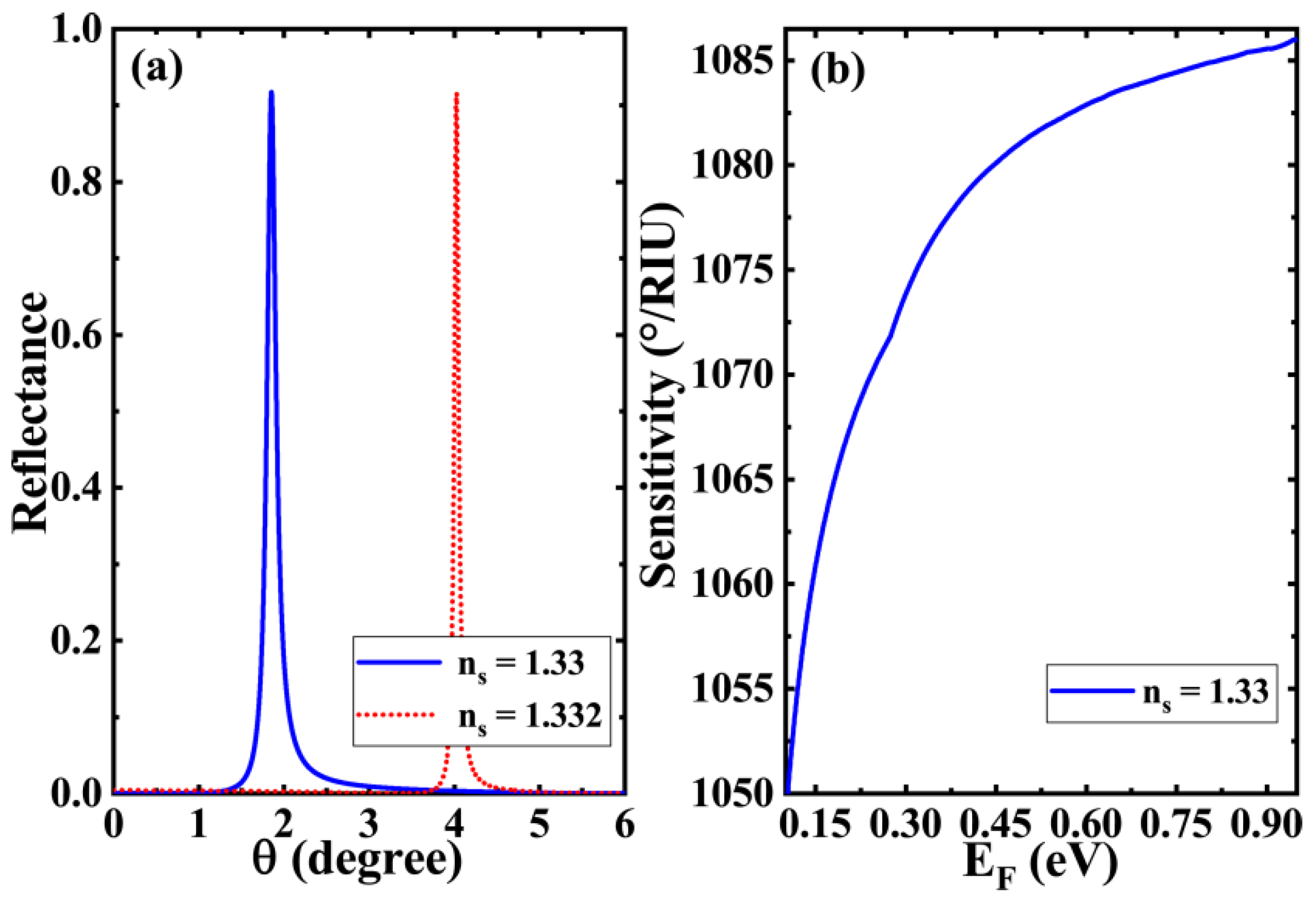
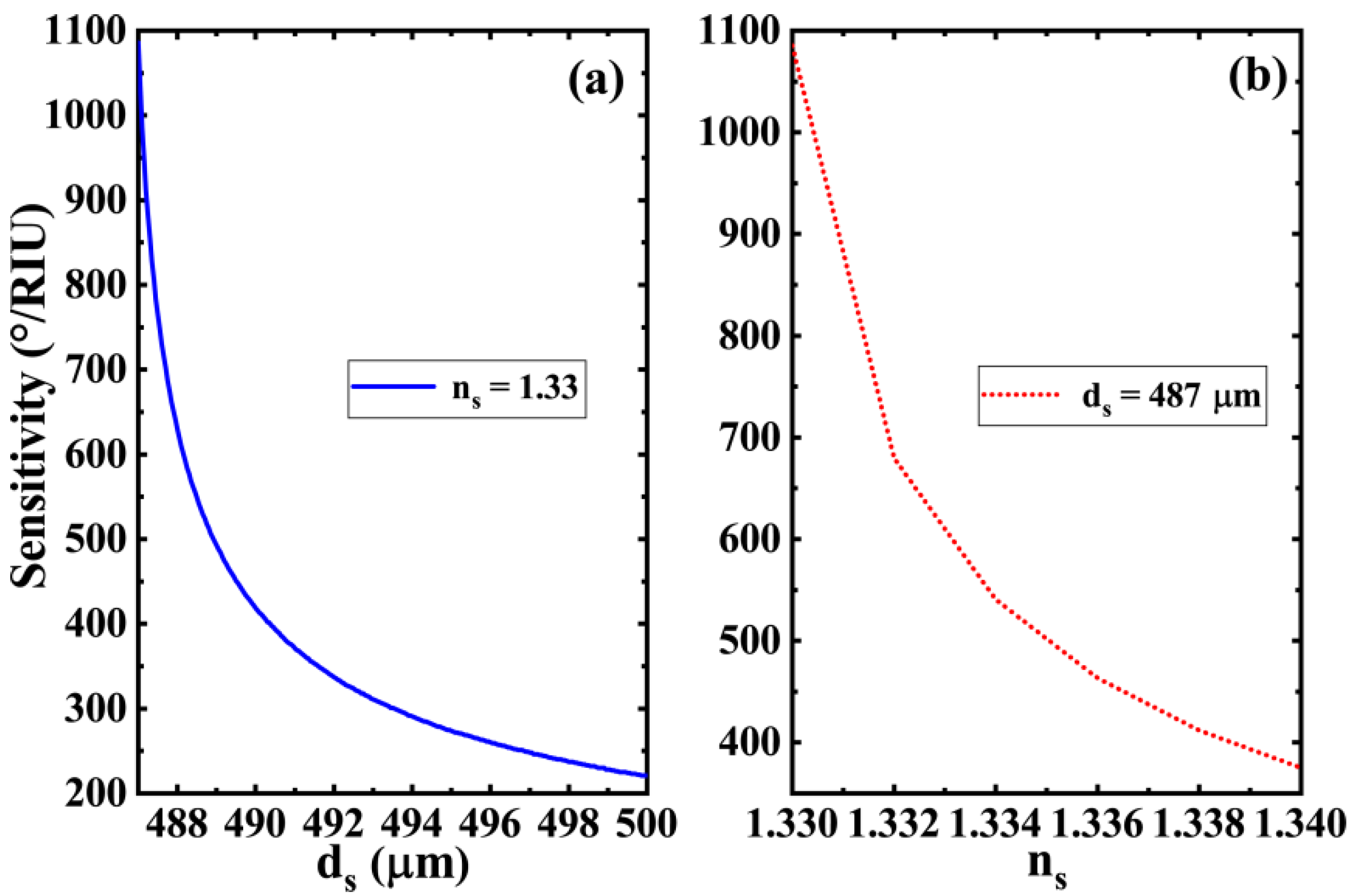
3. Results and Discussion
4. Conclusions
Author Contributions
Funding
Institutional Review Board Statement
Informed Consent Statement
Conflicts of Interest
References
- Buerk, D.G. Biosensors: Theory and Applications; CRC Press: Boca Raton, FL, USA, 1995; p. 187. ISBN 0-87762-975-7. [Google Scholar]
- Fan, X.D.; White, I.M.; Shopova, S.I.; Zhu, H.Y.; Suter, J.D.; Sun, Y.Z. Sensitive optical biosensors for unlabeled targets: A review. Anal. Chim. Acta 2008, 620, 8–26. [Google Scholar] [CrossRef]
- Yang, Y.P.; Xu, D.Q.; Zhang, W.L. High-sensitivity and label-free identification of a transgenic genome using a terahertz meta-biosensor. Opt. Express 2018, 26, 31589–31598. [Google Scholar] [CrossRef]
- Lin, T.J.; Chung, M.F. Detection of cadmium by a fiber-optic biosensor based on localized surface plasmon resonance. Biosens. Bioelectron. 2009, 24, 1213–1218. [Google Scholar] [CrossRef]
- Singh, V.V.; Gupta, G.; Batra, A.; Nigam, A.K.; Boopathi, M.; Gutch, P.K.; Tripathi, B.K.; Srivastava, A.; Samuel, M.; Agarwal, G.S.; et al. Greener Electrochemical Synthesis of High Quality Graphene Nanosheets Directly from Pencil and its SPR Sensing Application. Adv. Funct. Mater. 2012, 22, 2352–2362. [Google Scholar] [CrossRef]
- Verma, R.; Gupta, B.D. Fiber optic SPR sensor for the detection of 3-pyridinecarboxamide (vitamin B3) using molecularly imprinted hydrogel. Sensor. Actuators B Chem. 2013, 177, 279–285. [Google Scholar] [CrossRef]
- Zhang, N.M.Y.; Li, K.W.; Shum, P.P.; Yu, X.C.; Zeng, S.W.; Wu, Z.F.; Wang, J.Q.; Yong, K.T.; Wei, L. Hybrid Graphene/Gold Plasmonic Fiber-Optic Biosensor. Adv. Mater. Technol. 2017, 2, 1600185. [Google Scholar] [CrossRef]
- Konopsky, V.N.; Karakouz, T.; Alieva, E.V.; Vicario, C.; Sekatskii, S.K.; Dietler, G. Photonic Crystal Biosensor Based on Optical Surface Waves. Opt. Express 2013, 13, 2566–2578. [Google Scholar] [CrossRef] [PubMed] [Green Version]
- Farrera, C.; Andón, F.T.; Feliu, N. Carbon Nanotubes as Optical Sensors in Biomedicine. ACS Nano 2017, 11, 10637–10643. [Google Scholar] [CrossRef] [PubMed]
- Lo, S.M.; Hu, S.; Gaur, G.; Kostoulas, Y.; Weiss, S.M.; Fauchet, P.M. Photonic crystal microring resonator for label-free biosensing. Opt. Express 2017, 25, 7046–7054. [Google Scholar] [CrossRef]
- Wang, Y.L.; Han, Z.H.; Du, Y.; Qin, J.Y. Ultrasensitive terahertz sensing with high-Q toroidal dipole resonance governed by bound states in the continuum in all-dielectric metasurface. Nanophotonics 2021, 10, 1295–1307. [Google Scholar] [CrossRef]
- Ahmadivand, A.; Gerislioglu, B.; Ahuja, R.; Mishra, Y.K. Terahertz plasmonics: The rise of toroidal metadevices towards immunobiosensings. Mater. Today 2020, 32, 108–130. [Google Scholar] [CrossRef]
- Homola, J.; Yee, S.S.; Gauglitz, G. Surface plasmon resonance sensors: Review. Sens. Actuators B Chem. 1999, 54, 3–15. [Google Scholar] [CrossRef]
- Wu, L.M.; Guo, J.; Xu, H.L.; Dai, X.Y.; Xiang, Y.J. Ultrasensitive biosensors based on long-range surface plasmon polariton and dielectric waveguide modes. Photon. Res. 2016, 4, 262–266. [Google Scholar] [CrossRef]
- Fouad, S.; Sabri, N.; Jamal, Z.A.Z.; Poopalan, P. Enhanced Sensitivity of Surface Plasmon Resonance Sensor Based on Bilayers of Silver-Barium Titanate. J. Nano Electron. Phys. 2016, 8, 04085. [Google Scholar] [CrossRef]
- Zhao, Y.T.; Gan, S.W.; Wu, L.M.; Zhu, J.Q.; Xiang, Y.J.; Dai, X.Y. GeSe nanosheets modified surface plasmon resonance sensors for enhancing sensitivity. Nanophotonics 2020, 9, 327–336. [Google Scholar] [CrossRef] [Green Version]
- Dai, X.Y.; Chen, H.; Qiu, C.Y.; Wu, L.M.; Xiang, Y.J. Ultrasensitive Multiple Guided-Mode Biosensor with Few-Layer Black Phosphorus. J. Lightwave Technol. 2019, 38, 1564–1571. [Google Scholar] [CrossRef]
- Wu, L.; You, Q.; Shan, Y.; Gan, S.; Zhao, Y.; Dai, X.; Xiang, Y. Few-layer Ti3C2Tx MXene: A promising surface plasmon resonance biosensing material to enhance the sensitivity. Sens. Actuators B. 2018, 277, 210–215. [Google Scholar] [CrossRef]
- Ouyang, Q.L.; Zeng, S.W.; Jiang, L.; Hong, L.Y.; Xu, G.X.; Dinh, X.-Q.Y.; Qian, J.; He, S.L.; Qu, J.L.; Coquet, P.; et al. Sensitivity Enhancement of Transition Metal Dichalcogenides/Silicon Nanostructure-based Surface Plasmon Resonance Biosensor. Sci. Rep. 2016, 6, 28190. [Google Scholar] [CrossRef] [PubMed]
- Lu, G.H.; Yu, K.H.; Wen, Z.H.; Chen, J.H. Semiconducting graphene: Converting graphene from semimetal to semiconductor. Nanoscale 2013, 5, 1353–1368. [Google Scholar] [CrossRef] [PubMed]
- Mikhailov, S.A.; Ziegler, K. New Electromagnetic Mode in Graphene. Phys. Rev. Lett. 2007, 99, 016803. [Google Scholar] [CrossRef] [PubMed] [Green Version]
- Bonaccorso, F.; Sun, Z.; Hasan, T.; Ferrari, A.C. Graphene photonics and optoelectronics. Nat. Photonics 2010, 4, 611–622. [Google Scholar] [CrossRef] [Green Version]
- Li, Z.Q.; Henriksen, E.A.; Jiang, Z.; Hao, Z.; Martin, M.C.; Kim, P.; Stormer, H.L.; Basov, D.N. Dirac charge dynamics in graphene by infrared spectroscopy. Nat. Phys. 2008, 4, 532–535. [Google Scholar] [CrossRef] [Green Version]
- Wu, L.; Chu, H.S.; Koh, W.S.; Li, E.P. Highly sensitive graphene biosensors based on surface plasmon resonance. Opt. Exp. 2010, 18, 14395–14400. [Google Scholar] [CrossRef] [PubMed]
- Sreekanth, K.V.; Zeng, S.; Yong, K.T.; Yu, T. Sensitivity enhanced biosensor using graphene-based one-dimensional photonic crystal. Sens. Actuators B Chem. 2013, 182, 424–428. [Google Scholar] [CrossRef]
- Zeng, S.; Hu, S.; Xia, J.; Anderson, T.; Dinh, X.Q.T.; Meng, X.N.; Coquet, P.; Yong, K.T. Graphene–MoS2 hybrid nanostructures enhanced surface plasmon resonance biosensors. Sens. Actuators B Chem. 2015, 207, 801–810. [Google Scholar] [CrossRef]
- Kavokin, A.V.; Shelykh, I.A.; Malpuech, G. Lossless interface modes at the boundary between two periodic dielectric structures. Phys. Rev. B 2005, 72, 233102. [Google Scholar] [CrossRef] [Green Version]
- Kaliteevski, M.; Iorsh, I.; Brand, S.; Abram, R.A.; Chamberlain, J.M.; Kavokin, A.V.; Shelykh, I.A. Tamm plasmon-polaritons: Possible electromagnetic states at the interface of a metal and a dielectric Bragg mirror. Phys. Rev. B 2007, 76, 165415. [Google Scholar] [CrossRef] [Green Version]
- Jiang, Y.; Zhang, W.L.; Zhu, Y.Y. Optical Tamm state theory study on asymmetric DBR-metal-DBR structure. Acta Phys. Sin. 2013, 62, 167303. [Google Scholar]
- Maji, P.S.; Shukla, M.K.; Das, R. Blood component detection based on miniaturized self-referenced hybrid Tamm-plasmon-polariton sensor. Sens. Actuators B 2018, 255, 729–734. [Google Scholar] [CrossRef]
- Ahmed, A.M.; Mehaney, A. Novel design of wide temperature ranges sensor based on Tamm state in a pyroelectric photonic crystal with high sensitivity. Phys. E Low Dimens. Syst. Nanostruct. 2021, 125, 114387. [Google Scholar] [CrossRef]
- Tang, J.; Ye, Y.Y.; Xu, J.; Zheng, Z.W.; Jin, X.L.; Jiang, L.Y.; Jiang, J.; Xiang, Y.J. High sensitivity terahertz biosensor based on optical Tamm states with graphene. Nanomaterials 2020, 10, 500. [Google Scholar] [CrossRef] [PubMed] [Green Version]
- Ruan, B.X.; Guo, J.; Wu, L.M.; Zhu, J.Q.; You, Q.; Dai, X.Y.; Xiang, Y.J. Ultrasensitive Terahertz Biosensors Based on Fano Resonance of a Graphene/Waveguide Hybrid Structure. Sensors 2017, 17, 1924. [Google Scholar] [CrossRef] [PubMed]
- Li, N.; Tang, T.; Li, J.; Luo, L.; Sun, P.; Yao, J. Highly sensitive sensors of fluid detection based on magneto-optical optical Tamm state. Sens. Actuators B 2018, 265, 644–651. [Google Scholar] [CrossRef]
- Kim, D.S.; Kim, D.h.; Hwang, S.; Jang, J.H. Broadband terahertz absorber realized by self-assembled multilayer glass spheres. Opt. Exp. 2012, 20, 13566. [Google Scholar] [CrossRef]
- Treshin, I.V.; Klimo, V.V. Optical Tamm state and extraordinary light transmission through a nanoaperture. Phys. Rev. A 2013, 88, 023832. [Google Scholar] [CrossRef] [Green Version]
- Jiang, L.Y.; Tang, J.; Xu, J.; Zheng, Z.W.; Dong, J.; Guo, J.; Qian, S.Y.; Dai, X.Y.; Xiang, Y.J. Graphene Tamm plasmon-induced low-threshold optical bistability at terahertz frequencies. Opt. Mater. Express 2019, 9, 139–150. [Google Scholar] [CrossRef]
- Federici, J.; Moeller, L. Transfer matrix method for optics in graphene layers. J. Phys. Condens Mat. 2013, 25, 215301. [Google Scholar]
- Maharana, P.K.; Jha, R.; Palei, S. Sensitivity enhancement by air mediated graphene multilayer based surface plasmon resonance biosensor for near infrared. Sens. Actuators B Chem. 2014, 190, 494–501. [Google Scholar] [CrossRef]
- Guo, J.; Jiang, L.Y.; Dai, X.Y.; Xiang, Y.J. Tunable Fano resonances of a graphene/waveguide hybrid structure at mid-infrared wavelength. Opt. Express 2016, 24, 4740–4748. [Google Scholar] [CrossRef]
- Ye, Y.Y.; Xie, M.Z.; Tang, J.; Ouyang, J.X. Highly sensitive and tunable terahertz biosensor based on optical Tamm states in graphene-based Bragg reflector. Results Phys. 2019, 15, 102779. [Google Scholar] [CrossRef]
- Baghbadorani, H.K.; Barvestani, J.; Entezar, S.R. Biosensors based on Bloch surface waves in one-dimensional photonic crystal with graphene nanolayers. Appl. Opt. 2017, 58, 462–469. [Google Scholar] [CrossRef] [PubMed]
- Cai, D.; Lu, Y.; Lin, K.; Wang, P.; Ming, H. Improving the sensitivity of SPR sensors based on gratings by double-dips method (DDM). Opt. Express 2008, 16, 14597–14602. [Google Scholar] [CrossRef] [PubMed]
- Purkayastha, A.; Srivastava, T.; Jha, R. Ultrasensitive THz-Plasmonics gaseous sensor using doped graphene. Sens. Actuators B Chem. 2016, 227, 291–295. [Google Scholar] [CrossRef]
- Wu, C.; Liu, X.; Feng, S.; Chen, X.; Li, C.B.; Wang, Y.Q. High-sensitivity silicon-based photonic crystal refractive index biosensor based on defect-mode coupling. Opt. Commun. 2018, 427, 409–417. [Google Scholar] [CrossRef]
- Xiang, Y.J.; Zhu, J.Q.; Wu, L.M.; You, Q.; Ruan, B.X.; Dai, X.Y. Highly Sensitive Terahertz Gas Sensor Based on Surface Plasmon Resonance With Graphene. IEEE Photon. J. 2018, 10, 6800507. [Google Scholar] [CrossRef]






| Ref. | Mechanism | Structure | Sensitivity | FOM (RIU−1) | Frequency Range | 
|---|---|---|---|---|---|
| [32] | OTSs sensor | Graphene-Bragg reflector structure | 400 º/RIU | 60 | THz | 
| [33] | Mode coupling sensor | Otto structure | 3260 RIU−1 | / | THz | 
| [41] | OTSs sensor | Bragg reflector-Graphene structure | 517.9 º/RIU | 222.9 | THz | 
| [42] | Bloch surface wave sensor | Prism-photonic crystal structure | 117 º/RIU | 283 | THz | 
| [43] | SPR sensor | Grating structure | 237 º/RIU | 95 | Near Infrared | 
| [44] | SPR sensor | Otto structure | 34.11 º/RIU | 1150 | THz | 
| [45] | Defect-mode coupling sensor | Bragg reflector structure (with defect layer) | 810 nm/RIU | 9679 | Near Infrared | 
| This work | Mode coupling sensor | Graphene-Bragg reflector structure (with defect layer) | 1085 º/RIU | 8482 | THz | 
| Publisher’s Note: MDPI stays neutral with regard to jurisdictional claims in published maps and institutional affiliations. | 
© 2021 by the authors. Licensee MDPI, Basel, Switzerland. This article is an open access article distributed under the terms and conditions of the Creative Commons Attribution (CC BY) license (https://creativecommons.org/licenses/by/4.0/).
Share and Cite
Liu, Y.; Zheng, Q.; Yuan, H.; Wang, S.; Yin, K.; Dai, X.; Zou, X.; Jiang, L. High Sensitivity Terahertz Biosensor Based on Mode Coupling of a Graphene/Bragg Reflector Hybrid Structure. Biosensors 2021, 11, 377. https://doi.org/10.3390/bios11100377
Liu Y, Zheng Q, Yuan H, Wang S, Yin K, Dai X, Zou X, Jiang L. High Sensitivity Terahertz Biosensor Based on Mode Coupling of a Graphene/Bragg Reflector Hybrid Structure. Biosensors. 2021; 11(10):377. https://doi.org/10.3390/bios11100377
Chicago/Turabian StyleLiu, Yamei, Qiwen Zheng, Hongxia Yuan, Shenping Wang, Keqiang Yin, Xiaoyu Dai, Xiao Zou, and Leyong Jiang. 2021. "High Sensitivity Terahertz Biosensor Based on Mode Coupling of a Graphene/Bragg Reflector Hybrid Structure" Biosensors 11, no. 10: 377. https://doi.org/10.3390/bios11100377
APA StyleLiu, Y., Zheng, Q., Yuan, H., Wang, S., Yin, K., Dai, X., Zou, X., & Jiang, L. (2021). High Sensitivity Terahertz Biosensor Based on Mode Coupling of a Graphene/Bragg Reflector Hybrid Structure. Biosensors, 11(10), 377. https://doi.org/10.3390/bios11100377
 
        



 
       