Correlation Between Composition and Electrodynamics Properties in Nanocomposites Based on Hard/Soft Ferrimagnetics with Strong Exchange Coupling
Abstract
1. Introduction
2. Materials and Methods
3. Results and Discussion
3.1. Crystal Structure and Microstructure
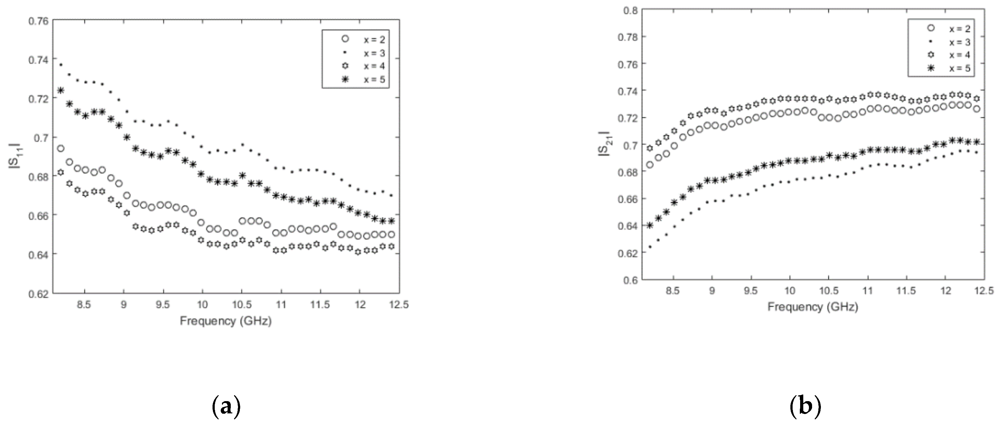
3.2. Electrodynamic Properties
4. Conclusions
Author Contributions
Funding
Acknowledgments
Conflicts of Interest
References
- Tokunaga, Y.; Kaneko, Y.; Okuyama, D.; Ishiwata, S.; Arima, T.; Wakimoto, S.; Kakurai, K.; Taguchi, Y.; Tokura, Y. Multiferroic M-Type Hexaferrites with a Room-Temperature Conical State and Magnetically Controllable Spin Helicity. Phys. Rev. Lett. 2010, 105, 257201. [Google Scholar] [CrossRef] [PubMed]
- Lin, Q.; Xu, J.; Yang, F.; Lin, J.; Yang, H.; He, Y. Magnetic and Mössbauer Spectroscopy Studies of Zinc-Substituted Cobalt Ferrites Prepared by the Sol-Gel Method. Materials 2018, 11, 1799. [Google Scholar] [CrossRef] [PubMed]
- Kumar, A.; Agarwala, V.; Singh, D. Effect of particle size of BaFe12O19 on the microwave absorption characterıstıcs in X-band. Prog. Electromagn. Res. 2013, M29, 223–236. [Google Scholar] [CrossRef]
- Yajima, T. Titanium Pnictide Oxide Superconductors. Condens. Matter 2017, 2, 4. [Google Scholar] [CrossRef]
- Demokritov, S.O.; Demidov, V.E.; Dzyapko, O.; Melkov, G.A.; Serga, A.A.; Hillebrands, B.; Slavin, A.N. Bose–Einstein condensation of quasi-equilibrium magnons at room temperature under pumping. Nature 2006, 443, 430–433. [Google Scholar] [CrossRef] [PubMed]
- Kostishyn, V.G.; Panina, L.V.; Timofeev, А.V.; Kozhitov, L.V.; Kovalev, A.N.; Zyuzin, A.K. Dual ferroic properties of hexagonal ferrite ceramics BaFe12O19 and SrFe12O19. J. Magn. Magn. Mater. 2016, 400, 327–332. [Google Scholar] [CrossRef]
- Trukhanov, S.V.; Trukhanov, A.V.; Kostishin, V.G.; Panina, L.V.; Kazakevich, I.S.; Turchenko, V.A.; Kochervinskiy, V.V. Coexistence of spontaneous polarization and magnetization in substituted M-type hexaferrites BaFe12–xAlxO19 (x ≤ 1.2) at room Temperature. JETP Lett. 2016, 103, 100–105. [Google Scholar] [CrossRef]
- Wang, P.; Xiang, H. Room-temperature ferrimagnet with frustrated antiferroelectricity: Promising candidate toward multiple-state memory. Phys. Rev. X 2014, 4, 011035. [Google Scholar] [CrossRef]
- Nan, C.W.; Bichurin, M.I.; Dong, S.; Viehland, D.; Srinivasan, G. Multiferroic magnetoelectric composites: Historical perspective, status, and future directions. J. Appl. Phys. 2008, 103, 031101. [Google Scholar] [CrossRef]
- Liu, G.; Nan, C.W.; Xu, Z.K.; Chen, H.D. Coupling interaction in multiferroic BaTiO3-CoFe2O4 nanostructures. J. Phys. D Appl. Phys. 2005, 38, 2321–2326. [Google Scholar] [CrossRef]
- Zhang, H.F.; Or, S.W.; Chan, H.L.W. Multiferroic properties of Ni0.5Zn0.5Fe2O4–Pb(Zr0.53Ti0.47)O3 ceramic composites. J. Appl. Phys. 2008, 104, 104109. [Google Scholar] [CrossRef]
- Trukhanov, S.V.; Trukhanov, A.V.; Salem, M.M.; Trukhanova, E.L.; Panina, L.V.; Kostishyn, V.G.; Darwish, M.A.; Trukhanov, A.V.; Zubar, T.I.; Tishkevich, D.I.; et al. Preparation and investigation of structure, magnetic and dielectric properties of (BaFe11.9Al0.1O19)1-x—(BaTiO3)x bicomponent ceramics. Ceram. Int. 2018, 44, 21295–21302. [Google Scholar] [CrossRef]
- Turchenko, V.; Trukhanov, A.; Trukhanov, S.; Bobrikov, I.; Balagurov, A. Features of crustal and magnetıc structures of solıd solutıons Ba12-xDxO19 (D=Al3+, In3+; x=0.1) ın a wıde temperature range. Eur. Phys. J. Plus 2016, 131, 82–89. [Google Scholar] [CrossRef]
- Pastore, R.; Delfini, A.; Micheli, D.; Vricella, A.; Marchetti, M.; Santoni, F.; Piergentili, F. Carbon foam electromagnetic mm-wave absorption in reverberation chamber. Carbon 2019, 144, 63–71. [Google Scholar] [CrossRef]
- Mazzoli, A.; Corinaldesi, V.; Donnini, J.; di Perna, C.; Micheli, D.; Vricella, A.; Pastore, R.; Bastianelli, L.; Moglie, F.; Primiani, V.M. Effect of graphene oxide and metallic fibers on the electromagnetic shielding effect of engineered cementitious composites. J. Build. Eng. 2018, 18, 33–39. [Google Scholar] [CrossRef]
- Micheli, D.; Pastore, R.; Vricella, A.; Marchetti, M. Matter’s electromagnetic signature reproduction by graded-dielectric multilayer assembly. IEEE Trans. Microw. Theory Techn. 2017, 5, 2801–2809. [Google Scholar] [CrossRef]
- Micheli, D.; Vricella, A.; Pastore, R.; Marchetti, M. Synthesis and electromagnetic characterization of frequency selective radar absorbing materials using carbon nanopowders. Carbon 2014, 77, 756–774. [Google Scholar] [CrossRef]
- Kuświk, P.; Gaul, A.; Urbaniak, M.; Schmidt, M.; Aleksiejew, J.; Ehresmann, A.; Stobiecki, F. Tailoring Perpendicular Exchange Bias Coupling in Au/Co/NiO Systems by Ion Bombardment. Nanomaterials 2018, 8, 813. [Google Scholar] [CrossRef]
- Chen, Y.-T.; Lin, S.-H.; Sheu, T.-S. Effect of Low-Frequency AC Magnetic Susceptibility and Magnetic Properties of CoFeB/MgO/CoFeB Magnetic Tunnel Junctions. Nanomaterials 2014, 4, 46–54. [Google Scholar] [CrossRef]
- Yang, H.; Ye, T.; Lin, Y.; Liu, M. Exchange coupling behavior and microwave absorbing property of the hard/soft (BaFe12O19/Y3Fe5O12) ferrites based on polyaniline. Synth. Metals 2015, 210, 245–250. [Google Scholar] [CrossRef]
- Trukhanov, S.V.; Trukhanov, A.V.; Kostishyn, V.G.; Panin, L.V.; Trukhanov, A.V.; Turchenko, V.A.; Tishkevich, D.I.; Trukhanova, E.L.; Oleynik, V.V.; Yakovenko, E.S.; et al. Magnetıc, dıelectrıc and mıcrowave propertıes of the BaFe12-xGaxO19 (x ≤ 1.2) solıd solutıons at room temperature. J. Magn. Magn. Mater. 2017, 442, 300–310. [Google Scholar] [CrossRef]
- Trukhanov, S.V.; Trukhanov, A.V.; Kostishyn, V.G.; Panina, L.V.; Trukhanov, A.V.; Turchenko, V.A.; Tishkevich, D.I.; Trukhanova, E.L.; Yakovenko, E.S.; Matzui, L.Y. Investıgatıon of structure features and mıcrowave absorptıon by doped barıum hexaferrıtes. Dalton Trans. 2017, 46, 9010–9021. [Google Scholar] [CrossRef] [PubMed]
- Skomski, R.; Coey, J.M.D. Giant energy product in nanostructured two-phase magnets. Phys. Rev. B 1993, 48, 15812. [Google Scholar] [CrossRef]
- Feng, C.; Liu, X.G.; Siu, W.O.; Ho, S.L. Exchange coupling and microwave absorption in core/shell-structured hard/soft ferrite-based CoFe2O4/NiFe2O4 nanocapsules. AIP Adv. 2017, 7, 056403. [Google Scholar] [CrossRef]
- Afshar, S.R.S.; Hasheminiasari, M.; Masoudpanah, S.M. Structural, magnetic and microwave absorption properties of SrFe12O19/Ni0.6Zn0.4Fe2O4 composites prepared by one-pot solution combustion method. J. Magn. Magn. Mater. 2018, 466, 1–6. [Google Scholar] [CrossRef]
- Shen, X.Q.; Song, F.Z.; Xiang, J.; Liu, M.Q.; Zhu, Y.W.; Wang, Y.D. Shape Anisotropy, Exchange-Coupling Interaction and Microwave Absorption of Hard/Soft Nanocomposite Ferrite Microfibers. J. Am. Ceram. Soc. 2012, 95, 3863–3870. [Google Scholar] [CrossRef]
- Torkian, S.; Ghasemi, A.; Razavi, R.S. Magnetic properties of hard-soft SrFe10Al2O19/Co0.8Ni0.2Fe2O4 ferrite synthesized by one-pot sol-gel autocombustion. J. Magn. Magn. Mater. 2016, 416, 408–416. [Google Scholar] [CrossRef]
- Bennet, J.; Tholkappiyan, R.; Vishista, K. Attestation in self-propagating combustion approach of spinel AFe2O4 (A=Co, Mg and Mn) complexes bearing mixed oxidation states: Magnetostructural properties. Appl. Surf. Sci. 2016, 383, 113–125. [Google Scholar] [CrossRef]
- Han, Q.; Meng, X.; Lu, C. Exchange-coupled Ni0.5Zn0.5Fe2O4/SrFe12O19 composites with enhanced microwave absorption performance. J. Alloys Compd. 2018, 768, 742–749. [Google Scholar] [CrossRef]
- Almessiere, M.A.; Slimani, Y.; Baykal, A. Exchange spring magnetic behavior of Sr0.3Ba0.4Pb0.3Fe12O19/(CuFe2O4)x nanocomposites fabricated by a one-pot citrate sol-gel combustion method. J. Alloys Compd. 2018, 762, 389–397. [Google Scholar] [CrossRef]
- Klygach, D.S.; Vakhitova, M.G.; Vinnik, D.A.; Bezborodov, A.V.; Gudkova, S.A.; Zhivulin, V.E.; Zherebtsov, D.A.; Trukhanov, S.V.; Trukhanov, A.V.; Starikov, A.Y. Measurement of permittivity and permeability of barium hexaferrite. J. Magn. Magn. Mater. 2018, 456, 290–294. [Google Scholar] [CrossRef]
- Vinnik, D.A.; Klygach, D.S.; Zhivulin, V.E.; Malkin, A.I.; Vakhitov, M.G.; Gudkova, S.A.; Galimov, D.M.; Zherebtsov, D.A.; Trofimov, E.A.; Knyazev, N.S.; et al. Electromagnetic properties of BaFe12O19:Ti at centimeter wavelengths. J. Alloys Compd. 2018, 755, 177–183. [Google Scholar] [CrossRef]
- Trukhanov, A.V.; Trukhanov, S.V.; Kostishyn, V.G.; Panina, L.V.; Korovushkin, V.V.; Turchenko, V.A.; Vinnik, D.A.; Yakovenko, E.S.; Zagorodnii, V.V.; Launetz, V.L.; et al. Correlation of the atomic structure, magnetic properties and microwave characteristics in substituted hexagonal ferrites. J. Magn. Magn. Mater. 2018, 462, 127–135. [Google Scholar] [CrossRef]
- Trukhanov, A.V.; Kostishyn, V.G.; Panina, L.V.; Korovushkin, V.V.; Turchenko, V.A.; Thakur, P.; Thakur, A.; Yang, Y.; Vinnik, D.A.; Yakovenko, E.S.; et al. Control of Elecromagnetic properties in Substituted M-type Hexagonal ferrites. J. Alloys Compd. 2018, 754, 247–256. [Google Scholar] [CrossRef]
- Trukhanov, A.V.; Panina, L.V.; Trukhanov, S.V.; Kostishyn, V.G.; Turchenko, V.A.; Vinnik, D.A.; Zubar, T.I.; Yakovenko, E.S.; Macuy, L.Y.; Trukhanova, E.L. Critical Influence of Different Diamagnetic Ions on Electromagnetis Properties of BaFe12O19. Ceram. Int. 2018, 44, 13520–13529. [Google Scholar] [CrossRef]
- Tong, L.; Zha, H.; Tian, Y. Determining the complex permittivity of powder materials from 1–40 GHz using transmission–line technique. In Proceedings of the IEEE International Geoscience and Remote Sensing Symposium, Melbourne, VIC, Australia, 21–26 July 2013; pp. 1380–1382. [Google Scholar]
- Nicolson, A.M.; Ross, G.F. Measurement of the intrinsic properties of materials by time-domain techniques. IEEE Trans. Instrum. Meas. 1970, 19, 77–382. [Google Scholar] [CrossRef]
- Wang, W.; Jiao, Q.; Zang, C.; Zhu, X. Study on the Absorption Properties of Spinel Type Ferrite Composite Coatings in the Low Frequency. Adv. Mater. Res. 2011, 415–417, 30–34. [Google Scholar] [CrossRef]
- Stergiou, C. Magnetic, dielectric and microwave absorption properties of rare earth doped Ni–Co and Ni–Co–Zn spinel ferrites. J. Magn. Magn. Mater. 2017, 426, 629–635. [Google Scholar] [CrossRef]











| Composition | Sr0.3Ba0.4Pb0.3Fe12O1 hard magnetic phase (Å) | CuFe2O4 soft magnetic phase (Å) | D (nm) | ||
|---|---|---|---|---|---|
| a | c | a | Sr0.3Ba0.4Pb0.3Fe12O19 | CuFe2O4 | |
| Sr0.3Ba0.4Pb0.3Fe12O19/(CuFe2O4)2 (1:2) | 5.888 | 23.126 | 8.411 | 12.0 | 32.2 |
| Sr0.3Ba0.4Pb0.3Fe12O19/(CuFe2O4)3 (1:3) | 5.880 | 23.105 | 8.397 | 31.8 | 48.6 |
| Sr0.3Ba0.4Pb0.3Fe12O19/(CuFe2O4)4 (1:4) | 5.884 | 23.104 | 8.370 | 25.4 | 48.3 |
| Sr0.3Ba0.4Pb0.3Fe12O19/(CuFe2O4)5 (1:5) | 5.887 | 23.128 | 8.323 | 8.0 | 38.3 |
© 2019 by the authors. Licensee MDPI, Basel, Switzerland. This article is an open access article distributed under the terms and conditions of the Creative Commons Attribution (CC BY) license (http://creativecommons.org/licenses/by/4.0/).
Share and Cite
Almessiere, M.A.; Trukhanov, A.V.; Slimani, Y.; You, K.Y.; Trukhanov, S.V.; Trukhanova, E.L.; Esa, F.; Sadaqat, A.; Chaudhary, K.; Zdorovets, M.; et al. Correlation Between Composition and Electrodynamics Properties in Nanocomposites Based on Hard/Soft Ferrimagnetics with Strong Exchange Coupling. Nanomaterials 2019, 9, 202. https://doi.org/10.3390/nano9020202
Almessiere MA, Trukhanov AV, Slimani Y, You KY, Trukhanov SV, Trukhanova EL, Esa F, Sadaqat A, Chaudhary K, Zdorovets M, et al. Correlation Between Composition and Electrodynamics Properties in Nanocomposites Based on Hard/Soft Ferrimagnetics with Strong Exchange Coupling. Nanomaterials. 2019; 9(2):202. https://doi.org/10.3390/nano9020202
Chicago/Turabian StyleAlmessiere, Munirah Abdullah, Alex V. Trukhanov, Yassine Slimani, K.Y. You, Sergei V. Trukhanov, Ekaterina L. Trukhanova, F. Esa, A. Sadaqat, K. Chaudhary, Maxim Zdorovets, and et al. 2019. "Correlation Between Composition and Electrodynamics Properties in Nanocomposites Based on Hard/Soft Ferrimagnetics with Strong Exchange Coupling" Nanomaterials 9, no. 2: 202. https://doi.org/10.3390/nano9020202
APA StyleAlmessiere, M. A., Trukhanov, A. V., Slimani, Y., You, K. Y., Trukhanov, S. V., Trukhanova, E. L., Esa, F., Sadaqat, A., Chaudhary, K., Zdorovets, M., & Baykal, A. (2019). Correlation Between Composition and Electrodynamics Properties in Nanocomposites Based on Hard/Soft Ferrimagnetics with Strong Exchange Coupling. Nanomaterials, 9(2), 202. https://doi.org/10.3390/nano9020202

