Facile Synthesis of Mn4+-Activated Double Perovskite Germanate Phosphors with Near-Infrared Persistent Luminescence
Abstract
1. Introduction
2. Materials and Methods
2.1. Materials Preparation
2.2. Characterization
3. Results and Discussion
3.1. Synthesis and Structural Characterization
- (i)
- The reduced size of reactants. It is well established that products with reduced size are usually obtained in a variety of inorganic compounds by the MASS method [27]. It is easier to achieve complete reactions with smaller particle sizes, higher surface areas and more efficient blending of reactants.
- (ii)
- Efficient thermal energy transfer. More homogeneous heat distribution is provided by direct heating of the samples under microwave irradiation. Moreover, the charcoal, applied as a susceptor, also contributes to heat the reactants because susceptor agents with high dielectric loss tangents usually convert microwave irradiation into thermal energy efficiently.
- (iii)
- The preliminary formation of the host matrices. After microwave irradiation for 40 min, the crystal lattice of La2MgGeO6 was gradually formed (Figure S5), which is beneficial to reduce the total synthesis time. An additional round of 40-min MASS synthesis was tried, but the contribution to the formation of the host matrices was limited (as shown in Figure S5).
3.2. Spectroscopic Properties
3.3. Luminescence Thermal Stability: Thermal Quenching
3.4. Excitation Wavelength-Dependent Persistent Luminescence
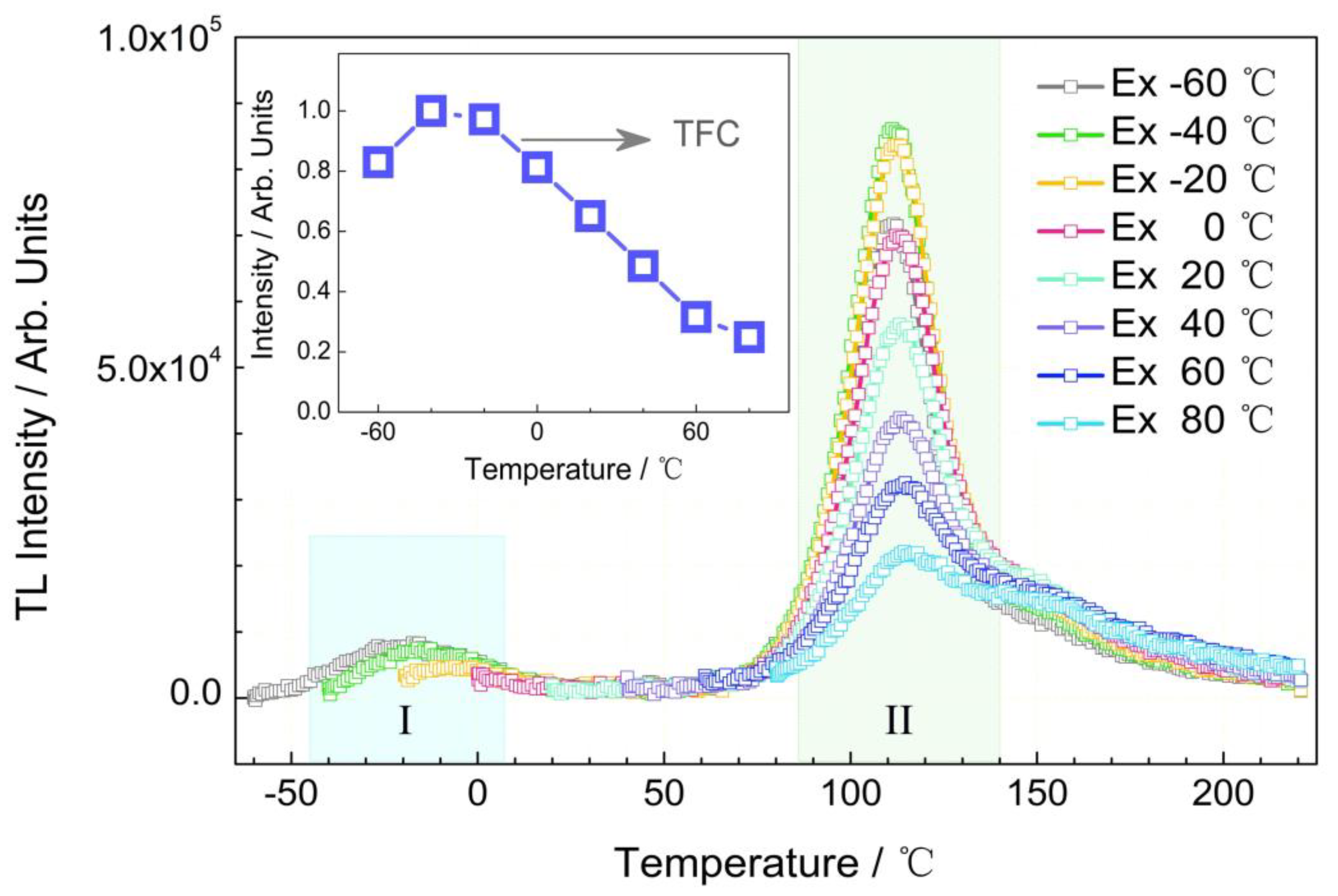
3.5. Thermoluminescence Behavior
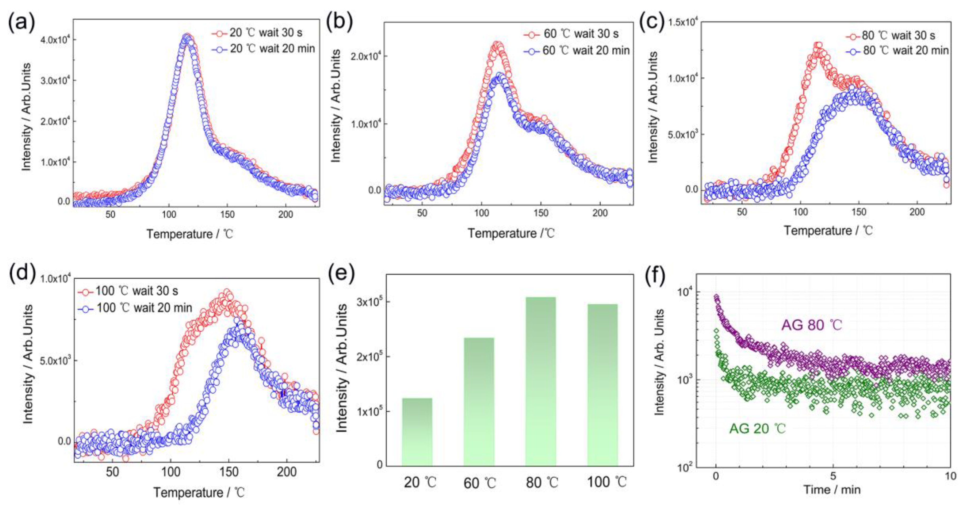
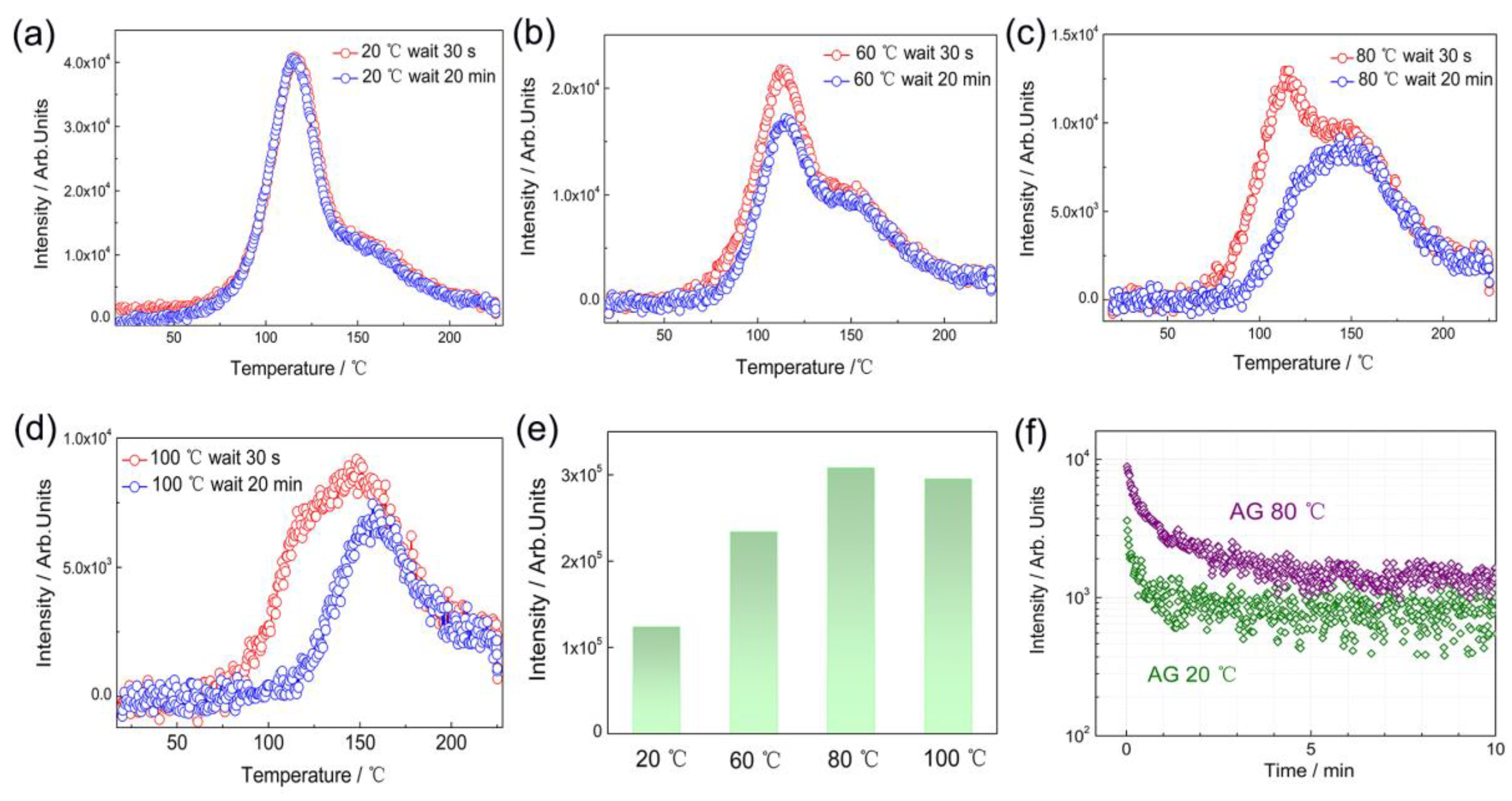
3.6. Temperature-Dependent Persistent Luminescence
4. Conclusions
Supplementary Materials
Author Contributions
Funding
Acknowledgments
Conflicts of Interest
References
- Lin, S.S.; Lin, H.; Huang, Q.Q.; Cheng, Y.; Xu, J.; Wang, J.M.; Xiang, X.Q.; Wang, C.Y.; Zhang, L.Q.; Wang, Y.S. A Photostimulated BaSi2O5: Eu2+, Nd3+ Phosphor-in-Glass for Erasable-Rewritable Optical Storage Medium. Laser Photonics Rev. 2019, 13, 1900006. [Google Scholar] [CrossRef]
- Pan, Z.W.; Lu, Y.-Y.; Liu, F. Sunlight-activated long-persistent luminescence in the near-infrared from Cr 3+-doped zinc gallogermanates. Nat. Mater. 2012, 11, 58–63. [Google Scholar] [CrossRef] [PubMed]
- Zhuang, Y.X.; Lv, Y.; Wang, L.; Chen, W.W.; Zhou, T.L.; Takeda, T.; Hirosaki, N.; Xie, R.J. Trap depth engineering of SrSi2O2N2: Ln2+, Ln3+ (Ln2+ = Yb, Eu; Ln3+ = Dy, Ho, Er) persistent luminescence materials for information storage applications. ACS Appl. Mater. Interfaces 2018, 10, 1854–1864. [Google Scholar] [CrossRef] [PubMed]
- Maldiney, T.; Bessière, A.; Seguin, J.; Teston, E.; Sharma, S.K.; Viana, B.; Bos, A.J.; Dorenbos, P.; Bessodes, M.; Gourier, D.; et al. The in vivo activation of persistent nanophosphors for optical imaging of vascularization, tumours and grafted cells. Nat. Mater. 2014, 13, 418–426. [Google Scholar] [CrossRef]
- Zhuang, Y.; Wang, L.; Lv, Y.; Zhou, T.L.; Xie, R.J. Optical data storage and multicolor emission readout on flexible films using deep-trap persistent luminescence materials. Adv. Funct. Mater. 2018, 28, 1705769. [Google Scholar] [CrossRef]
- Long, Z.W.; Wen, Y.G.; Zhou, J.H.; Qiu, J.B.; Wu, H.; Xu, X.H.; Yu, X.; Zhou, D.C.; Yu, J.; Wang, Q. No-Interference Reading for Optical Information Storage and Ultra-Multiple Anti-Counterfeiting Applications by Designing Targeted Recombination in Charge Carrier Trapping Phosphors. Adv. Opt. Mater. 2019, 7, 1900006. [Google Scholar] [CrossRef]
- Rojas-Hernandez, R.E.; Rubio-Marcos, F.; Rodriguez, M.Á.; Fernandez, J.F. Long lasting phosphors: SrAl2O4:Eu,Dy as the most studied material. Renew. Sustain. Energy Rev. 2018, 81, 2759–2770. [Google Scholar] [CrossRef]
- Matsuzawa, T.; Aoki, Y.; Takeuchi, N.; Murayama, Y. New Long Phosphorescent Phosphor with High Brightness, SrAl2O4:Eu2+,Dy3+. J. Electrochem. Soc. 1996, 143, 2670–2673. [Google Scholar] [CrossRef]
- Qu, B.; Zhang, B.; Wang, L.; Zhou, R.; Zeng, X.C. Mechanistic study of the persistent luminescence of CaAl2O4:Eu, Nd. Chem. Mater. 2015, 27, 2195–2202. [Google Scholar] [CrossRef]
- Rodriguez Burbano, D.C.; Sharma, S.K.; Dorenbos, P.; Viana, B.; Capobianco, J.A. Persistent and photostimulated red emission in CaS:Eu2+,Dy3+ nanophosphors. Adv. Opt. Mater. 2015, 3, 551–557. [Google Scholar] [CrossRef]
- De Chermont, Q.L.M.; Chanéac, C.; Seguin, J.; Pellé, F.; Maîtrejean, S.; Jolivet, J.P.; Gourier, D.; Bessodes, M.; Scherman, D. Nanoprobes with near-infrared persistent luminescence for in vivo imaging. Proc. Natl. Acad. Sci. USA 2007, 104, 9266–9271. [Google Scholar] [CrossRef] [PubMed]
- Wang, J.; Ma, Q.; Wang, Y.; Shen, H.; Yuan, Q. Recent progress in biomedical applications of persistent luminescence nanoparticles. Nanoscale 2017, 9, 6204–6218. [Google Scholar] [CrossRef] [PubMed]
- Sijbom, H.F.; Verstraete, R.; Joos, J.J.; Poelman, D.; Smet, P.F. K2SiF6:Mn4+ as a red phosphor for displays and warm-white LEDs: A review of properties and perspectives. Opt. Mater. Express 2017, 7, 3332–3365. [Google Scholar] [CrossRef]
- Du, J.; De Clercq, O.; Korthout, K.; Poelman, D. LaAlO3:Mn4+ as Near-Infrared Emitting Persistent Luminescence Phosphor for Medical Imaging: A Charge Compensation Study. Materials 2017, 10, 1422. [Google Scholar]
- Li, Y.; Li, Y.Y.; Sharafudeen, K.; Dong, G.P.; Zhou, S.F.; Ma, Z.J.; Peng, M.Y.; Qiu, J.R. A strategy for developing near infrared long-persistent phosphors: Taking MAlO3: Mn4+, Ge4+ (M = La, Gd) as an example. J. Mater. Chem. C 2014, 2, 2019–2027. [Google Scholar] [CrossRef]
- Du, J.; Poelman, D. Near-infrared persistent luminescence in Mn4+ doped perovskite type solid solutions. Ceram. Int. 2019, 45, 8345–8353. [Google Scholar] [CrossRef]
- Liang, L.; Chen, N.; Jia, Y.; Ma, Q.; Wang, J.; Yuan, Q.; Tan, W. Recent progress in engineering near-infrared persistent luminescence nanoprobes for time-resolved biosensing/bioimaging. Nano Res. 2019, 12, 1279–1292. [Google Scholar] [CrossRef]
- Zhang, X.; Nie, J.; Liu, S.; Li, Y.; Qiu, J. Deep-red photoluminescence and long persistent luminescence in double perovstkite-type La2MgGeO6: Mn4+. J. Am. Ceram. Soc. 2018, 101, 1576–1584. [Google Scholar] [CrossRef]
- Srivastava, A.M.; Smith, D.J.; Brik, M.G. Site occupancy and spectroscopic properties of Mn4+ in double perovskites, La2MgGeO6. Opt. Mater. 2019, 94, 148–151. [Google Scholar] [CrossRef]
- Swaffer, M.; Slater, P.R.; Gover, R.K.; Matsumura, T.; Kanno, R.; Kamiyama, T. La2MgGeO6: A novel Ge based perovskite synthesised under ambient pressure. Chem. Comm. 2002, 16, 1776–1777. [Google Scholar] [CrossRef]
- Birkel, A.; Denault, K.A.; George, N.C.; Doll, C.E.; Hery, B.; Mikhailovsky, A.A.; Birkel, C.S.; Hong, B.C.; Seshadri, R. Rapid Microwave Preparation of Highly Efficient Ce3+-Substituted Garnet Phosphors for Solid State White Lighting. Chem. Mater. 2012, 24, 1198–1204. [Google Scholar] [CrossRef]
- De Carvalho, J.M.; Pedroso, C.C.S.; Machado, I.P.; Hölsä, J.; Rodrigues, L.C.V.; Głuchowski, P.; Lastusaari, M.; Brito, H.F. Persistent luminescence warm-light LEDs based on Ti-doped RE2O2S materials prepared by rapid and energy-saving microwave-assisted synthesis. J. Mater. Chem. C 2018, 6, 8897–8905. [Google Scholar] [CrossRef]
- Pedroso, C.C.; Carvalho, J.M.; Rodrigues, L.C.; Holsa, J.; Brito, H.F. Rapid and Energy-Saving Microwave-Assisted Solid-State Synthesis of Pr3+-, Eu3+-, or Tb3+-Doped Lu2O3 Persistent Luminescence Materials. ACS Appl. Mater. Interfaces 2016, 8, 19593–19604. [Google Scholar] [CrossRef]
- Carvalho, J.M.; Norrbo, I.; Ando, R.A.; Brito, H.F.; Fantini, M.C.; Lastusaari, M. Fast, low-cost preparation of hackmanite minerals with reversible photochromic behavior using a microwave-assisted structure-conversion method. Chem. Comm. 2018, 54, 7326–7329. [Google Scholar] [CrossRef]
- Shannon, R.D. Revised effective ionic radii and systematic studies of interatomic distances in halides and chalcogenides. Acta Crystallogr. A 1976, 32, 751–767. [Google Scholar] [CrossRef]
- Elsagh, M.; Rajabi, M.; Amini, E. Characterization of SrAl2O4:Eu2+, Dy3+ phosphor nano-powders produced by microwave synthesis route. J. Mater. Sci. Mater. Electron. 2014, 25, 1612–1619. [Google Scholar] [CrossRef]
- Schütz, M.B.; Xiao, L.; Lehnen, T.; Fischer, T.; Mathur, S. Microwave-assisted synthesis of nanocrystalline binary and ternary metal oxides. Int. Mater. Rev. 2017, 63, 341–374. [Google Scholar] [CrossRef]
- Xu, X.Q.; Ren, J.; Chen, G.R.; Kong, D.S.; Gu, C.J.; Chen, C.M.; Kong, L. Bright green emission from the Mn2+-doped zinc gallogermanate phosphors. Opt. Mater. Express 2013, 3, 1727. [Google Scholar] [CrossRef]
- Du, J.R.; De Clercq, O.Q.; Poelman, D. Thermoluminescence and near-infrared persistent luminescence in LaAlO3:Mn4+, R (R = Na+, Ca2+, Sr2+, Ba2+) ceramics. Ceram. Int. 2018, 44, 21613–21620. [Google Scholar] [CrossRef]
- Liu, F.; Liang, Y.J.; Chen, Y.F.; Pan, Z.W. Divalent Nickel-Activated Gallate-Based Persistent Phosphors in the Short-Wave Infrared. Adv. Opt. Mater. 2016, 4, 562–566. [Google Scholar] [CrossRef]
- Chen, Y.F.; Liu, F.; Liang, Y.J.; Wang, X.L.; Bi, J.Q.; Wang, X.-J.; Pan, Z.W. A new up-conversion charging concept for effectively charging persistent phosphors using low-energy visible-light laser diodes. J. Mater. Chem. C 2018, 6, 8003–8010. [Google Scholar] [CrossRef]
- Smet, P.F.; Van den Eeckhout, K.; De Clercq, O.Q.; Poelman, D. Handbook on the Physics and Chemistry of Rare Earths, 1st ed.; Elsevier: Amsterdam, The Netherlands, 2015; Volume 48, pp. 1–108. [Google Scholar]
- De Clercq, O.Q.; Martin, L.I.; Korthout, K.; Kusakovskij, J.; Vrielinck, H.; Poelman, D. Probing the local structure of the near-infrared emitting persistent phosphor LiGa5O8:Cr3+. J. Mater. Chem. C 2017, 5, 10861–10868. [Google Scholar] [CrossRef]
- Liu, F.; Yan, W.Z.; Chuang, Y.-J.; Zhen, Z.P.; Xie, J.; Pan, Z.W. Photostimulated near-infrared persistent luminescence as a new optical read-out from Cr3+-doped LiGa5O8. Sci. Rep. 2013, 3, 1554. [Google Scholar] [CrossRef] [PubMed]
- Bessière, A.; Jacquart, S.; Priolkar, K.; Lecointre, A.; Viana, B.; Gourier, D. ZnGa2O4:Cr3+: A new red long-lasting phosphor with high brightness. Opt. Express 2011, 19, 10131–10137. [Google Scholar] [CrossRef] [PubMed]
- Du, J.R.; De Clercq, O.Q.; Poelman, D. Temperature dependent persistent luminescence: Evaluating the optimum working temperature. Sci. Rep. 2019, 9, 10517. [Google Scholar] [CrossRef]










| Element | Valence State | Coordination Number (CN) | Ionic Radius (Å) |
|---|---|---|---|
| Mn | 4+ | VI | 0.53 |
| Mn | 2+ | VI | 0.67 |
| La | 3+ | XII | 1.36 |
| Mg | 2+ | VI | 0.72 |
| Ge | 4+ | VI | 0.53 |
© 2019 by the authors. Licensee MDPI, Basel, Switzerland. This article is an open access article distributed under the terms and conditions of the Creative Commons Attribution (CC BY) license (http://creativecommons.org/licenses/by/4.0/).
Share and Cite
Du, J.; Poelman, D. Facile Synthesis of Mn4+-Activated Double Perovskite Germanate Phosphors with Near-Infrared Persistent Luminescence. Nanomaterials 2019, 9, 1759. https://doi.org/10.3390/nano9121759
Du J, Poelman D. Facile Synthesis of Mn4+-Activated Double Perovskite Germanate Phosphors with Near-Infrared Persistent Luminescence. Nanomaterials. 2019; 9(12):1759. https://doi.org/10.3390/nano9121759
Chicago/Turabian StyleDu, Jiaren, and Dirk Poelman. 2019. "Facile Synthesis of Mn4+-Activated Double Perovskite Germanate Phosphors with Near-Infrared Persistent Luminescence" Nanomaterials 9, no. 12: 1759. https://doi.org/10.3390/nano9121759
APA StyleDu, J., & Poelman, D. (2019). Facile Synthesis of Mn4+-Activated Double Perovskite Germanate Phosphors with Near-Infrared Persistent Luminescence. Nanomaterials, 9(12), 1759. https://doi.org/10.3390/nano9121759

