Shape Dependent EMA Model of Nanostructured Anisotropic Materials
Abstract
1. Introduction
2. Methods
2.1. Effective Permittivity and Green Electromagnetic Tensor
2.2. Depolarizing Tensor
2.3. Correction Tensor
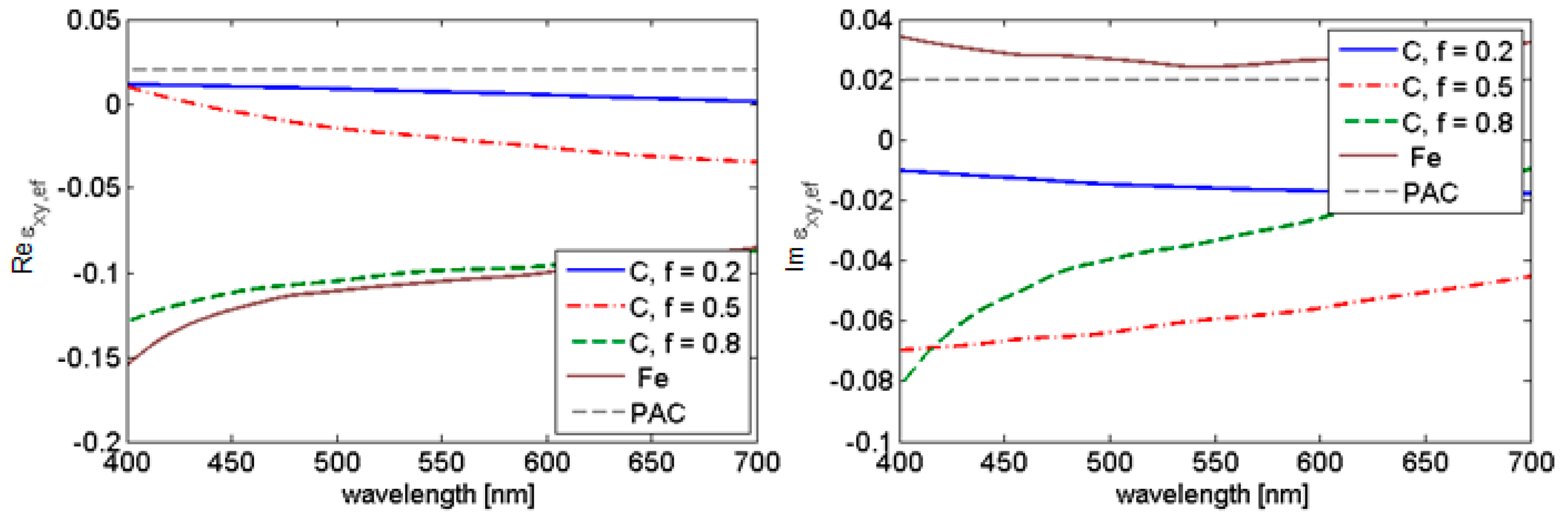
3. Results and Discussion
4. Conclusions
Author Contributions
Funding
Conflicts of Interest
References
- Li, E.-P.; Chu, H.-S. Passive plasmonic waveguide-based devices. In Plasmonic Nanoelectronics and Sensing; Cambridge University Press: Cambridge, UK, 2014; pp. 139–179. [Google Scholar]
- Roper, D.K.; Ahn, W.; Taylor, B.; Dall’Asen, A. Enhanced spectral sensing by electromagnetic coupling with localized surface plasmons on subwavelength structures. IEEE Sens. J. 2010, 10, 531–540. [Google Scholar] [CrossRef]
- Farhang, A.; Abasahl, B.; Martin, O.J. Hybrid nanoparticle and thin film biosensor with a high figure of merit. In Plasmonics in Biology and Medicine IX; International Society for Optics and Photonics: San Francisco, CA, USA, 2012; p. 8234. [Google Scholar]
- Moirangthem, R.S.; Yaseen, M.T.; Wei, P.K.; Cheng, J.Y.; Chang, Y.C. Enhanced localized plasmonic detections using partially-embedded gold nanoparticles and ellipsometric measurements. Biomed. Opt. Express 2012, 3, 899–910. [Google Scholar] [CrossRef] [PubMed]
- Taufik, S.; Barfidokht, A.; Alam, M.T.; Jiang, C.; Parker, S.G.; Gooding, J.J. An antifouling electrode based on electrode–organic layer–nanoparticle constructs: Electrodeposited organic layers versus self-assembled monolayers. J. Electroanal. Chem. 2016, 779, 229–235. [Google Scholar] [CrossRef]
- Barfidokht, A.; Ciampi, S.; Luais, E.; Darwish, N.; Gooding, J.J. Distance-dependent electron transfer at passivated electrodes decorated by gold nanoparticles. Anal. Chem. 2013, 85, 1073–1080. [Google Scholar] [CrossRef] [PubMed]
- Moroz, A. Depolarization field of spheroidal particles. J. Opt. Soc. Am. B 2009, 26, 517–527. [Google Scholar] [CrossRef]
- Sihvola, A. Dielectric Polarization and Particle Shape Effects. J. Nanomater. 2007, 1, 45090. [Google Scholar] [CrossRef]
- Cui, J.; Mackay, T.G. Depolarization regions of nonzero volume in bi-anisotropic homogenized composites. Waves Random Complex Media 2007, 17, 269–281. [Google Scholar] [CrossRef]
- Abe, M. Derivation of non-diagonal effective dielectric-permeability tensors for magnetized granular composites. Phys. Rev. B 1996, 53, 7065–7075. [Google Scholar] [CrossRef] [PubMed]
- Levy, O.; Cherkaev, E. Effective medium approximations for anisotropic composites with arbitrary component orientation. J. Appl. Phys. 2013, 114, 164102. [Google Scholar] [CrossRef]
- Albaladejo, S.; Gómez-Medina, R.; Froufe-Pérez, L.S.; Marinchio, H.; Carminati, R.; Torrado, J.F.; Sáenz, J.J. Radiative corrections to the polarizability tensor of an electrically small anisotropic dielectric particle. Opt. Express 2010, 18, 3556–3566. [Google Scholar] [CrossRef] [PubMed]
- Vlček, J.; Otipka, P.; Lesňák, M.; Vávra, I. Effective medium approximation of anisotropic materials with radiative correction. In Metamaterials X; International Society for Optics and Photonics: Prague, Czech Republic, 2015; Volume 9502, p. 950217. [Google Scholar]
- Yaghijan, A.D. Electric dyadic Green’s functions in the source region. Proc. IEEE 1980, 68, 248. [Google Scholar] [CrossRef]
- DeJarnette, D.; Roper, D.K.; Harbin, B. Geometric far-field coupling between multipoles of nanoparticles in square arrays. J. Opt. Soc. Am. B 2012, 29, 88–100. [Google Scholar] [CrossRef]
- Venermo, J.; Sihvola, A. Dielectric polarizability of circular cylinder. J. Electrost. 2005, 63, 101–117. [Google Scholar] [CrossRef]
- Koledintseva, M.Y.; Wu, J.; Zhang, J.; Drewniak, J.L. Representation of permittivity for multiphase dielectric mixtures in FDTD modeling. In Proceedings of the 2004 International Symposium on Electromagnetic Compatibility, Santa Clara, CA, USA, 9–13 August 2004; pp. 309–314. [Google Scholar]
- Khlebtsov, N.G.; Khlebtsov, B.N. Optical polarizability of metal nanoparticles and its biospecific conjugates. Proc. SPIE 2006, 6164, 616405. [Google Scholar]
- Višnovský, Š.; Krishnan, R.; Nývlt, M.; Prosser, V. Optical behaviour of Fe in magnetic multilayers. J. Magn. Soc. Jpn. 1996, 20, 41–46. [Google Scholar]
- Available online: https://www.filmetrics.com/refractive-index-database/Polyacrylate (accessed on 10 April 2019).
- Vlček, J.; Otipka, P.; Lesňák, M.; Hrabovský, D.; Vávra, I. Magneto-Optical Activity of Gold Nanoparticles. Adv. Sci. Eng. Med. 2014, 6, 439–444. [Google Scholar] [CrossRef]
- Johnson, P.B.; Christy, R.W. Optical constants of the noble metals. Phys. Rev. B 1972, 6, 4370–4379. [Google Scholar] [CrossRef]
- Etchegoin, P.G.; Le Ru, E.C.; Meyer, M. An analytic model for the optical properties of gold. J. Chem. Phys. 2007, 125, 164705. [Google Scholar] [CrossRef] [PubMed]
Geometric Shape | Depolarizing Factor |
---|---|
CYLINDER | |
SPHEROID | |
BI-CONE |
Geometric Shape | Correction Factors |
---|---|
CYLINDER | |
BI-CONE |
k2M⊥ | d [nm] | ||||
---|---|---|---|---|---|
CYLINDER/BI-CONE | 5 | 10 | 20 | 50 | |
h [nm] | 5 | 0.0011/0.0002 | 0.0006/0.0006 | 0.0003/0.0012 | 0.0001/0.0031 |
10 | 0.0071/0.0003 | 0.0044/0.0009 | 0.0024/0.0022 | 0.0010/0.0061 | |
20 | 0.0414/0.0003 | 0.0285/0.0011 | 0.0174/0.0035 | 0.0077/0.0115 | |
50 | 0.3704/0.0003 | 0.2857/0.0012 | 0.2035/0.0046 | 0.1089/0.0218 |
© 2019 by the authors. Licensee MDPI, Basel, Switzerland. This article is an open access article distributed under the terms and conditions of the Creative Commons Attribution (CC BY) license (http://creativecommons.org/licenses/by/4.0/).
Share and Cite
Otipka, P.; Vlček, J. Shape Dependent EMA Model of Nanostructured Anisotropic Materials. Nanomaterials 2019, 9, 1380. https://doi.org/10.3390/nano9101380
Otipka P, Vlček J. Shape Dependent EMA Model of Nanostructured Anisotropic Materials. Nanomaterials. 2019; 9(10):1380. https://doi.org/10.3390/nano9101380
Chicago/Turabian StyleOtipka, Petr, and Jaroslav Vlček. 2019. "Shape Dependent EMA Model of Nanostructured Anisotropic Materials" Nanomaterials 9, no. 10: 1380. https://doi.org/10.3390/nano9101380
APA StyleOtipka, P., & Vlček, J. (2019). Shape Dependent EMA Model of Nanostructured Anisotropic Materials. Nanomaterials, 9(10), 1380. https://doi.org/10.3390/nano9101380