Next Article in Journal
Polystyrene as Graphene Film and 3D Graphene Sponge Precursor
Next Article in Special Issue
Luminescent Hydroxyapatite Doped with Rare Earth Elements for Biomedical Applications
Previous Article in Journal
Plasma and Nanomaterials: Fabrication and Biomedical Applications
 
 
Font Type:
Arial Georgia Verdana
Font Size:
Aa Aa Aa
Line Spacing:
Column Width:
Background:
Article

Intrinsic Defect Engineering in Eu3 Doped ZnWO4 for Annealing Temperature Tunable Photoluminescence+

School of Mathematics and Physics, Changzhou University, Changzhou 213164, Jiangsu, China
*
Author to whom correspondence should be addressed.
Nanomaterials 2019, 9(1), 99; https://doi.org/10.3390/nano9010099
Submission received: 5 December 2018 / Revised: 9 January 2019 / Accepted: 10 January 2019 / Published: 15 January 2019
(This article belongs to the Special Issue Luminescent Rare-Earth Based Nanomaterials)

Abstract

:
Eu3+ doped ZnWO4 phosphors were synthesized via the co-precipitation technique followed by subsequent thermal annealing in the range of 400–1000 °C. The phase, morphology, elemental composition, chemical states, optical absorption, and photoluminescence (PL) of the phosphors were characterized by X-ray diffraction, scanning electron microscopy, dispersive X-ray spectroscopy, X-ray photoelectron spectrometry, diffuse UV–vis reflectance spectroscopy, PL spectrophotometry, and PL lifetime spectroscopy, respectively. It is found that the PL from Eu3+ doped ZnWO4 is tunable through the control of the annealing temperature. Density functional calculations and optical absorption confirm that thermal annealing created intrinsic defects in ZnWO4 lattices play a pivotal role in the color tunable emissions of the Eu3+ doped ZnWO4 phosphors. These data have demonstrated that intrinsic defect engineering in ZnWO4 lattice is an alternative and effective strategy for tuning the emission color of Eu3+ doped ZnWO4. This work shows how to harness the intrinsic defects in ZnWO4 for the preparation of color tunable light-emitting phosphors.

Graphical Abstract

1. Introduction

Zinc tungstate (ZnWO4) is an important technological material having a diversity of applications in scintillators [1], photocatalysts [2], tunable laser host crystals [3], and light-emitting phosphors [4]. Among these applications, rare-earth doped ZnWO4 phosphors have attracted intensive attentions due to the urgent demand of tunable light emitting phosphors for solid-state lighting [5,6,7,8,9,10,11]. As documented in the literature, the light-emitting properties of singly doped ZnWO4 (R = Dy3+ [5], Sm3+ [6], Eu3+ [7,8,9,10,11,12,13], Tb3+ [13]) and doubly doped ZnWO4 (R = Eu3+ and Dy3+ [14,15]) were investigated. Since the sharp emissions of trivalent rare-earth species are insensitive to external environment, variation in the dopant concentration of the rare-earth species has become the primarily choice to tune the emissions of rare-earth doped ZnWO4 [5,8,13,14,15]. For example, Chen et al. tuned the color from blue through white to orange by adjusting the concentration of Eu3+ in ZnWO4 nanorods [8]; Zhou et al. tuned the photoluminescence (PL) of Eu3+ and Dy3+ doubly ZnWO4 by adjusting the doping concentrations of Eu3+ and Dy3+ in ZnWO4 nanorods [14]. However, this strategy suffers from severe drawbacks and intrinsic limitations that cannot be solved by itself. One example of the drawback is the limited solubility of the rare-earth species in solids. For most of rare-earth oxides, their solubility in fluoride melts is less than 3 mol % [16]. For instance, Zhu et al. showed that the solubility of Nd2O3 and Nd2O3 in the molten salts of NdF3-LiF was in the range of 0.33–0.87 mol % [17]. Such a low solubility makes it difficult to vary the doping concentration in a wide range because segregation of the rare-earth ions occurs readily when the doping concentration exceeds their solubility. Another example of the drawback is the concentration quenching in the PL intensity, which takes place when the doping concentration is higher than its critical concentration. For instance, Zhang et al. observed PL quenching when the concentration of Ce3+ ions in SrLu2O8 is larger than its critical concentration 0.2% [18]. Moreover, concentration quenching of PL was recorded in Eu3+ activated perovskites and Y2MoO6 [19,20], showing that the excess doping of rare earth ions usually decreased the emission intensity markedly. Therefore, it becomes necessary to develop an alternative but versatile strategy to tune the PL of rare-earth doped ZnWO4.
Intrinsic defect engineering in the crystal lattice of ZnWO4 can provide an interesting solution to the problem on how to tune the emissions from rare-earth doped ZnWO4 when the doping concentration is fixed. Previous work shows that intrinsic defects in undoped ZnWO4 can give off intense blue emissions with their peak at about 480 nm [1,4,21], suggesting that the blue emissions can be readily modulated if the intrinsic defects in ZnWO4 lattice can be controlled through an external condition. Thus, tunable PL from blue to red can be expected for Eu3+ doped ZnWO4 if its blue emissions from intrinsic defect in ZnWO4 host mix with the characteristic red emissions of Eu3+ dopant. In this work, we report color tunable PL from Eu-doped ZnWO4 phosphors via annealing temperature controlled intrinsic defect engineering in ZnWO4 lattice. Our results demonstrate that color tunable PL of Eu-doped ZnWO4 phosphors can be achieved by simply tuning the annealing temperature in the range of 400–1000 °C. Rather than the control of rare-earth concentration in ZnWO4, this work shows how to harness the defect engineering in ZnWO4 for color tunable emissions.

2. Experimental

Eu-doped ZnWO4 precursors were prepared via the co-precipitation technique. The starting materials Zn(NO3)2·6H2O, Eu(NO3)3·6H2O, and Na2WO4·2H2O were of analytical grade. At first, we prepared solution A by dissolving 0.04 mol of Zn(NO3)2·6H2O and 0.002 mol of Eu(NO3)3·6H2O in 100 mL deionized water, and solution B by dissolving 0.04 mol of Na2WO4·2H2O in another 100 mL deionized water. Then white precipitates were formed when the two solutions were slowly mixed with each other. The pH value of the mixture was adjusted to 9 by the addition of appropriate amount of ammonia. The solids in the mixture were separated from the filtrate with a piece of filter paper. After having been washed with deionized water, the solids were dried in an oven at 60 °C for about 24 h. Finally, the dried precipitates were divided into four shares for subsequent annealing in air at 400, 600, 800, and 1000 °C, respectively. The time of annealing at each temperature was 2 h. The nominally doping concentration of Eu3+ species in each sample was 5 mol %.
Eu2+ doped ZnWO4 standard was synthesized via self-propagating combustion method. 0.02 mole of zinc nitrate tetrahydrate, 0.0002 mole of europium nitrate hexahydrate and 0.6 mole of urea were dissolved into 50 mL deionized water to form a transparent solution. 0.02 mole of sodium tungstate dihydrate was dissolved in another 50 mL distilled water to form a transparent solution. White precipitates were formed when the two kinds of solutions were mixed. The mixture was transferred into a crucible for combustion in an air-filled furnace. The ignition temperature of the mixture was 800 °C. The large amount of reducing gases released in the process of combustion could reduce Eu3+ to Eu2+. The nominally doping concentration of Eu2+ species in each sample was 1 mol %.
We employed an X-ray diffractometer (D/max 2500 PC, Rigaku Corporation, Akishima, Japan) to analyze the phase of the samples. The wavelength of the incident X-ray for the recorded X-ray diffraction (XRD) curves was 0.15405 nm. The morphology analysis of the phosphors was completed on the scanning electron microscope (SEM) (S-4800, Hitachi, Tokyo, Japan). The elemental composition in the phosphors was obtained by the energy dispersive X-ray (EDX) spectroscopic analysis. The X-ray photoelectron spectra (XPS) of the phosphors were recorded with the Escalab 250Xi spectrophotometer (Thermo Scientific, Waltham, MA, USA). Details on the measurements of the PL spectra, the diffused reflectance spectra and the PL lifetime spectra could be found elsewhere [22].
Using the density functional theory (DFT) module provided by Quantumwise (Atomistix ToolKit 11.8 package, Copenhagen, Denmark), we calculated the electronic structures of ZnWO4 in the framework of DFT. The exchange-correlation functional was described by the Perdew–Burke–Ernzerhof potential within the GGA+U scheme [23]. In our calculations, the lattice constants of ZnWO4 were a = 0.4691 nm, b = 0.572 nm and c = 0.4925 nm while the angle β = 90.64°. The experimental data on the lattice constants of ZnWO4 single crystals are a = 0.4691 nm, b = 0.5720 nm, c = 0.4925 nm, and β = 90.64°. Details on the density functional calculations can be found elsewhere [24].

3. Results and Discussion

3.1. XRD Analysis of Eu-Doped ZnWO4

Figure 1 represents the XRD curves of Eu-doped ZnWO4 precursors subjected to annealing at 400, 600, 800, and 1000 °C. In accordance with the standard XRD data for monoclinic ZnWO4, the diffraction peaks at 15.36°, 18.68°, 23.68°, 24.32°, 31.10°, 37.98°, 49.90°, and 51.52° in Figure 1 can be assigned to the reflections from the (010), (100), (011), (110), (020), (200), (220), and (130) planes of monoclinic ZnWO4, respectively [5,25]. The vertical bars in Figure 1 represent the XRD data of standard ZnWO4 (JCPDS no. 15–0774) [5]. Obviously, the peak at 30.40° is ascribed to the combined contributions from (111) and (−111) crystallographic planes since the two diffractions are located too closely [2,5]. For the same reason, the peak located at 36.20°can be ascribed to the contributions from the pair of planes (021) and (002), whereas the peak located at 41.24° can be ascribed to the contributions from the pair of planes (121) and (-121). As a result, the diffraction peaks of the four annealed samples can be indexed to the monoclinic phase ZnWO4, indicating the crystalline nature of Eu-doped ZnWO4 solids. Additionally, XRD analysis shows that the Eu-doped ZnWO4 precursors exhibit a broad band before annealing and when the annealing temperature is lower than 400 °C. The reason is that the diffraction (crystallized) domain is low enough to enlarge the peaks. Temperature is a significant variable in the crystallization of materials, it often influences nucleation and crystal growth of the material. In general, the molecules in amorphous metal oxides do not have sufficient time to arrange in the most stable positions, and they become frozen in positions other than those of a regular crystal. Consequently, a sufficiently high temperature can convert the internal structure of the solid from amorphous to crystalline, which accompanies a drastic mass transfer and usually results in increasing density.
Figure 2 depicts the unit cell of monoclinic ZnWO4 (a) and the metal-oxygen octahedrons in monoclinic ZnWO4 (b). As shown in Figure 2a, the unit cell of ZnWO4 has two ZnWO4 molecules, indicating that there are two Zn sites, two W sites and eight O sites in the unit cell of ZnWO4. According to the data listed in JCPDS no. 15–0774 [5], the lattice parameters of standard ZnWO4 are a = 0.4691 nm, b = 0.5720 nm, c = 0.4925 nm, and β = 90.64°. In crystalline ZnWO4, each W6+ ion is surrounded by six O ions to form a WO6 octahedron, and each Zn2+ ion is coordinated with six O ions to form a ZnO6 octahedron. The ZnO6 and WO6 octahedrons in ZnWO4 are represented in Figure 2b. As shown in Figure 2b, ZnWO4 consists of zig-zag ZnO6 and WO6 chains. For example, one zig-zag ZnO6 chain is made up of edge-sharing ZnO6 octahedrons, and one zig-zag WO6 chain is made up of edge-sharing WO6 octahedrons [26]. Moreover, each (ZnO6–ZnO6)n chain is interlinked to four chains of (WO6–WO6)n and vice versa. In the light of the crystal structures shown in Figure 2, we can understand why there is no lattice expansion upon Eu doping of ZnWO4. Shannon gave a value of 74 pm for a 6-fold coordination which is observed in the Zn tungstate. However, the ionic radii mismatch between Zn and Eu does not give any change in the cell parameters probably due to the weak Eu doping amount [27]. Obviously, six coordinated W6+ sites (r = 60 pm) are too small for Eu3+ to occupy. Thus, the lattice expansion in Eu-doped ZnWO4 grains can be neglected when the doping concentration of is 5 mol % only.
Figure 3 illustrates the Rietveld diffractograms of Eu-doped ZnWO4 precursors subjected to annealing at different temperatures. The raw XRD data are represented by the open circles, and the calculated Rietveld diffractograms are represented by the solid green lines in Figure 3. [21,28]. It can be seen in Figure 3 that the calculated Rietveld diffractograms agree very well with the XRD curves a, b, and c but not for d. In XRD curve d, the diffraction intensities of the (100), (110), and (220) planes deviate significantly from those of calculated ones. The lattice parameters calculated from the Rietveld refinement are listed in Table 1. For the convenience of comparison, the lattice parameters of ZnWO4 single crystals are listed in the last row in Table 1. For example, the calculated lattice parameters are a = 0.4724 nm, b = 0.5725 nm, c = 0.4943 nm, and β = 90.9546° for Eu-doped ZnWO4 precursors subjected to annealing at 400 °C. The calculated errors are ±0.0003 nm for the lattice lengths and ±0.0005° for β.
Figure 4 illustrates the differences between experimental and calculated XRD data of Eu-doped ZnWO4 precursors subjected to annealing at different temperatures: (a) 400 °C; (b) 600 °C; (c) 800 °C; and (d) 1000 °C. It can be seen in Figure 4 that good fit can be achieved for the three samples annealed at 400, 600, and 800 °C. However, it is surprising to observe a very bad fit for the 1000 °C annealed sample whereas the XRD data is correct. We are not sure what happens to the sample, and further investigation is required.

3.2. SEM Characterization of Eu-Doped ZnWO4

Figure 5 shows the SEM micrographs of Eu-doped ZnWO4 precursors subjected to annealing at 400, 600, 800, and 1000 °C. As shown in Figure 5a, the Eu-doped ZnWO4 grains exhibit irregular shapes. According to crystal growth theory, the equilibrium shape of a crystal is determined by the Gibbs free energy, and the condition for minimization of the Gibbs free energy of a crystal formed at a constant volume is reduced to the minimization of surface energy. This is the Wullf’s theorem. The equilibrium shape of a liquid droplet is evidently a sphere. The case of a crystal is more complicated as the latter is confined by crystal faces with different crystallographic orientations which have different specific surface energies. This means that the surface energy depends on the crystallographic orientations, and the formation of non-spherical ZnWO4 grains is therefore thermodynamically favorable. Obviously, the average particle size of the ZnWO4 grains is about 80 nm, the standard deviation of the particle size distribution is calculated to be 30 nm. In principle, these ZnWO4 grains can grow bigger if the annealing temperature gets higher. Indeed, Figure 5b depicts that bigger Eu-doped ZnWO4 grains are resulted as the thermal annealing temperature is raised to 600 °C. It can be seen in Figure 5b that the ZnWO4 grains are irregular in shape with their particle sizes in the range of 80–800 nm. The average particle size of the ZnWO4 grains is about 400 nm with the standard deviation of the particle size distribution of about 190 nm. We can see that the Eu-doped ZnWO4 grains are in the nanometer scale when the annealing temperature is 600 °C or less. Figure 5c shows that the micrometer sized ZnWO4 grains are resulted when the annealing temperature is elevated to 800 °C. The particle size of ZnWO4 grains ranges from 2 to 8 μm. The mean value of the particle sizes is about 4 μm with the standard deviation of the the distribution of 2 μm. Finally, these ZnWO4 grains can continue their growth if the annealing temperature is increased further. Figure 5d shows that the lengths of ZnWO4 grains are increased to about 20 μm when the annealing temperature is elevated to 1000 °C. In particular, these ZnWO4 grains are rod-like with their aspect ratio ranging from 2 to 3. Overall, the micrographs in Figure 5 have demonstrated that the control of annealing temperature has significant impacts on both the particle size and the morphology of ZnWO4 grains. The annealing temperature dependent particle size and morphology of Eu-doped ZnWO4 can generate significant effects on their surface area and surface defects, which in turn lead to dramatic changes in the optical absorption and emissions of Eu-doped ZnWO4.
The power of solid-state annealing is the change in Gibbs free energy (or chemical potential energy) of the collections of ZnWO4 grains. The minimization of Gibbs free energy creates material transfer between particles through grain boundaries. Therefore, annealing any solid state crystalline material to sufficient temperatures will enable Oswald ripening, i.e., larger grains grow bigger at the expense of smaller grains. The growth of smaller grains to larger ones would reduce the specific surface areas due to the reduction in particle numbers and the elimination in pores, which in turn lead to the deduction in surface defect concentration. Since both the grain-boundary diffusion and the volume diffusion rely heavily upon temperature, the control of temperature is critically important to the particle size and morphology of Eu-doped ZnWO4. For example, grain growth typically goes exponentially with temperature but only linearly with time at a given temperature. This is the generalized Arrhenius’ plot. That is the reason why ZnWO4 grains grow bigger and bigger when the annealing temperature gets higher and higher.

3.3. Elemental Analysis of Eu-Doped ZnWO4

Figure 6 illustrates the EDX spectrum of Eu-doped ZnWO4 precursors subjected to annealing at 800 °C. The X-ray emission peaks at 0.53, 1.02, 1.78, and 2.13 keV can be readily attributed to the characteristic emissions of O (Kα1), Zn (Lα1,2), W (Mα1), and Au (Mα1), respectively. The two peaks at 5.85 keV and 6.46 keV in Figure 6 are assigned to the characteristic emissions of Eu (Lα1,2) and Eu (Lβ1), respectively. The peak at 8.40 keV is originated from the characteristic emissions of W (Lα1). As a contrast, the peak at 8.64 keV is contributed by the characteristic emissions of Zn(Kα1) at 8.64 keV and Zn (Kα2) at 8.62 keV. Similarly, the characteristic emission of Au (Kα1) at 9.71 keV is merged with that of W (Lβ1) at 9.67 keV. As noted previously, the presence of Au element in the specimen was originated from Au sputtering for SEM analysis [29,30]. It can be seen clearly that elements Zn, O, W, and Eu are present in the sample. Thus, it can concluded safely that our sample consists of four kinds of chemical elements Zn, O, W, and Eu. Furthermore, the atomic percentages of the chemical elements can also be quantitatively derived on the basis of the EDX characterizations. After the removal of Au atoms from consideration, the atomic percentages are calculated to be 22.6 at %, 26.5 at %, 49.0 at % and 1.90 at % for elements Zn, W, O and Eu, respectively. The precision of the data is ±0.04%. For Eu-doped ZnWO4 grains with doping level of 5 mol %, the ideal atomic percentages are 16.53 at %, 16.53 at %, 66.11 at % and 0.83 at % for elements Zn, W, O, and Eu, respectively. Obviously, the EDX technique is able to give a rough quantification of dopants in ZnWO4 phosphors.

3.4. X-ray Photoelectron Spectroscopic Characterization of Eu-Doped ZnWO4 Grains

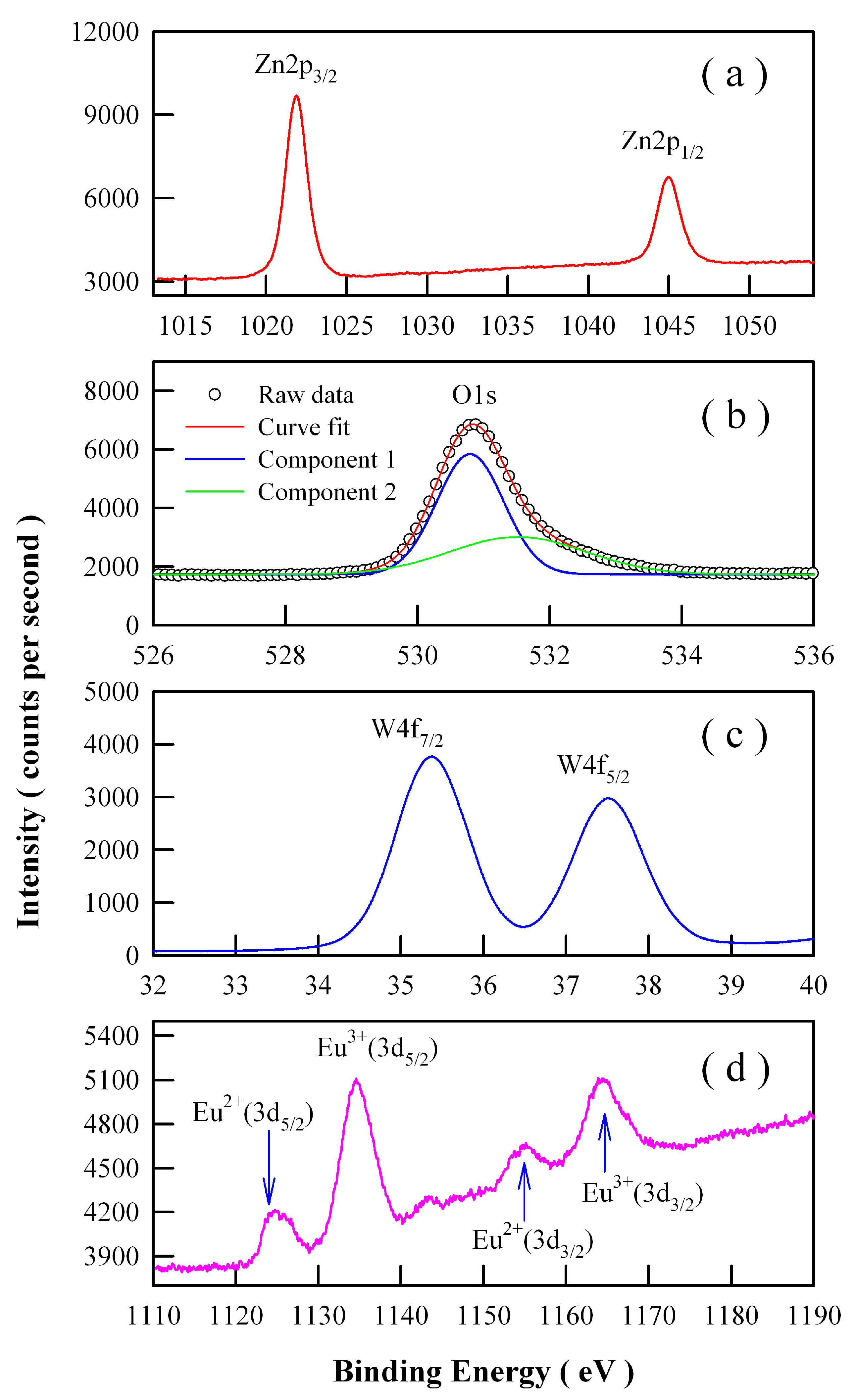
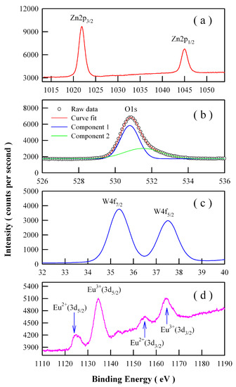
Ionic Eu can exist in the valence state of Eu3+ or Eu2+ [21,22]. Therefore, we have to explore the chemical states of Eu ions in the phosphors. High-resolution XPS spectra are shown in Figure 7 for Zn 2p, O 1s, W 4f, and Eu 3d in Eu-doped ZnWO4 nanoparticles derived by annealing the precursor at 400 °C. As can be seen clearly in Figure 7a, the XPS peaks of Zn 2p3/2 at 1021.88 eV and Zn 2p1/2 at 1044.98 eV correspond to the typical Zn2+ oxidation states in ZnWO4 nanoparticles. As shown in Figure 7b, the peak of the XPS spectrum of O 1s is located at 530.88 eV. Detailed analysis shows that this spectrum has two components. The first component is peaked at 530.80 nm and the second component is peaked at 531.52 nm. The second component, which is centered at 531.52 eV, can be attributed to the oxygen vacancies in ZnWO4. Figure 7c indicates that the XPS peaks of W 4f7/2 at 35.38 eV and W 4f5/2 at 37.48 eV can be assigned to W 4f7/2 and W 4f5/2, respectively. In particular, Figure 7d reveals that Eu ions exist in ZnWO4 grains in the form of mixed valence states. As shown in Figure 7d, four peaks can be identified at 1124.78, 1134.58, 1155.18, and 1163.88 eV. According to previous reports, the first two peaks in Figure 7d can be assigned to Eu2+ (3d5/2) and Eu3+ (3d5/2) core-levels whilst the last two peaks in Figure 7d can be assigned to Eu2+ (3d3/2) and Eu3+ (3d3/2) core-levels, respectively [31,32]. The binding energy of Eu2+(3d5/2) is 30.4 eV lower than that of Eu2+ (3d3/2), and the binding energy of Eu3+(3d5/2) is 29.3 eV lower than that of Eu3+(3d3/2). The area ratios of the XPS signals are approximately 1.48:5.15:1.00:3.37 for Eu2+(3d5/2): Eu3+(3d5/2): Eu2+(3d3/2): Eu3+ (3d3/2). With a standard of Eu2+ doped ZnWO4 (doping level 1 mol %), we measured its high-resolution XPS spectrum of Eu 3d3/2 and Eu 3d5/2. The peak areas of Eu2+ (3d5/2) and Eu2+ (3d3/2) are obtained by area integration of the spectrum. The comparison of the peak areas of Eu2+ (3d3/2) and Eu2+ (3d5/2) in Figure 7d with those of the reference sample, the concentration of Eu2+ in the Eu-doped ZnWO4 nanoparticles can be determined. In this way, the concentration of Eu2+ in Eu-doped ZnWO4 nanoparticles is derived to be 0.9 mol %, leaving the concentration of Eu3+ in Eu-doped ZnWO4 to be 4.1 mol %. Consequently, the data in Figure 7d point out the presence of Eu2+ and Eu3+ in ZnWO4 nanoparticles, although Eu3+ ions are the only doping source in the starting materials. Consequently, a fraction of Eu3+ ions must be self-reduced to Eu2+ ions [22].
It is known that oxygen vacancy (VO) can be easily produced in the lattice of ZnWO4 in the crystal growth phase. As one VO is formed in ZnWO4, one positively charged VO is left in the lattice. In the meanwhile, one negatively charged oxygen species is released into the lattice in order to keep the lattice neutral. When the negatively charged oxygen species diffuses randomly in the lattice, it donates its electrons with the liberation of oxygen out of the lattice. This process can be described by Equation (1)
2 O 2 e O 2
In this way, the vacancy VO would act as a donor of electrons. Eu3+ ion can be reduced to Eu2+ by capturing the released electron. A detailed discussion on the self-reduction of Eu3+ to Eu2+ can be found elsewhere [22], and this process can be described by Equation (2)
Eu 3 + + e Eu 2 +

3.5. Photoluminescence Spectra of Eu-Doped ZnWO4 Phosphors

Figure 8 depicts the PL spectra of Eu-doped ZnWO4 precursors subjected to annealing at 400, 600, 800, and 1000 °C. The open circles in Figure 8 represent the raw PL data. The general feature in Figure 8 is that each PL spectrum is composed of a broad PL band centered at about 480 nm and the three sharp emissions peaking at 590, 612, and 625 nm, respectively. It is known that trivalent rare-earth ions are characterized by an electronic structure consisting of an unfilled inner 4f shell and outer filled 5s and 5p shells. When these trivalent rare-earths are present in a solid, the effects of the crystalline field are a small perturbation on the 4f states because of the shielding of the outer electron shells. Since the interaction with host is weak, their emission spectrum is nearly independent of host lattice. Such kind of host independence was evidenced by the characteristic emissions of Eu3+, Tb3+, and Dy3+ in a variety of hosts [21,22,24,28,29,30,33]. The other feature of trivalent rare-earth ions is that their 4f–4f transitions are parity forbidden. In the case of Eu3+, the electric-dipole transitions between the 5D0 and 7F2 states of Eu3+ ion are parity-forbidden although the much weaker magnetic dipole transition between 5D0 and 7F1 is allowed. In practice, however, it turns out that intra-configurational electric-dipole transitions are often dominant since even a small admixture with odd symmetry components to the electronic wave-function of 4f configuration causes significant changes in the transition probabilities and allows the electric-dipole transitions. Therefore, the dominant peak centered at about 612 nm in Figure 8 can be attributed to the hypersensitive 5D07F2 transition of Eu3+ ions in ZnWO4 lattice whereas the peak with low intensity at about 590 nm is assigned to the 5D07F1 transition. It can be clearly seen that the peak intensity of the dominant electric-dipole transition is much larger than that of the magnetic dipole transition, demonstrating that Eu3+ ion occupies non-centrosymmetric sites in the host lattice.
Each of the broad PL band in Figure 8 can be decomposed into two Gaussian components according to Equation (3)
I ( λ ) = I 1 exp [ ( λ λ 1 ) 2 2 σ 1 2 ] + I 2 exp [ ( λ λ 2 ) 2 2 σ 2 2 ]
where I (λ) is the PL intensity recorded at wavelength λ; I1, λ1 and σ1 are the pre-exponential factor, mean value and standard derivation of the first Gaussian component, respectively. Meanwhile, I2, λ2, and σ2 are the pre-exponential factor, mean value, and standard derivation of the second Gaussian component, respectively [34]. For brevity, the first Gaussian component is denoted as the blue PL component whilst the second Gaussian component is denoted as the green PL component, which are represented by the solid blue curve and the solid green curve for each PL spectrum in Figure 8, respectively. The red curve in each panel is the sum of the two components. The fitting parameters of the two-component Gaussian decomposition of the PL spectra are listed in Table 2. The most striking feature in Figure 8 is the coexistence of the blue PL component and green PL component, which suggests the presence of two kinds of distinctly different luminescence centers in ZnWO4. The second most striking feature in Figure 8 is that both the peak positions and the PL intensities of the two PL components are annealing temperature dependent. For example, the peak position of the blue PL component varies in the range of 448.12 to 470.69 nm in the meanwhile the peak position of the green PL component varies in the range of 504.19 to 538.08 nm. Moreover, with respect to red emissions of Eu3+ at 612 nm, the PL intensity of ZnWO4 host increases gradually to its maximum as the annealing temperature increases from 400 through 600 to 800 °C, and then it turns its head down as the annealing temperature is increased further from 800 to 1000 °C. The annealing temperature dependent PL bears significance in defect engineering of the emissions from ZnWO4 host. For instance, it can be employed to realize color tunable emissions if the blue emissions from ZnWO4 host are combined to the red emissions from Eu3+ ions.
The broad PL band from ZnWO4 host is often attributed to the charge transfer between oxygen and tungsten ions in [WO6]6− molecular complex [1]. However, such assignment is quite elusive for physicists. In the view of solid-state physics, the origins of PL can be classified into band edge emission and defect emission. Due to the large difference between the bandgap of ZnWO4 (about 4 eV) and its emission energy (around 2.6 eV), we can exclude the possibility of band edge recombination as the candidate of the broadband emissions of ZnWO4 grains. In actual cases, defect emissions often dominate the PL properties in diverse metal oxides such as HfO2 [35], Zn5Mo2O11 [28], SrAl2O4 [36,37], BaAl2O4 [33], and ZnMO4 [38]. This also holds true for ZnWO4 grains, where coordinatively unsaturated vacancies are active sites for luminescence. This feature allows us to assign the broad PL band peaking at about 480 nm to certain kinds of defects in ZnWO4. The most common defects in ZnWO4 include O, W, and Zn vacancies, which are likely candidates of the luminescence centers. Although the relation between the intrinsic defects and the luminescence centers in ZnWO4 are not clearly identified yet, the PL spectra in Figure 8 demonstrate that the PL properties of ZnWO4 host are highly governed by the number and the kind of defects in ZnWO4 lattice. The role of Eu3+ doping is to provide the red emission so that tunable PL from blue to red can be realized by combining the blue-green emission from ZnWO4 host with the red emission from Eu3+ dopant. Without the red emission from Eu3+ dopant, the emission color of ZnWO4 host can be tuned only in the blue-green spectral regime. Instead of varying the concentration of Eu3+ ions in ZnWO4, this work shows how to harness the defect engineering in ZnWO4 to achieve color tunable emissions even when the doping concentration is fixed.

3.6. Color Coordinates of Eu-Doped ZnWO4

Once the PL spectrum of Eu-doped ZnWO4 phosphors is modified by the control of annealing temperature, the perception color will be changed correspondingly. On the basis of the PL spectral data, the chromaticity coordinates can be calculated in the Commission Internationale de L’Eclairage (CIE) 1931 XYZ color space [28]. Figure 9 depicts the evolution of the luminescence color of Eu-doped ZnWO4 precursors with annealing temperature. The solid line in Figure 9 is for eye guidance only. After annealing at 400 °C for 2 h, the luminescence color of the phosphor is purplish pink with its color coordinates of (0.333, 267). After annealing at 600 °C for 2 h, the luminescence color of the phosphor is changed to greenish blue with its color coordinates of (0.193, 0.242). After annealing at 800 °C for 2 h, the luminescence color of the phosphor is also greenish blue with its color coordinates of (0.223, 0.284). After annealing at 1000 °C for 2 h, the luminescence color of the phosphor is white with its color coordinates of (0.280, 0.331). Among the four phosphors, the chromaticity coordinates (0.280, 0.331) are very close to the achromatic point whose coordinates are (0.333, 0.333). It is known that white light-emitting phosphors are critically important in solid state lighting industry. There is reason to believe that white light emissions can be achieved in Eu-doped ZnWO4 phosphors by fine adjustment of the annealing temperature. Our work demonstrates that color tunable emissions can be achieved by thermal annealing the phosphors at different temperatures. Rather than controlling the doping concentration of Eu3+ ion [5,8,13,14,15], the color tunable PL from Eu-doped ZnWO4 is realized by engineering the intrinsic defect emissions from ZnWO4 lattice through variations of annealing temperature. Therefore, the strategy of tuning the emission color of Eu-doped ZnWO4 turns out to be a strategy on how to control the intrinsic defects in ZnWO4 in an environmentally friendly, cost-effective, scalable, and controllable manner.
The annealing temperature dependent PL suggests the feasibility to tune the PL color of Eu-doped ZnWO4. Figure 10 shows the luminescence photos of Eu-doped ZnWO4 precursors subjected to annealing at 400, 600, 800, and 1000 °C. The calculated color coordinates are displayed in each photo. It is obvious in Figure 10 that the luminescence color of Eu-doped ZnWO4 depends on the annealing temperature. In our case, tunable color is realized by mixing the blue emissions from ZnWO4 lattice with the red emissions from Eu3+ ions. Such a change in the luminescence color can be understood when we refer to the dramatic changes in the broadband PL intensity as the annealing temperature increases from 400 to 1000 °C. In a similar way, Zhai et al. reported that white light-emitting can be obtained by combining the bluish emission of tungstate group with the characteristic emission of Eu3+ and Dy3+ [15]. With the method described earlier [21], the correlated color temperatures are calculated to be 5437, 50,758, 18,053, and 8437 K for the four Eu-doped ZnWO4 phosphors which were annealed at 400, 600, 800, and 1000 °C, respectively. Our work demonstrates that the emission color of Eu-doped ZnWO4 can be manipulated over a significant range through variations of the annealing temperature.

3.7. Electronic Structures of Perfect ZnWO4 and Defect-Containing ZnWO4

Many kinds of defects are present in practical solids. Examples of the intrinsic defects in ZnWO4 include vacancies (O vacancy, Zn vacancy, W vacancy), interstitials (O interstitial, Zn interstitial, W interstitial) and antisites (O antisite, Zn antisite, W antisite), etc. After having considered the high formation energies of antisites, the three kinds of vacancies are the most probable intrinsic defects in ZnWO4 with sufficiently high population. Even in the absence of doping agent Eu3+ ions, O, W, and Zn vacancies occur naturally in the lattice of ZnWO4 at any given temperature up to the melting point of the material. A Kröger–Vink representation of Schottky defect formation in ZnWO4 can be described by Equation (4)
0 V Z n + V W + 4 V O
It can be seen in Equation (4) that VO can act as electron trap since it is positively charged. Similarly, both Zn vacancy and W vacancy can act as hole trap since they are negatively charged. As discussed above, intrinsic defects in ZnWO4 have played important roles in the broadband emissions. Therefore, the electronic structures of intrinsic defects in ZnWO4 are critically important to understand the absorption and luminescent properties of ZnWO4. Density functional calculations can be reliably applicable to the electronic structure calculations for a variety of materials [21,23,24,30]. In the framework of GGA+U, we performed electronic structure calculations for perfect ZnWO4 and defect-containing ZnWO4 by defining U5d = 10 eV for W.
Figure 11 presents the calculated band structures and density of states of perfect ZnWO4. As shown in Figure 11a, both the maximum of valence band (VB) and the minimum of conduction band (CB) are located at Z point, confirming that ZnWO4 is a semiconductor with direct bandgap. The bandgap value is derived to be 4.04 eV. Moreover, it can be seen that some bands at the bottom of CB are not flat, which is the typical character of a semiconductor. In principle, the bandgap value can also be calculated from the density of states of defect-free ZnWO4. On the basis of the density of states shown in Figure 11b, the calculated bandgap is 4.04 eV, too, for defect-free ZnWO4. The most prominent feature in Figure 11b is that the bandgap of ZnWO4 is free of any impurity energy levels. The second most prominent feature in Figure 11b is that perfect ZnWO4 possesses remarkably sharp band edges. On the basis of ab initio study, Kalinko et al. reported that ZnWO4 is a direct semiconductor with its bandgap value of around 2.31 eV [39]. In our GGA+U calculations, the bandgap values are 2.64, 2.87, 3.12, 3.41, 3.72, and 4.04 eV when U5d = 0, 2, 4, 6, 8, 10 eV for W, respectively. So U5d = 10 eV is the best value to fit the experimental bandgap data. By measuring the diffuse reflectance spectrum of ZnWO4 film coated on quartz substrate, Zhao et al. reported that the experimental bandgap of the ZnWO4 film was about 4.01 eV [40]. It can be seen that our derived bandgap value is in reasonable agreement with the experimental bandgap value reported by Zhao et al.
VO is one of the most fundamental defects in ZnWO4, it influences many physical properties of the material such as charge trapping and recombination. Therefore, detailed knowledge of the electronic structures of VO is essential in understanding the PL of ZnWO4. In order to model VO in ZnWO4, we built a 2 × 2 × 2 super cell which contains 64 O sites, 16 W sites and 16 Zn sites. After one O site was removed from this super cell, oxygen deficient ZnWO4 is resulted with the atomic concentration of VO in ZnWO4 up to 1 at %. For simplicity, this oxygen deficient ZnWO4 is denoted as ZnWO4−δ where δ = 0.0625. Figure 12 represents the calculated band structures and density of states of oxygen deficient ZnWO4. As shown in Figure 12a, the calculated bandgap of VO bearing ZnWO4 is 4.04 eV when U5d = 10 eV for W. The most prominent feature in Figure 12 is that VO can introduce two defect energy levels in the bandgap of ZnWO4, one of which is located at EV + 1.85 eV whilst the other is located at EV + 3.71 eV. The two defect energy levels are clearly marked in red, as shown Figure 12b. Since it is positively charged, VO can act as electron trap sites as well as luminescence center as they do in HfO2 [35].
Besides VO, tungsten vacancy (VW) can be also present in ZnWO4. Understanding the electronic structures of VW quantitatively is important for developing this family of materials for potential applications, which include emission color tunable phosphors. In order to model VW in ZnWO4, we built a 2 × 2 × 2 super cell which contains 64 O sites, 16 W sites and 16 Zn sites. After one W site was removed from this super cell, tungsten deficient ZnWO4 is resulted with the atomic concentration of VW in ZnWO4 up to 1 at %. For simplicity, this tungsten deficient ZnWO4 is denoted as ZnW1−δO4 where δ = 0.0625. Figure 13 shows the calculated band structures and density of states of tungsten deficient ZnWO4. As can be seen in Figure 13a, the bandgap remains direct with the value of 4.05 eV. In contrast to the clean bandgap of perfect ZnWO4, the bandgap of tungsten deficient ZnWO4 contains a lot of defect energy levels. It can be seen clearly in Figure 13b that the defect energy levels created by VW span from EV + 0.1 eV to EV + 0.7 eV, where the VW introduced defect energy levels are marked in blue. The peak of VW created band is located at EV + 0.62 eV. Since it is negatively charged, VW can act as hole trap sites as well as luminescence center.
As the other typical defect, zinc vacancy (VZn) can be present in ZnWO4. Being negatively charged, VZn can also act as charge carrier traps and luminescence centers. Therefore, we have to take the Zn defect states into account in order to understand the defect emissions from ZnWO4. In order to model VZn in ZnWO4, we built a 2 × 2 × 2 super cell which contains 64 O sites, 16 W sites, and 16 Zn sites. After one zinc site was removed from this super cell, zinc deficient ZnWO4 is resulted with the atomic concentration of VZn in ZnWO4 lattice up to 1 at %. For simplicity, this tungsten deficient ZnWO4 is denoted as Zn1−δWO4 where δ = 0.0625. Figure 14 shows the calculated band structures and density of states of zinc deficient ZnWO4. As marked in pink in Figure 14a, there are some zinc defect energy levels in the bandgap of ZnWO4, but they are very close to the top of VB (<0.1 eV). From a perfect Zn site, the Kröger–Vink notation for the defect reactions of VZn in ZnWO4 can be described by Equation (5)
Z n Z n × V Z n + Z n i
In Equation (5), the masses, sites and charges are balanced for the intrinsic defects. Equation (5) indicates that the creation of a VZn from a zinc site in ZnWO4 yields one negatively charged defect VZn and one positively charged zinc interstitial defect. The creation of a VZn is quite similar to the p-type doping silicon with phosphorus since positive charges are released into the host lattice. Obviously, the negatively charged VZn can work as an acceptor with the capability of trapping holes in ZnWO4. It is interesting to note that the acceptor levels in the forbidden band are closely packed above the VB of ZnWO4. This phenomenon can be understood in the light of weak interaction between the zinc interstitial defect and the negatively charged VZn. The low ionization energy for the release a zinc interstitial defect is responsible for are closed packed zinc defect energy levels just above the VB of ZnWO4.
Belong to 4f–5d transition, Eu2+ doped nanomaterials generally show a broad PL band ranging from ultraviolet through visible to infrared regime. However, Eu2+ doped ZnWO4 grains exhibit no extra PL band in the visible range when compared to undoped ZnWO4 grains. We recorded the PL spectrum of Eu2+ doped ZnWO4 with the 325 nm excitation wavelength. Figure 15a shows the PL spectrum of Eu2+ doped ZnWO4 with the doping concentration of 1 mol %. When compared to the PL spectrum of Eu3+ doped ZnWO4 as shown in Figure 15b, we can see that the presence of Eu2+ does not introduce an extra PL band in the visible spectral regime. It is possibly due to the low amount of Eu2+ ions in ZnWO4. Further exploration is required to study the Eu2+ emission in ZnWO4 host. As for Eu3+ doped ZnWO4, the 4f electrons of the dopant are sufficiently localized to form multiple atomic-like states in the bandgap of ZnWO4 due to the shielded 4f–shell. Since the DFT calculations are one-electron theory, the DFT with GGA scheme fails to accurately predict the multi-electron properties of Eu3+ ions in ZnWO4. Consequently, neither the energies of J multiplets of Eu3+ ions (7FJ, where J = 0–6) in the ground state nor the energy levels in the excited state (5D0) of Eu3+ ions can be deduced correctly from the DFT calculations. That is why we did not model the defect energy levels of Eu3+ in ZnWO4. Fortunately, both the energy levels of Eu3+ in ground state and in excited state vary by only a small amount in different hosts. Thus, the energy levels of 7FJ and 5D0 of Eu3+ in ZnWO4 can be determined by making use of the experimentally obtained energies for Eu3+. The only exception is that the exact location of the lowest energy level of Eu3+ (7F0) is unknown for the case of ZnWO4. Additionally, the PL spectrum of Eu3+ doped ZnWO4 with a better resolution is shown in Figure 15b. The excitation wavelength is 325 nm. It can be seen that the 5D07F0 emission peak is located at about 582 nm although it is very low in intensity.

3.8. Defect Absorption of Eu-Doped ZnWO4

Optical absorption spectroscopy is one of the most significant experimental techniques to investigate the optical absorption of defects in semiconducting crystals. In semiconductors, photoexcitation often results in strong band-edge absorption, and optical absorption of defects in semiconducting crystals is often observed in the ultraviolet and visible spectral regime. Figure 16 represents the absorption spectra of Eu-doped ZnWO4 precursors subjected to annealing at 400, 600, 800, and 1000 °C. As shown Figure 16, an extra absorption band appears in the range of 300–400 nm with its center at around 350 nm. Being superposed the strong absorption of ZnWO4 host, this absorption band is relatively weak in intensity as the annealing temperature is 400 °C, but it becomes stronger in intensity as the annealing temperature gets higher to 600 °C. When the annealing temperature is raised to 800 °C, the extra absorption band reaches its maximum, as shown in Figure 16c. After that, this extra absorption band starts to lose its intensity when the annealing temperature is elevated further to 1000 °C. It is noted that the peak position of this absorption band does not shift with the annealing temperature although dramatic changes in the absorption intensity are recorded. Alongside with the absorption spectra, the insets in Figure 16 illustrate the Tauc plots of the Eu-doped ZnWO4 phosphors. The optical bandgaps of the Eu-doped ZnWO4 phosphors, as indicated by the solid pink lines in the Tauc plots, are very close to 4.0 eV. Additionally, the defect absorptions can be seen clearly in the Tauc plots, too. As compared to others, the absorbance behavior of the curve at 800 °C is particular because the defect absorption band is so strong that the band-edge absorption is severely depressed. This case suggests that the defect concentration in ZnWO4 reaches the maximum. Therefore, the data in Figure 16 indicate that the defect concentration in ZnWO4 phosphors increases with the annealing temperature until it reaches to maximum at 800 °C. Then the defect concentration in ZnWO4 phosphors decreases as the annealing temperature increases further to 1000 °C.
Analysis of the intensity, width, and shape of the extra absorption band sometimes can yield a lot of information about the defect absorption in ZnWO4. The defect absorption band is centered at about 350 nm (3.54 eV). It is clear that the intensity of the extra absorption band heavily depends on the annealing temperature. When referred to defect energy levels of VO shown in Figure 12, it is found that this absorption band coincides in energy with the transition from VB to the defect level of VO at EV + 3.71 eV. Moreover, for condensed matter and solids, the shape of absorption bands are determined by the density of states of the initial state and the density of states of the final states that are involved into electronic transitions. The comparison of the extra absorption band in Figure 16 with the calculated DOS in Figure 11 clearly discloses that this absorption band is due to electronic transition from VB to the deep donor level of VO at EV + 3.71 eV. Consequently, the data in Figure 16 give evidence of VO related defect absorption at about 350 nm.
Thermal annealing is the process of subjecting a substance to the action of heat, but without melting or fusion, for the purpose of causing some change in its physical or chemical constitution. In our case, thermal annealing generates numerous defects in ZnWO4. It is well established that the population density of VO in a solid increases quickly with the increase in annealing temperature according to Equation (6)
n = A exp ( Q V / k T )
where n is the population density of VO in the solid, A is the proportionality constant, QV is activation energy for vacancy formation of VO in the host, T is the absolute temperature in Kelvin, and k is the Boltzmann constant [22]. It can be seen from Equation (6) that high population density of VO can be easily created in ZnWO4 when the annealing temperature is elevated. For this reason, the VO related absorption band gets stronger in intensity after having been annealed at a higher temperature. The higher the annealing temperature is, the more VO is produced in ZnWO4, which result in stronger defect absorption. It is worthwhile to note that the population density in Equation (6) stands for the population density of volume defects in ZnWO4 but not the population density of surface defects on ZnWO4 grains. Actually, the surface defects cannot be neglected in our case. As shown in Figure 5, the mean particle size of ZnWO4 grains increases from 80 nm to 20 μm as the annealing temperature increase from 400 to 1000 °C. At a given volume, the surface area of ZnWO4 grains derived at 1000 °C is about 1/4000 of the surface area of ZnWO4 grains derived at 400 °C. It is well known that the growth of larger grains would reduce the surface areas by particle number reduction and pore elimination, which inevitably leads to the decrease in the surface defect concentration. Obviously, the increase in the volume defect concentration will be mediated by the rapid decrease in the surface defect concentration as ZnWO4 grains grow bigger and bigger. It is anticipated that the increase in the volume defect is outnumbered by the decrease in surface defects at specific temperature, beyond which the total number of defects in ZnWO4 starts to decline. This is the reason why the defect absorption in Figure 16d is decreased significantly with respect to that in Figure 16c. The annealing temperature dependent defect absorption provides a novel avenue to the control of defect emissions in ZnWO4.

3.9. Possible Mechanism of Tunable PL from Eu-Doped ZnWO4

Figure 17 illustrates the possible mechanism of tunable PL from Eu-doped ZnWO4. As displayed in Figure 17, the bandgap value of ZnWO4 is assumed to be 4.0 eV, the VO introduced defect energy levels are located at EV + 1.85 eV and EV + 3.71 eV. VO is positively charged thus it can capture electrons. Meanwhile, VW introduced defect energy level is located at EV + 0.62 eV. VW is negatively charged thus it can capture holes. Under the UV excitation, electrons are pumped into the conduction band (CB) of ZnWO4, leaving holes in the VB of ZnWO4. This process is accompanied with strong band-edge absorption, which is shown by the Tauc plots in Figure 16. In addition to the band-edge absorption, defect absorption can sometimes be recorded, too. According to Figure 17, the transition from VB to the defect energy level of VO at EV + 3.71 eV should yield a defect absorption band peaking at 335 nm. Indeed, this extra absorption band is evidenced by the extra absorption spectra in Figure 16. After photoexcitation, the photo-generated electrons and holes will be relaxed via diverse paths. The first kind of radiative recombination is the electrons trapped by VO at EV + 3.71 eV to recombine with the holes trapped by VW at EV + 0.62 eV, resulting in the blue PL band peaking at around 428 nm (2.90 eV). The second kind of radiative recombination is the electrons in CB to recombine with the positively charged VO at EV + 1.85 eV, yielding the green PL band peaking at around 576 nm (2.15 eV). From this point of view, both the blue component and the green component of the broadband PL spectrum are readily explained. Obviously both the intrinsic defects VO and VW are involved into the radiative recombinations. When compared to the energies of the blue and the green PL bands in Figure 8, our predicted emission energies of the defect emissions roughly agree to the experimental values. The differences between the predicted emission energies in Figure 17 and the actual emission energies in Figure 8 rest on the fact that it is hard to exactly and reliably determine the defect energy levels with DFT calculation due to the limitations in semilocal approximations to DFT. The third kind of radiative recombination is the electrons in the excited state 5D0 of Eu3+ to recombine radiatively with the holes in its ground states 7F1,2, leading to the characteristic emissions peaking at 591 and 612 nm.
In the light of the mechanism proposed in Figure 17, we can understand the color tunable PL from Eu-doped ZnWO4. Standard color-mixing uses red, green and blue emissions that are adjusted to deliver the entire range of the color spectrum. In our case, tunable PL from Eu-doped ZnWO4 uses color mixing of the red emissions from extrinsic defects Eu3+ ions with the bluish emissions from intrinsic defects in ZnWO4 lattice. Since the interaction of rare earth dopants with host is weak, their emission spectra of trivalent rare earth dopants are nearly independent of host lattice. Consequently, how to adjust the output of the bluish emissions from ZnWO4 lattice has become the task of controlling the intrinsic defect emissions in ZnWO4. As disclosed by our DFT calculation and optical absorption, the bluish emissions from ZnWO4 lattice are originated from intrinsic defects VO and VW, whose population densities can be tuned by carefully controlling the annealing temperature. This is the reason why the output of the bluish emissions from ZnWO4 host can be tuned through the control of annealing temperature. When compared to the strategy of dopant concentration control, our approach is uniquely positioned to adjust the intrinsic defects in ZnWO4 lattice by the fine control of annealing temperature. This strategy provides new capability of tuning the emissions from rare earth doped ZnWO4 even when the rare earth doping concentration is fixed.

3.10. Time-Resolved PL Spectra of Eu-Doped ZnWO4

In order to gain more physical insight on the defect emissions in ZnWO4, we studied the time-resolved PL behaviors of Eu-doped ZnWO4. Figure 18 depicts the time-resolved PL spectra of Eu-doped ZnWO4 precursors subjected to annealing at 400, 600, 800, and 1000 °C. The excitation wavelength is 375 nm and the detection wavelength is 480 nm. The raw data are represented by the circles, and the fitted curves are represented by the solid lines represent. It is found that each decay curve in Figure 18 can be fitted with one triple exponential function as described in Equation (7)
I ( t ) = A + B 1 exp ( t / τ 1 ) + B 2 exp ( t / τ 2 ) + B 3 exp ( t / τ 3 )
where I(t) stands for the PL intensity at time t, A is the baseline, Bi is the ith pre-exponential factor of the decay components, and τi is the ith decay time component (i = 1–3). The fitting parameters of the time-resolved PL spectra are listed in Table 3. The parameter χ2 in Table 3 represents the goodness of fit, and the average lifetime <τ> is calculated by using the Equation (8) [41].
τ = ( A 1 τ 1 2 + A 2 τ 2 2 + A 3 τ 3 2 ) / ( A 1 τ 1 + A 2 τ 2 + A 3 τ 3 )
These parameters bear important information on the kinetics of carrier recombination. For example, the decay time constants are τ1 = 0.92 ns, τ2 = 3.52 ns and τ3 = 10.47 ns with <τ> = 2.25 ns for Eu-doped ZnWO4 precursors subjected to annealing at 400 °C. It is noted that τ1 is at the limit of the measurement capability of the instrument and therefore it merely represents the order of the short decay time constant [21,28,37,38]. The coexistence of τ2 and τ3 for each annealed sample suggests the presence of two different radiative recombination paths in ZnWO4. Indeed, the two radiative recombination paths are determined in Figure 8 and Figure 17. Alternatively, we have to note that the average PL lifetimes in Table 3 are particle size dependent. As can be seen in Table 3, the average lifetimes of first two samples (i.e., ZnWO4 nanocrystals) are less than 10 ns whereas those of the last two samples (i.e., ZnWO4 microcrystals) range from 1.19 μs to 1.77 μs. The average lifetime of ZnWO4 microcrystals is about 100 times longer than that of ZnWO4 nanocrystals, indicating the dramatic reduction in the non-radiative recombination paths in ZnWO4 microcrystals. When compared to nanocrystals, ZnWO4 microcrystals are characteristic of much less surface defects due to their reduced surface area. As is well known, these surface defects may act as PL quenching centers. Thus, the reduction in the surface defects is responsible for the prolonged average lifetimes of ZnWO4 microcrystals.
The PL lifetimes of Eu emissions are usually longer than nanoseconds. In some cases, it can be extended into microseconds and even milliseconds. Figure 19 shows the time-resolved PL spectra of Eu-doped ZnWO4 precursors subjected to annealing at 400, 600, 800, and 1000 °C. The excitation wavelength is 375 nm and the detection wavelength is 612 nm. Circles in Figure 19 represent the experiment data while the solid lines represent the fitted curves. It is found that each PL decay curve in Figure 19 can be fitted with one triple exponential function. The fitting parameters of the time-resolved PL spectra of Eu-doped ZnWO4 phosphors are listed in Table 4. According to Equation (8), the average PL lifetimes of Eu3+ emissions at 612 nm are calculated to be 24.28, 5.20, 5.77 and 8.86 µs for the Eu-doped ZnWO4 precursors subjected to annealing at 400, 600, 800, and 1000 °C, respectively. As documented in the literature, Wang et al. reported that the average PL lifetime of Pr3+ doped ZnWO4 at 607 nm was 5.40 µs [41]. It is clear that the average PL lifetimes of Eu3+ emissions and Pr3+ emissions in ZnWO4 are at the same order of magnitude. Since Eu is supposed to be located in a unique crystallographic site, namely Zn, we tried to fit each of the PL decay curves in Figure 19 with a unique exponential function. The decay time constants are derived to be 1.879, 1.548, 3.544, and 2.995 μs for the samples annealed at 400, 600, 800, and 1000 °C, respectively. In the meanwhile, the values of goodness of fit are 1.536, 1.808, 2.617, and 2.208 for the samples annealed at 400, 600, 800, and 1000 °C, respectively. When compared to the fit with the sum of three exponential functions, the fit with a unique exponential function gives a much clearer picture of the underlying physical processes but suffers more from statistical reliability. It is obvious that much more work is needed in order to interpret the time-resolved PL spectra in Figure 19.

4. Conclusions

Eu-doped ZnWO4 phosphors were synthesized via the co-precipitation method followed by subsequent annealing at temperature in the range of 400–1000 °C. SEM characterizations show that Eu-doped ZnWO4 nanocrystals can grow into microcrystals as the annealing temperature increases from 400 to 1000 °C. It is found that the PL of Eu-doped ZnWO4 is tunable through the control of the annealing temperature. By mixing the intrinsic defect emissions from ZnWO4 host with the red emissions from extrinsic defects Eu3+ in the host, the luminescence color of Eu-doped ZnWO4 can be adjusted in a controllable way, from purplish pink through greenish blue to white, through the control of annealing temperature. Density functional calculations and optical absorptions have confirmed that thermal annealing created intrinsic defects in ZnWO4 lattices play a pivotal role in the color tunable emissions of the Eu3+ doped ZnWO4 phosphors. Our results have demonstrated that intrinsic defect engineering in ZnWO4 lattice is an alternative and effective strategy for tuning the emissions of Eu3+ doped ZnWO4. This work shows how to harness the intrinsic defects in ZnWO4 for the preparation of color tunable light-emitting phosphors, in which the emission tuning is uniquely positioned to adjust the intrinsic defects in ZnWO4 lattice by the fine control of the annealing temperature. Under the framework of intrinsic defect engineering in host lattice, this strategy provides new capability of tuning the emissions from rare earth doped ZnWO4 even when the rare earth doping concentration is fixed.

Author Contributions

Investigation, L.Y.; Writing-Original Draft Preparation, B.-g.Z.; Writing-Review & Editing, Y.M.H.

Funding

This research was funded by National Natural Science Foundation of China under grant numbers 11574036 and 11604028.

Acknowledgments

Xiazhang Li was acknowledged for the TEM characterizations.

Conflicts of Interest

The authors declare no conflict of interest.

References

  1. Kraus, H.; Mikhailik, V.B.; Ramachers, Y.; Day, D.; Hutton, K.B.; Telfer, J. Feasibility study of a ZnWO4 scintillator for exploiting materials signature in cryogenic WIMP dark matter searches. Phys. Lett. B 2005, 610, 37–44. [Google Scholar] [CrossRef]
  2. Fu, H.; Lin, J.; Zhang, L.; Zhu, Y. Photocatalytic activities of a novel ZnWO4 catalyst prepared by a hydrothermal process. Appl. Catal. A Gen. 2006, 306, 58–67. [Google Scholar] [CrossRef]
  3. Yamaga, M.; Marshall, A.; O’Donnell, K.P.; Henderson, B. Polarized photoluminescence from Cr3+ ions in laser host crystals III. ZnWO4. J. Lumin. 1990, 47, 65–70. [Google Scholar] [CrossRef]
  4. Lou, Z.; Hao, J.; Cocivera, M. Luminescence of ZnWO4 and CdWO4 thin films prepared by spray pyrolysis. J. Lumin. 2002, 99, 349–354. [Google Scholar] [CrossRef]
  5. Zhai, Y.Q.; Li, X.; Liu, J.; Jiang, M. A novel white-emitting phosphor ZnWO4:Dy3+. J. Rare Earths 2015, 33, 350–354. [Google Scholar] [CrossRef]
  6. He, H.Y. Preparation and luminescence property of Sm-doped ZnWO4 powders and films with wet chemical methods. Phys. Status Solidi B 2009, 246, 177–182. [Google Scholar] [CrossRef]
  7. Wen, F.S.; Zhao, X.; Huo, H.; Chen, J.S.; Shu-Lin, E.; Zhang, J.H. Hydrothermal synthesis and photoluminescent properties of ZnWO4 and Eu3+-doped ZnWO4. Mater. Lett. 2002, 55, 152–157. [Google Scholar] [CrossRef]
  8. Chen, X.P.; Xiao, F.; Ye, S.; Huang, X.Y.; Dong, G.P.; Zhang, Q.Y. ZnWO4:Eu3+ nanorods: A potential tunable white light-emitting phosphors. J. Alloy. Compd. 2011, 509, 1355–1359. [Google Scholar] [CrossRef]
  9. Dong, T.T.; Li, Z.H.; Ding, Z.X.; Wu, L.; Wang, X.X.; Fu, X.Z. Characterizations and properties of Eu3+-doped ZnWO4 prepared via a facile self-propagating combustion method. Mater. Res. Bull. 2008, 43, 1694–1701. [Google Scholar] [CrossRef]
  10. Dai, Q.L.; Song, H.W.; Bai, X.; Pan, G.H.; Lu, S.Z.; Wang, T.; Ren, X.G.; Zhao, H.F. Photoluminescence properties of ZnWO4:Eu3+ nanocrystals prepared by a hydrothermal method. J. Phys. Chem. C 2007, 111, 7586–7592. [Google Scholar] [CrossRef]
  11. Yan, B.; Lei, F. Molten salt synthesis, characterization and luminescence of ZnWO4:Eu3+ nanophosphors. J. Alloy Compd. 2010, 507, 460–464. [Google Scholar] [CrossRef]
  12. Li, C.Y.; Du, X.D.; Yue, D.; Wang, M.N.; Huang, J.B.; Wang, Z.L. Color changing from white to red emission for ZnWO4:Eu3+ nanophosphors at different temperature. Mater. Lett. 2016, 171, 27–29. [Google Scholar] [CrossRef]
  13. Li, C.Y.; Du, X.D.; Yue, D.; Gao, J.N.; Wang, Z.L. Full-color emission based ZnWO4 spherical nanoparticles through doping of rare earth ions. Mater. Lett. 2013, 108, 257–260. [Google Scholar] [CrossRef]
  14. Zhou, Y.; Xu, J.Y.; Zhang, Z.J.; You, M.J. The spectroscopic properties of Dy3+ and Eu3+ co-doped ZnWO4 phosphors. J. Alloy Compd. 2014, 615, 624–628. [Google Scholar] [CrossRef]
  15. Zhai, Y.Q.; Wang, M.; Zhao, Q.; Yu, J.B.; Li, X.M. Fabrication and luminescent properties of ZnWO4:Eu3+, Dy3+ white light-emitting phosphors. J. Lumin. 2016, 172, 161–167. [Google Scholar] [CrossRef]
  16. Guo, X.; Sun, Z.; Sietsma, J.; Yang, Y. Semiempirical model for the solubility of rare earth oxides in molten fluorides. Ind. Eng. Chem. Res. 2016, 55, 4773–4781. [Google Scholar] [CrossRef]
  17. Zhu, X.; Sun, S.; Liu, C.; Tu, G. Solubility of Re2O3 (Re = La and Nd) in light rare earth fluoride molten salts. J. Rare Earths 2018, 36, 765–771. [Google Scholar] [CrossRef]
  18. Zhang, S.; Hao, Z.; Zhang, L.; Pan, G.H.; Wu, H.; Zhang, X.; Luo, Y.; Zhang, L.; Zhao, H.; Zhang, J. Efficient blue-emitting phosphor SrLu2O4:Ce3+ with high thermal stability for near ultraviolet (~400 nm) LED-chip based white LEDs. Sci. Rep. 2018, 8, 10463. [Google Scholar] [CrossRef]
  19. Honmaa, T.; Toda, K.; Ye, Z.G.; Sato, M. Concentration quenching of the Eu3+-activated luminescence in some layered perovskites with two-dimensional arrangement. J. Phys. Chem. Solids 1998, 59, 1187–1193. [Google Scholar] [CrossRef]
  20. Han, B.; Zhang, J.; Wang, Z.; Liu, Y.; Shi, H. Investigation on the concentration quenching and energy transfer of red-light-emitting phosphor Y2MoO6:Eu3+. J. Lumin. 2014, 149, 150–154. [Google Scholar] [CrossRef]
  21. Huang, Y.M.; Li, M.Y.; Yang, L.; Zhai, B.G. Eu2+ and Eu3+ doubly doped ZnWO4 nanoplates with superior photocatalytic performance for dye degradation. Nanomaterials 2018, 8, 765. [Google Scholar] [CrossRef] [PubMed]
  22. Zhai, B.G.; Liu, D.; He, Y.; Yang, L.; Huang, Y.M. Tuning the photoluminescence of Eu2+ and Eu3+ co-doped SrSO4 through post annealing technique. J. Lumin. 2018, 194, 485–493. [Google Scholar] [CrossRef]
  23. Perdew, J.P.; Burke, K.; Ernzerhof, M. Generalized gradient approximation made simple. Phys. Rev. Lett. 1996, 77, 3865–3868. [Google Scholar] [CrossRef] [PubMed]
  24. Zhai, B.G.; Yang, L.; Ma, Q.L.; Liu, X.; Huang, Y.M. Mechanism of the prolongation of the green afterglow of SrAl2O4:Dy3+ caused by the use of H3BO3 flux. J. Lumin. 2017, 181, 78–87. [Google Scholar] [CrossRef]
  25. Su, Y.; Zhu, B.; Guan, K.; Gao, S.; Lv, L.; Du, C.; Peng, L.; Hou, L.; Wang, X. Particle size and structural control of ZnWO4 nanocrystals via Sn2+ doping for tunable optical and visible photocatalytic properties. J. Phys. Chem. C 2012, 116, 18508–18517. [Google Scholar] [CrossRef]
  26. Bøjesen, E.D.; Jensen, K.M.Ø.; Tyrsted, C.; Mamakhel, A.; Andersen, H.L.; Reardon, H.; Chevalier, J.; Dippele, A.C.; Iversen, B.B. The chemistry of ZnWO4 nanoparticle formation. Chem. Sci. 2016, 7, 6394–6406. [Google Scholar] [CrossRef] [PubMed]
  27. Shannon, R.D. Revised effective ionic radii and systematic studies of interatomic distances in halides and chalcogenides. Acta Cryst. 1976, 32A, 751–767. [Google Scholar] [CrossRef]
  28. Zhai, B.G.; Ma, Q.L.; Yang, L.; Huang, Y.M. Synthesis and optical properties of Tb-doped pentazinc dimolybdate pentahydrate. Results Phys. 2017, 7, 3991–4000. [Google Scholar] [CrossRef]
  29. Zhai, B.G.; Ma, Q.L.; Yang, L.; Huang, Y.M. Effects of sintering temperature on the morphology and photoluminescence of Eu3+ doped zinc molybdenum oxide hydrate. J. Nanomater. 2018, 2018, 7418508. [Google Scholar] [CrossRef]
  30. Huang, Y.M.; Ma, Q.L.; Zhai, B.G. Wavelength tunable photoluminescence of ZnO/porous Si nanocomposites. J. Lumin. 2013, 138, 157–163. [Google Scholar] [CrossRef]
  31. Schneider, W.D.; Laubschat, C.; Nowik, I.; Kaindl, G. Shake-up excitations and core-hole screening in Eu systems. Phys. Rev. B 1981, 24, 5422–5425. [Google Scholar] [CrossRef]
  32. Han, M.; Oh, S.; Park, J.H.; Park, H.L. X-ray photoelectron spectroscopy study of CaS:Eu and SrS:Eu phosphors. J. Appl. Phys. 1993, 73, 4546–4549. [Google Scholar] [CrossRef]
  33. Zhai, B.G.; Ma, Q.L.; Xiong, R.; Liu, X.; Huang, Y.M. Blue-green afterglow of BaAl2O4:Dy3+ phosphors. Mater. Res. Bull. 2016, 75, 1–6. [Google Scholar] [CrossRef]
  34. Ma, Q.L.; Xiong, R.; Huang, Y.M. Tunable photoluminescence of porous silicon by liquid crystal infiltration. J. Lumin. 2011, 131, 2053–2057. [Google Scholar] [CrossRef]
  35. Gritsenko, V.A.; Islamov, D.R.; Perevalov, T.V.; Aliev, V.S.; Yelisseyev, A.P.; Lomonova, E.E.; Pustovarov, V.A.; Chin, A. Oxygen vacancy in hafnia as a blue luminescence center and a trap of charge carriers. J. Phys. Chem. C 2016, 120, 19980–19986. [Google Scholar] [CrossRef]
  36. Zhai, B.G.; Huang, Y.M. Green photoluminescence and afterglow of Tb doped SrAl2O4. J. Mater. Sci. 2017, 52, 1813–1822. [Google Scholar] [CrossRef]
  37. Huang, Y.M.; Ma, Q.L. Long afterglow of trivalent dysprosium doped strontium aluminate. J. Lumin. 2015, 160, 271–275. [Google Scholar] [CrossRef]
  38. Zhai, B.G.; Yang, L.; Ma, Q.L.; Huang, Y.M. Growth of ZnMoO4 nanowires via vapor deposition in air. Mater. Lett. 2017, 188, 119–122. [Google Scholar] [CrossRef]
  39. Kalinko, A.; Kuzmin, A.; Evarestov, R.A. Ab initio study of the electronic and atomic structure of the wolframite-type ZnWO4. Solid State Commun. 2009, 149, 425–428. [Google Scholar] [CrossRef]
  40. Zhao, X.; Yao, W.; Wu, Y.; Zhang, S.; Yang, H.; Zhu, Y. Fabrication and photoelectrochemical properties of porous ZnWO4 film. J. Solid State Chem. 2006, 179, 2562–2570. [Google Scholar] [CrossRef]
  41. Wang, K.; Feng, W.; Feng, X.; Li, Y.; Mi, P.; Shi, S. Synthesis and photoluminescence of novel red-emitting ZnWO4:Pr3+, Li+ phosphors. Spectrochim. Acta A 2016, 154, 72–75. [Google Scholar] [CrossRef]
Figure 1. X-ray diffraction curves of Eu-doped ZnWO4 precursors subjected to annealing at different temperatures: (a) 400 °C; (b) 600 °C; (c) 800 °C; and (d) 1000 °C. The standard diffraction data of monoclinic ZnWO4 are shown at the bottom for comparison.
Figure 1. X-ray diffraction curves of Eu-doped ZnWO4 precursors subjected to annealing at different temperatures: (a) 400 °C; (b) 600 °C; (c) 800 °C; and (d) 1000 °C. The standard diffraction data of monoclinic ZnWO4 are shown at the bottom for comparison.
Nanomaterials 09 00099 g001
Figure 2. (a) Unit cell of monoclinic ZnWO4; (b) Metal-oxygen octahedrons in monoclinic ZnWO4.
Figure 2. (a) Unit cell of monoclinic ZnWO4; (b) Metal-oxygen octahedrons in monoclinic ZnWO4.
Nanomaterials 09 00099 g002
Figure 3. Rietveld analysis of the XRD curves of Eu-doped ZnWO4 precursors subjected to annealing at different temperatures: (a) 400 °C, (b) 600 °C, (c) 800 °C, and (d) 1000 °C. Open circles: raw data. Solid green lines: Rietveld diffractograms.
Figure 3. Rietveld analysis of the XRD curves of Eu-doped ZnWO4 precursors subjected to annealing at different temperatures: (a) 400 °C, (b) 600 °C, (c) 800 °C, and (d) 1000 °C. Open circles: raw data. Solid green lines: Rietveld diffractograms.
Nanomaterials 09 00099 g003
Figure 4. Differences between experimental and calculated XRD data of Eu-doped ZnWO4 precursors subjected to annealing at different temperatures: (a) 400 °C; (b) 600 °C; (c) 800 °C; and (d) 1000 °C.
Figure 4. Differences between experimental and calculated XRD data of Eu-doped ZnWO4 precursors subjected to annealing at different temperatures: (a) 400 °C; (b) 600 °C; (c) 800 °C; and (d) 1000 °C.
Nanomaterials 09 00099 g004
Figure 5. SEM micrographs of Eu-doped ZnWO4 precursors subjected to annealing at different temperatures: (a) 400 °C; (b) 600 °C; (c) 800 °C and (d) 1000 °C.
Figure 5. SEM micrographs of Eu-doped ZnWO4 precursors subjected to annealing at different temperatures: (a) 400 °C; (b) 600 °C; (c) 800 °C and (d) 1000 °C.
Nanomaterials 09 00099 g005aNanomaterials 09 00099 g005b
Figure 6. EDX spectrum of Eu-doped ZnWO4 precursors subjected to annealing at 800 °C for 2 h.
Figure 6. EDX spectrum of Eu-doped ZnWO4 precursors subjected to annealing at 800 °C for 2 h.
Nanomaterials 09 00099 g006
Figure 7. High-resolution XPS spectra of Eu-doped ZnWO4 precursors subjected to annealing at 400 °C: (a) Zn2p3/2 and Zn2p1/2; (b) O1s; (c) W4f7/2 and W4f5/2; (d) Eu3d3/2 and Eu3d5/2.
Figure 7. High-resolution XPS spectra of Eu-doped ZnWO4 precursors subjected to annealing at 400 °C: (a) Zn2p3/2 and Zn2p1/2; (b) O1s; (c) W4f7/2 and W4f5/2; (d) Eu3d3/2 and Eu3d5/2.
Nanomaterials 09 00099 g007
Figure 8. PL spectra of Eu-doped ZnWO4 precursors subjected to annealing at different temperatures: (a) 400 °C; (b) 600 °C; (c) 800 °C; and (d) 1000 °C. The blue curve and the green curve stand for the blue and green components of Gaussian decomposition, respectively. The red curve is the sum of the two components. The excitation wavelength was 325 nm.
Figure 8. PL spectra of Eu-doped ZnWO4 precursors subjected to annealing at different temperatures: (a) 400 °C; (b) 600 °C; (c) 800 °C; and (d) 1000 °C. The blue curve and the green curve stand for the blue and green components of Gaussian decomposition, respectively. The red curve is the sum of the two components. The excitation wavelength was 325 nm.
Nanomaterials 09 00099 g008
Figure 9. Commission Internationale de L’Eclairage chromaticity diagram of Eu-doped ZnWO4 precursors subjected to annealing at different temperatures.
Figure 9. Commission Internationale de L’Eclairage chromaticity diagram of Eu-doped ZnWO4 precursors subjected to annealing at different temperatures.
Nanomaterials 09 00099 g009
Figure 10. Luminescence photos of Eu-doped ZnWO4 precursors subjected to annealing at different temperatures: (a) 400 °C; (b) 600 °C; (c) 800 °C; and (d) 1000 °C.
Figure 10. Luminescence photos of Eu-doped ZnWO4 precursors subjected to annealing at different temperatures: (a) 400 °C; (b) 600 °C; (c) 800 °C; and (d) 1000 °C.
Nanomaterials 09 00099 g010
Figure 11. DFT calculated electronic structures for defect-free ZnWO4: (a) band structures; (b) density of states.
Figure 11. DFT calculated electronic structures for defect-free ZnWO4: (a) band structures; (b) density of states.
Nanomaterials 09 00099 g011
Figure 12. Density functional theory (DFT) calculated electronic structures for oxygen deficient ZnWO4 (ZnWO4−δ where δ = 0.0625): (a) band structure; and (b) density of states.
Figure 12. Density functional theory (DFT) calculated electronic structures for oxygen deficient ZnWO4 (ZnWO4−δ where δ = 0.0625): (a) band structure; and (b) density of states.
Nanomaterials 09 00099 g012
Figure 13. DFT calculated electronic structures for tungsten deficient ZnWO4 (ZnW1−δO4 where δ = 0.0625): (a) band structure; and (b) density of states.
Figure 13. DFT calculated electronic structures for tungsten deficient ZnWO4 (ZnW1−δO4 where δ = 0.0625): (a) band structure; and (b) density of states.
Nanomaterials 09 00099 g013
Figure 14. DFT calculated electronic structures for zinc deficient ZnWO4 (Zn1−δWO4 where δ = 0.0625): (a) band structure; and (b) density of states.
Figure 14. DFT calculated electronic structures for zinc deficient ZnWO4 (Zn1−δWO4 where δ = 0.0625): (a) band structure; and (b) density of states.
Nanomaterials 09 00099 g014
Figure 15. (a) PL spectrum of Eu2+ doped ZnWO4 with the doping concentration of 1 mol %; (b) PL spectrum of Eu3+ doped ZnWO4 with high resolution to show the 5D07F0 emission. The excitation wavelength was 325 nm.
Figure 15. (a) PL spectrum of Eu2+ doped ZnWO4 with the doping concentration of 1 mol %; (b) PL spectrum of Eu3+ doped ZnWO4 with high resolution to show the 5D07F0 emission. The excitation wavelength was 325 nm.
Nanomaterials 09 00099 g015
Figure 16. Absorption spectra of Eu-doped ZnWO4 precursors subjected to annealing at different temperatures: (a) 400 °C; (b) 600 °C; (c) 800 °C; and (d) 1000 °C. Inset: Tauc plots to derive bandgap values.
Figure 16. Absorption spectra of Eu-doped ZnWO4 precursors subjected to annealing at different temperatures: (a) 400 °C; (b) 600 °C; (c) 800 °C; and (d) 1000 °C. Inset: Tauc plots to derive bandgap values.
Nanomaterials 09 00099 g016
Figure 17. Possible mechanisms of tunable PL from in Eu-doped ZnWO4.
Figure 17. Possible mechanisms of tunable PL from in Eu-doped ZnWO4.
Nanomaterials 09 00099 g017
Figure 18. Time-resolved PL spectra of Eu-doped ZnWO4 precursors subjected to annealing at different temperatures: (a) 400 °C; (b) 600 °C; (c) 800 °C; and (d) 1000 °C. The detection wavelength is fixed at 480 nm. The repetition frequencies of the pulsed diode laser are 20 MHz, 20 MHz, 500 kHz and 200 kHz, respectively.
Figure 18. Time-resolved PL spectra of Eu-doped ZnWO4 precursors subjected to annealing at different temperatures: (a) 400 °C; (b) 600 °C; (c) 800 °C; and (d) 1000 °C. The detection wavelength is fixed at 480 nm. The repetition frequencies of the pulsed diode laser are 20 MHz, 20 MHz, 500 kHz and 200 kHz, respectively.
Nanomaterials 09 00099 g018
Figure 19. Time-resolved PL spectra of Eu-doped ZnWO4 precursors subjected to annealing at different temperatures: (a) 400 °C; (b) 600 °C; (c) 800 °C; and (d) 1000 °C. The detection wavelength is fixed at 612 nm. The repetition frequency of the pulsed laser diode is 20 kHz.
Figure 19. Time-resolved PL spectra of Eu-doped ZnWO4 precursors subjected to annealing at different temperatures: (a) 400 °C; (b) 600 °C; (c) 800 °C; and (d) 1000 °C. The detection wavelength is fixed at 612 nm. The repetition frequency of the pulsed laser diode is 20 kHz.
Nanomaterials 09 00099 g019
Table 1. Lattice parameters of Eu-doped ZnWO4 derived from whole spectrum fitting and Rietveld refinement. Lattice parameters of ZnWO4 single crystals are listed in the last row for comparison.
Table 1. Lattice parameters of Eu-doped ZnWO4 derived from whole spectrum fitting and Rietveld refinement. Lattice parameters of ZnWO4 single crystals are listed in the last row for comparison.
T (°C)a (nm)b (nm)c (nm)β (°)
4000.47240.57250.494390.9546
6000.46930.57180.492790.6438
8000.46920.57190.492790.6321
10000.46900.57180.492790.6191
Single crystal0.46910.57200.492590.64
Table 2. Parameters of two-component Gaussian decomposition of the PL spectra of Eu-doped ZnWO4 precursors subjected to annealing at different temperatures.
Table 2. Parameters of two-component Gaussian decomposition of the PL spectra of Eu-doped ZnWO4 precursors subjected to annealing at different temperatures.
T (°C)Blue ComponentGreen Component
I1λ1 (nm)σ1 (nm)I2λ2 (nm)σ2 (nm)
40013,945.13470.6939.583521.63538.0824.63
60058,868.43448.1231.7475,969.80504.1942.04
800108,589.98449.5932.65154,290.49515.0247.58
100082,666.25454.1632.06130,656.84529.7048.36
Table 3. Fitting parameters of the time-resolved PL spectra of Eu-doped ZnWO4 precursors subjected to annealing at different temperatures. The detection wavelength is 480 nm.
Table 3. Fitting parameters of the time-resolved PL spectra of Eu-doped ZnWO4 precursors subjected to annealing at different temperatures. The detection wavelength is 480 nm.
T (°C)AB1B2B3τ1 (ns)τ2 (ns)τ3 (ns)τ (ns)χ2
4004.5609699.70696.04101.260.923.5210.472.251.107
600287.312854.14720.55158.520.592.3311.526.301.049
800397.4621227.99316.41575.562.8578.001235.6711910.976
100098.113303.38131.82163.8414.73225.871939.8817701.078
Table 4. Fitting parameters of the time-resolved PL spectra of Eu-doped ZnWO4 precursors subjected to annealing at different temperatures. The detection wavelength is 612 nm.
Table 4. Fitting parameters of the time-resolved PL spectra of Eu-doped ZnWO4 precursors subjected to annealing at different temperatures. The detection wavelength is 612 nm.
T (°C)AB1B2B3τ1 (ns)τ2 (ns)τ3 (ns)τ (μs)χ2
400150.000289.91181.8381.17330.281497.5828,01524.280.954
60091.548466.44239.8244.88294.521639.5698735.201.024
80043.610392.99322.08142.65307.891841.6283005.771.045
1000168.249381.88312.29107.85280.611797.46124918.861.144

Share and Cite

MDPI and ACS Style

Zhai, B.-g.; Yang, L.; Huang, Y.M. Intrinsic Defect Engineering in Eu3 Doped ZnWO4 for Annealing Temperature Tunable Photoluminescence+. Nanomaterials 2019, 9, 99. https://doi.org/10.3390/nano9010099

AMA Style

Zhai B-g, Yang L, Huang YM. Intrinsic Defect Engineering in Eu3 Doped ZnWO4 for Annealing Temperature Tunable Photoluminescence+. Nanomaterials. 2019; 9(1):99. https://doi.org/10.3390/nano9010099

Chicago/Turabian Style

Zhai, Bao-gai, Long Yang, and Yuan Ming Huang. 2019. "Intrinsic Defect Engineering in Eu3 Doped ZnWO4 for Annealing Temperature Tunable Photoluminescence+" Nanomaterials 9, no. 1: 99. https://doi.org/10.3390/nano9010099

APA Style

Zhai, B.-g., Yang, L., & Huang, Y. M. (2019). Intrinsic Defect Engineering in Eu3 Doped ZnWO4 for Annealing Temperature Tunable Photoluminescence+. Nanomaterials, 9(1), 99. https://doi.org/10.3390/nano9010099

Note that from the first issue of 2016, this journal uses article numbers instead of page numbers. See further details here.

Article Metrics

Back to TopTop