Ionic Transportation and Dielectric Properties of YF3:Eu3+ Nanocrystals
Abstract
:1. Introduction
2. Materials and Methods
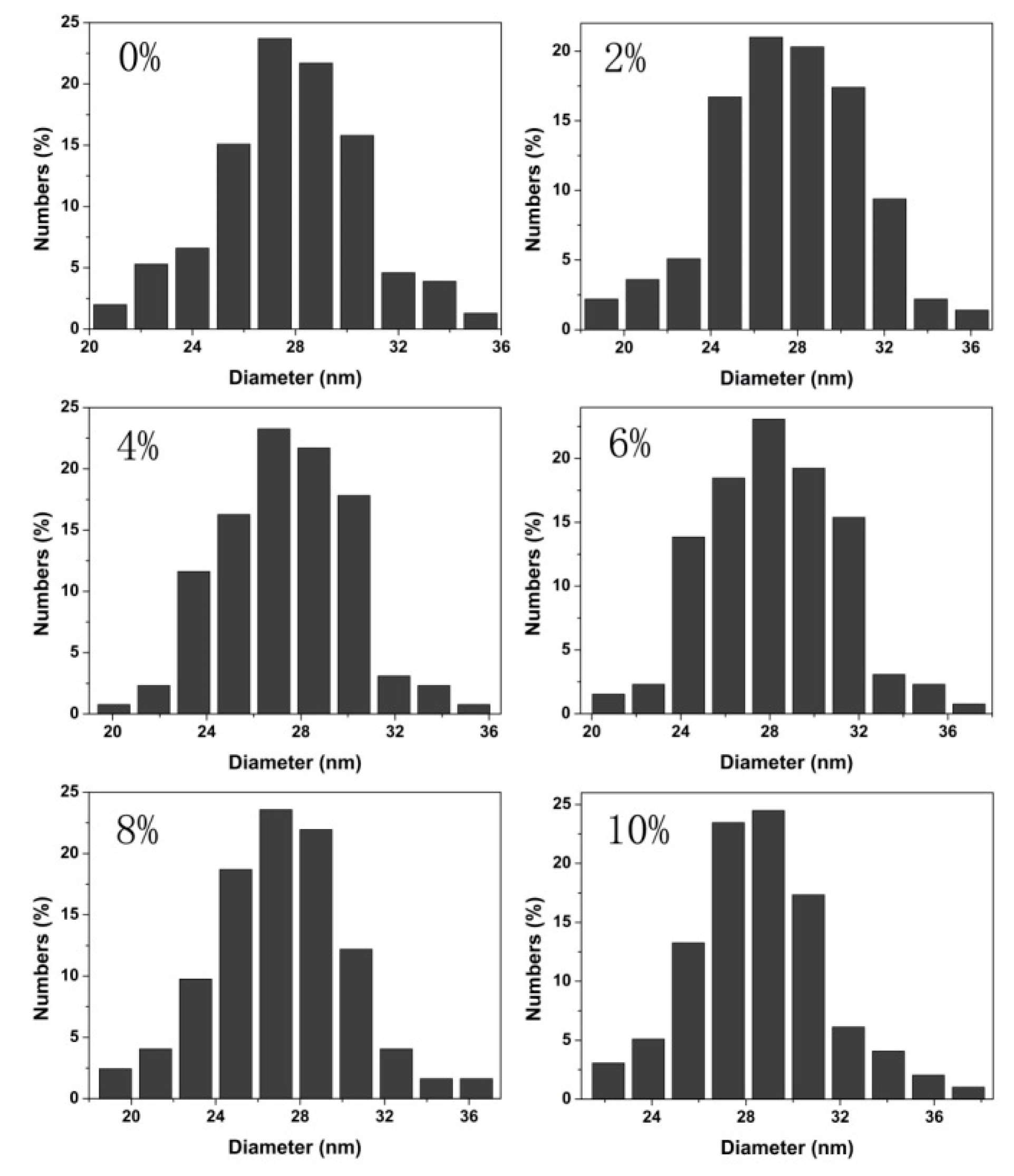
3. Results and Discussion
4. Conclusions
Author Contributions
Funding
Conflicts of Interest
References
- Breuer, S.; Lunghammer, S.; Kiesl, A.; Wilkening, M. F anion dynamics in cation-mixed nanocrystalline LaF3: SrF2. J. Mater. Sci 2018, 53, 13669–13681. [Google Scholar] [CrossRef]
- Vetrone, F.; Capobianco, J.A. Lanthanide-doped fluoride nanoparticles: Luminescence, upconversion, and biological applications. Int. J. Nanotechnol. 2008, 5, 1306–1339. [Google Scholar] [CrossRef]
- Chen, D.Q.; Yu, Y.L.; Wang, Y.S.; Huang, P.; Weng, F.Y. Cooperative Energy Transfer Up-Conversion and Quantum Cutting Down-Conversion in Yb3+:TbF3 Nanocrystals Embedded Glass Ceramics. J. Phys. Chem. C 2009, 113, 6406–6410. [Google Scholar] [CrossRef]
- Zhang, M.F.; Fan, H.; Xi, B.J.; Wang, X.Y.; Dong, C.; Qian, Y.T. Synthesis, Characterization, and Luminescence Properties of Uniform Ln3+-Doped YF3 Nanospindles. J. Phys. Chem. C 2007, 111, 6652–6657. [Google Scholar] [CrossRef]
- Lakshminarayana, G.; Yang, R.; Mao, M.; Qiu, J.; Kityk, I.V. Photoluminescence of Sm3+, Dy3+, and Tm3+-doped transparent glass ceramics containing CaF2 nanocrystals. J. Non-Cryst. Solids 2009, 355, 2668–2673. [Google Scholar] [CrossRef]
- Yan, R.X.; Li, Y.D. Down/up conversion in Ln3+-doped YF3 nanocrystals. Adv. Funct. Mater. 2005, 15, 763–770. [Google Scholar] [CrossRef]
- Sayed, F.N.; Grover, V.; Godbole, S.V.; Tyagi, A.K. Color tunable YF3: Ce3+/Ln(3+)(Ln(3+): Eu3+, Tb3+, Dy3+, Sm3+) luminescent system: Role of sensitizer and energy transfer study. RSC Adv. 2012, 2, 1161–1167. [Google Scholar] [CrossRef]
- Tao, F.; Wang, Z.J.; Yao, L.Z.; Cai, W.L.; Li, X.G. Synthesis and Photoluminescence Properties of Truncated Octahedral Eu-Doped YF3 Submicrocrystals or Nanocrystals. J. Phys. Chem. C 2007, 111, 3241–3245. [Google Scholar] [CrossRef]
- Li, D.; Yu, W.S.; Dong, X.T.; Wang, J.X.; Liu, G.X. Synthesis and luminescence properties of YF3:Eu3+ hollow nanofibers via the combination of electrospinning with fluorination technique. J. Fluor. Chem. 2013, 145, 70–76. [Google Scholar] [CrossRef]
- Zhong, S.L.; Lu, Y.; Gao, M.R.; Liu, S.J.; Peng, J.; Zhang, L.C.; Yu, S.H. Monodisperse Mesocrystals of YF3 and Ce3+/Ln3+ (Ln = Tb, Eu) Co-Activated YF3: Shape Control Synthesis, Luminescent Properties, and Biocompatibility. Chem. Eur. J. 2012, 18, 5222–5231. [Google Scholar] [CrossRef] [PubMed]
- Peng, C.; Li, C.X.; Li, G.G.; Li, S.W.; Lin, J. YF3:Ln3+ (Ln = Ce, Tb, Pr) submicrospindles: Hydrothermal synthesis and luminescence properties. Dalton Trans. 2012, 41, 8660–8668. [Google Scholar] [CrossRef] [PubMed]
- Jia, G.; Huang, C.M.; Wang, C.Z.; Jiang, J.J.; Li, S.; Ding, S.W. Facile synthesis and luminescence properties of uniform and well-dispersed YF3:Eu3+ architectures. CrystEngComm 2012, 14, 4425–4430. [Google Scholar] [CrossRef]
- Réau, J.M.; Fedorov, P.P.; Rabardel, L.; Matar, S.F.; Hagenmuller, P. Phase equilibrium and ionic conductivity in the PbF2-YF3 system. Mater. Res. Bull. 1983, 18, 1235–1246. [Google Scholar] [CrossRef]
- Patwe, S.J.; Balaya, P.; Goyal, P.S.; Tyagi, A.K. Ionic conductivity in solid solutions of PbF2 and YF3. Mater. Res. Bull. 2001, 36, 1743–1749. [Google Scholar] [CrossRef]
- Adam, J.L. Lanthanides in Non-Oxide Glasses. Chem. Rev. 2002, 102, 2461–2476. [Google Scholar] [CrossRef] [PubMed]
- Stouwdam, J.W.; Hebbink, G.A.; Huskens, J.; Van Veggel, F.C.J.M. Lanthanide-Doped Nanoparticles with Excellent Luminescent Properties in Organic Media. Chem. Mater. 2003, 15, 4604–4616. [Google Scholar] [CrossRef]
- Lage, M.M.; Krambrock, K.; Moreira, R.L.; Gesland, J.Y. Infrared-spectroscopic study of orthorhombic YF3 and LuF3 single crystals. Vib. Spectrosc. 2005, 39, 244–248. [Google Scholar] [CrossRef]
- Sarantopoulou, E.; Kollia, Z.; Cefalas, A.C. YF3: Nd3+, Pr3+, Gd3+ wide band gap crystals as optical materials for 157-nm photolithography. Opt. Mater. 2001, 18, 23–26. [Google Scholar] [CrossRef]
- Pankratov, V.; Kirm, M.; von Seggern, H. Intrinsic luminescence in yttrium trifluoride. J. Lumin. 2005, 113, 143–150. [Google Scholar] [CrossRef]
- Gong, C.; Li, Q.J.; Liu, R.; Hou, Y.; Wang, J.X.; Dong, X.T.; Liu, B.; Yang, X.; Yao, Z.; Tan, X.; et al. Structural phase transition and photoluminescence properties of YF3 and YF3:Eu3+ under high pressure. Phys. Chem. Chem. Phys. 2013, 15, 19925–19931. [Google Scholar] [CrossRef] [PubMed]
- Gong, C.; Li, Q.J.; Liu, R.; Hou, Y.; Wang, J.X.; Dong, X.T.; Liu, B.; Tan, X.; Liu, J.; Yang, K.; et al. Structural phase transition and photoluminescence properties of YF3:Eu3+ nanocrystals under high pressure. J. Phys. Chem. C 2014, 118, 22739–22745. [Google Scholar] [CrossRef]
- Sathyamoorthy, R.; Narayandass, S.K.; Balasubramanian, C.; Mangalaraj, D. Structure, Dielectric, and AC Conduction Studies on Yttrium Fluoride Thin Films. Phys. Stat. Sol. A 1990, 117, 495–500. [Google Scholar] [CrossRef]
- Wang, J.; Yang, J.; Hu, T.; Chen, X.; Lang, J.; Wu, X.; Zhang, J.; Zhao, H.; Yang, J.; Cui, Q. Structural Phase Transition and Compressibility of CaF2 Nanocrystals under High Pressure. Crystals 2018, 8, 199. [Google Scholar] [CrossRef]
- Wang, J.S.; Cui, Q.L.; Hu, T.J.; Yang, J.H.; Li, X.Y.; Liu, Y.Q.; Liu, B.; Zhao, W.Q.; Zhu, H.Y.; Yang, L.L. Pressure-Induced Amorphization in BaF2 Nanoparticles. J. Phys. Chem. C. 2016, 120, 12249. [Google Scholar] [CrossRef]
- Wang, J.S.; Zhu, H.Y.; Ma, C.L.; Wu, X.X.; Zhang, J.; Li, D.M.; Cong, R.D.; Liu, J.; Cui, Q.L. High-Pressure Behaviors of SrF2 Nanocrystals with Two Morphologies. J. Phys. Chem. C. 2013, 117, 615–619. [Google Scholar] [CrossRef]
- Cui, X.Y.; Hu, T.J.; Wang, J.S.; Zhang, J.K.; Li, X.F.; Yang, J.H.; Gao, C.X. High pressure electrical transport behavior in SrF2 nanoplates. Chin. Phys. B 2017, 26, 046401. [Google Scholar] [CrossRef]
- Cui, X.Y.; Hu, T.J.; Wang, J.S.; Zhong, X.; Chen, Y.Z.; Zhang, J.K.; Li, X.F.; Yang, J.H.; Gao, C.X. Effect of Tb-doped Concentration Variation on the Electrical and Dielectric Properties of CaF2 Nanoparticles. Nanomaterials 2018, 8, 532. [Google Scholar] [CrossRef] [PubMed]
- Hu, T.J.; Cui, X.Y.; Wang, J.S.; Zhang, J.K.; Li, X.F.; Yang, J.H.; Gao, C.X. Transport properties of mixing conduction in CaF2 nanocrystals under high pressure. Chin. Phys. B 2018, 27, 016401. [Google Scholar] [CrossRef]
- Ho, C.; Raistrick, I.D.; Huggins, R.A. Application of A-C Techniques to the Study of Lithium Diffusion in Tungsten Trioxide Thin Films. J. Electrochem. Soc. 1980, 127, 343. [Google Scholar] [CrossRef]
- Cui, X.Y.; Hu, T.J.; Wang, J.S.; Zhang, J.K.; Zhao, R.; Li, X.F.; Yang, J.H.; Gao, C.X. Mixed conduction in BaF2 nanocrystals under high pressure. RSC Adv. 2017, 7, 12098–12102. [Google Scholar] [CrossRef]
- Hu, T.; Cui, X.; Wang, J.; Zhong, X.; Chen, Y.; Zhang, J.; Li, X.; Yang, J.; Gao, C. The electrical properties of Tb-doped CaF2 nanoparticles under high pressure. Crystals 2018, 8, 98. [Google Scholar] [CrossRef]
- Li, D.; Dong, X.T.; Yu, W.S.; Wang, J.X.; Liu, G.X. Fabrication and luminescence of YF3:Tb3+ hollow nanofibers. J. Mater. Sci. Mater. Electron. 2013, 24, 3041–3048. [Google Scholar] [CrossRef]
- Peláiz Barranco, A.; Calderón Piñar, F.; Pérez Martínezy, O.; De Los Santos Guerra, J.; González Carmenate, I. AC behaviour and conductive mechanisms of 2.5 mol% La2O3 doped PbZr0.53Ti0.47O3 ferroelectric ceramics. J. Eur. Ceram. Soc. 1999, 19, 2677–2683. [Google Scholar] [CrossRef]
- Zhang, J.X.; Dai, J.Y.; Chan, H.L.W. Interfacial engineering and coupling of electric and magnetic properties in Pb(Zr0.53Ti0.47)O3/CoFe2O4 multiferroic epitaxial multilayers. J. Appl. Phys. 2010, 107, 104105. [Google Scholar] [CrossRef]








| Eu Concentration | Rct (Ω) | CES (F) | Wi-R (Ω) | Wi-P | Wi-T (S) |
|---|---|---|---|---|---|
| 0% | 5.44 × 107 | 7.55 × 10−12 | 8 | 0.260 | 7.50 × 10−12 |
| 2% | 9.90 × 106 | 6.55 × 10−12 | 7 | 0.246 | 6.50 × 10−12 |
| 4% | 7.32 × 106 | 5.55 × 10−12 | 6 | 0.235 | 5.55 × 10−12 |
| 6% | 1.73 × 107 | 7.95 × 10−12 | 2 | 0.265 | 9.95 × 10−12 |
| 8% | 4.89 × 107 | 5.05 × 10−12 | 3 | 0.265 | 5.50 × 10−12 |
| 10% | 2.52 × 108 | 5.05 × 10−12 | 10 | 0.270 | 5.05 × 10−12 |
© 2018 by the authors. Licensee MDPI, Basel, Switzerland. This article is an open access article distributed under the terms and conditions of the Creative Commons Attribution (CC BY) license (http://creativecommons.org/licenses/by/4.0/).
Share and Cite
Cui, X.; Hu, T.; Wang, J.; Zhang, J.; Zhong, X.; Chen, Y.; Li, X.; Yang, J.; Gao, C. Ionic Transportation and Dielectric Properties of YF3:Eu3+ Nanocrystals. Nanomaterials 2018, 8, 995. https://doi.org/10.3390/nano8120995
Cui X, Hu T, Wang J, Zhang J, Zhong X, Chen Y, Li X, Yang J, Gao C. Ionic Transportation and Dielectric Properties of YF3:Eu3+ Nanocrystals. Nanomaterials. 2018; 8(12):995. https://doi.org/10.3390/nano8120995
Chicago/Turabian StyleCui, Xiaoyan, Tingjing Hu, Jingshu Wang, Junkai Zhang, Xin Zhong, Yanli Chen, Xuefei Li, Jinghai Yang, and Chunxiao Gao. 2018. "Ionic Transportation and Dielectric Properties of YF3:Eu3+ Nanocrystals" Nanomaterials 8, no. 12: 995. https://doi.org/10.3390/nano8120995
APA StyleCui, X., Hu, T., Wang, J., Zhang, J., Zhong, X., Chen, Y., Li, X., Yang, J., & Gao, C. (2018). Ionic Transportation and Dielectric Properties of YF3:Eu3+ Nanocrystals. Nanomaterials, 8(12), 995. https://doi.org/10.3390/nano8120995

