Beating Thermal Deterioration of Magnetization with Mn4C and Exchange Bias in Mn–C Nanoparticles
Abstract
1. Introduction
2. Materials and Methods
3. Results and Discussion
3.1. Structure
3.2. Morphology
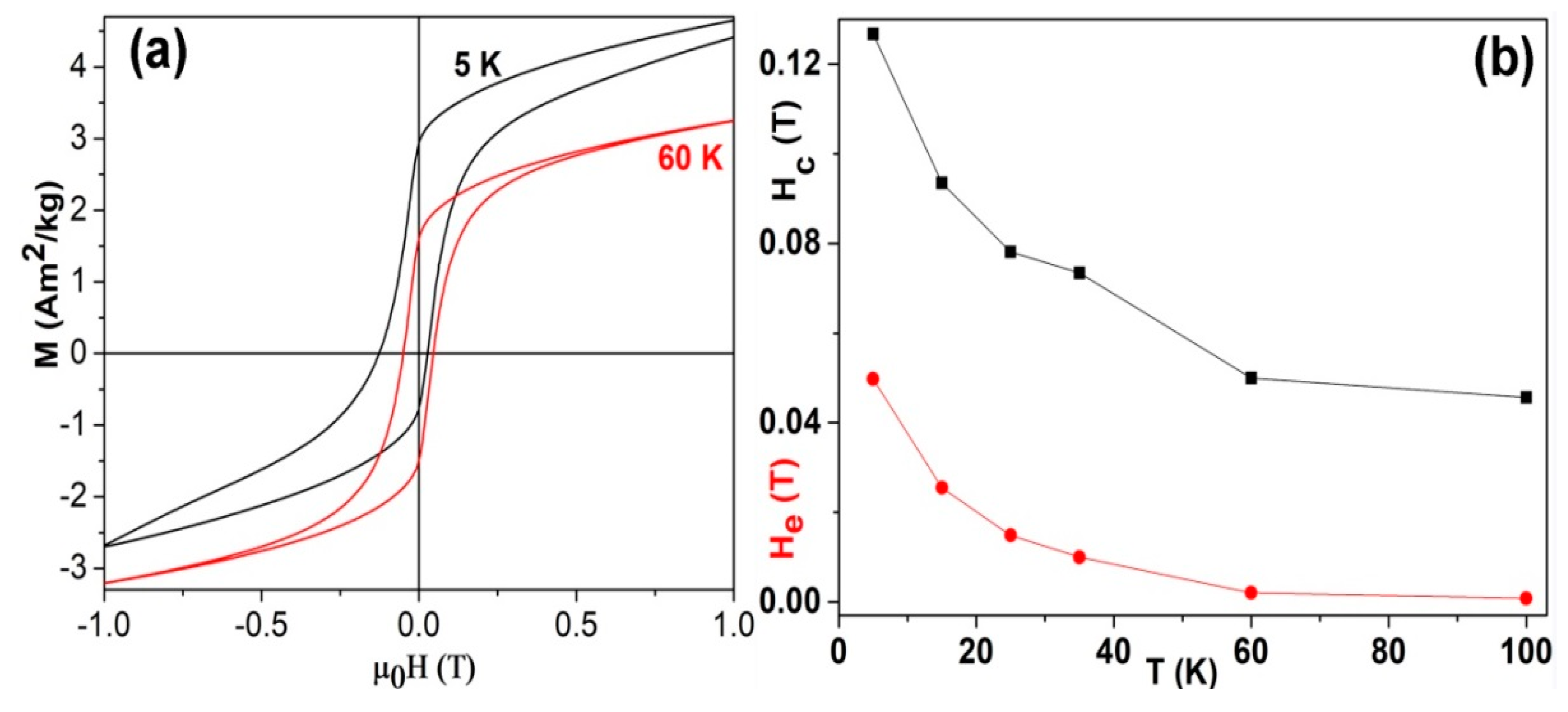
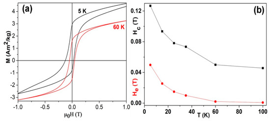
3.3. Magnetic Properties
4. Conclusions
Author Contributions
Funding
Conflicts of Interest
References
- Si, P.Z.; Qian, H.D.; Ge, H.L.; Park, J.; Choi, C.J. Enhancing the magnetization of Mn4C by heating. Appl. Phys. Lett. 2018, 112, 192407. [Google Scholar] [CrossRef]
- Vogel, R.; Döring, W. Das System Eisen-Zementit-Mangankarbid-Mangan. Arch. Eisenhüttenwes. 1935, 9, 247–252. [Google Scholar] [CrossRef]
- Djurovic, D.; Hallstedt, B.; von Appen, J.; Dronskowski, R. Thermodynamic assessment of the Mn–C system. Calphad 2010, 34, 279–285. [Google Scholar] [CrossRef]
- Kuo, K.; Persson, L.E. A Contribution to the Constitution of the Ternary System Fe-Mn-C. Isothermal sections at 1050°, 910°, and 690 °C. J. Iron Steel Inst. 1954, 178, 39–44. [Google Scholar]
- Benz, R.; Elliott, J.F.; Chipman, J. Solid phases of the Mn-C system. Metall. Trans. 1973, 4, 1449–1452. [Google Scholar] [CrossRef]
- Zaitsev, A.I.; Zaitseva, N.E.; Alekseeva, Y.P.; Dunaev, S.F. Thermodynamic Study of Manganese Carbides. Dokl. Phys. Chem. 2004, 395, 94–97. [Google Scholar] [CrossRef]
- Morgan, E.R. Ferromagnetism of Certain Manganese-Rich Alloys. JOM 1954, 6, 983–988. [Google Scholar] [CrossRef]
- Shimizu, H.; Terao, K.; Motizuki, K.; Suzuki, N. Electronic structure and magnetism of intermetallic mixed compound Mn4N1−xCx. J. Fac. Sci. Shinshu Univ. 1995, 30, 25. Available online: http://hdl.handle.net/10091/10633 (accessed on 15 December 2018).
- Si, P.Z.; Brück, E.; Zhang, Z.D.; Tegus, O.; Zhang, W.S.; Buschow, K.H.J.; Klaasse, J.C.P. Structural and magnetic properties of Mn nanoparticles prepared by arc-discharge. Mater. Res. Bull. 2005, 40, 29–37. [Google Scholar] [CrossRef]
- Manna, P.K.; Yusuf, S.M. Two interface effects: Exchange bias and magnetic proximity. Phys. Rep. 2014, 535, 61–99. [Google Scholar] [CrossRef]
- Jiao, Z.W.; Si, P.Z.; Jiang, W.D.; Wu, Q.; Ye, G.X. Anomalous exchange bias in Gd/Cr bilayer and Cr/Gd/Cr trilayers. J. Alloys Compd. 2008, 458, 1–4. [Google Scholar] [CrossRef]
- Si, P.Z.; Li, D.; Lee, J.W.; Choi, C.J.; Zhang, Z.D.; Geng, D.Y.; Brück, E. Unconventional exchange bias in oxide-coated manganese nanoparticles. Appl. Phys. Lett. 2005, 87, 133122. [Google Scholar] [CrossRef]
- Maity, T.; Roy, S. Asymmetric shift of exchange bias loop in Ni-Ni(OH)2 core-shell nanoparticles. J. Magn. Magn. Mater. 2018, 465, 100–105. [Google Scholar] [CrossRef]
- Patsopoulos, A.; Kechrakos, D. Exchange bias effect in cylindrical nanowires with ferromagnetic core and polycrystalline antiferromagnetic shell. J. Magn. Magn. Mater. 2018, 465, 678–684. [Google Scholar] [CrossRef]
- Vatansever, Z.D. Numerical study of exchange bias in antiferromagnetic/ferromagnetic core/shell nanoparticles with non-magnetic defects. Phys. Lett. A 2018, 382, 2539–2543. [Google Scholar] [CrossRef]
- Dunz, M.; Schmalhorst, J.; Meinert, M. Enhanced exchange bias in MnN/CoFe bilayers after high-temperature annealing. AIP Adv. 2018, 8, 056304. [Google Scholar] [CrossRef]
- Dubowik, J.; Goscianska, I. Micromagnetic approach to exchange bias. Acta Phys. Pol. A 2015, 127, 147–152. [Google Scholar] [CrossRef]
- Kalska, B.; Fumagalli, P.; Hilgendorff, M.; Giersig, M. Co/CoO core-shell nanoparticles—Temperature-dependent magneto-optic studies. Mater. Chem. Phys. 2008, 112, 1129–1132. [Google Scholar] [CrossRef]
- Yao, L.L.; Si, P.Z.; Ge, H.L.; Qian, H.D.; Choi, C.J. Laser ablation synthesis, structure, and exchange bias of Mn4C/MnO powders. J. Electron. Mater. 2019. [Google Scholar] [CrossRef]
- Néel, M.L. Propriétés magnétiques des ferrites; ferrimagnétisme et antiferromagnétisme. Ann. Phys. 1948, 12, 137–198. [Google Scholar] [CrossRef]




© 2018 by the authors. Licensee MDPI, Basel, Switzerland. This article is an open access article distributed under the terms and conditions of the Creative Commons Attribution (CC BY) license (http://creativecommons.org/licenses/by/4.0/).
Share and Cite
Si, P.-Z.; Wang, X.-Y.; Ge, H.-L.; Qian, H.-D.; Park, J.; Yang, Y.; Li, Y.-S.; Choi, C.-J. Beating Thermal Deterioration of Magnetization with Mn4C and Exchange Bias in Mn–C Nanoparticles. Nanomaterials 2018, 8, 1056. https://doi.org/10.3390/nano8121056
Si P-Z, Wang X-Y, Ge H-L, Qian H-D, Park J, Yang Y, Li Y-S, Choi C-J. Beating Thermal Deterioration of Magnetization with Mn4C and Exchange Bias in Mn–C Nanoparticles. Nanomaterials. 2018; 8(12):1056. https://doi.org/10.3390/nano8121056
Chicago/Turabian StyleSi, Ping-Zhan, Xin-You Wang, Hong-Liang Ge, Hui-Dong Qian, Jihoon Park, Yang Yang, Yin-Sheng Li, and Chul-Jin Choi. 2018. "Beating Thermal Deterioration of Magnetization with Mn4C and Exchange Bias in Mn–C Nanoparticles" Nanomaterials 8, no. 12: 1056. https://doi.org/10.3390/nano8121056
APA StyleSi, P.-Z., Wang, X.-Y., Ge, H.-L., Qian, H.-D., Park, J., Yang, Y., Li, Y.-S., & Choi, C.-J. (2018). Beating Thermal Deterioration of Magnetization with Mn4C and Exchange Bias in Mn–C Nanoparticles. Nanomaterials, 8(12), 1056. https://doi.org/10.3390/nano8121056

