Role of Si and C Impurities in Yellow and Blue Luminescence of Unintentionally and Si-Doped GaN
Abstract
1. Introduction
2. Materials and Methods
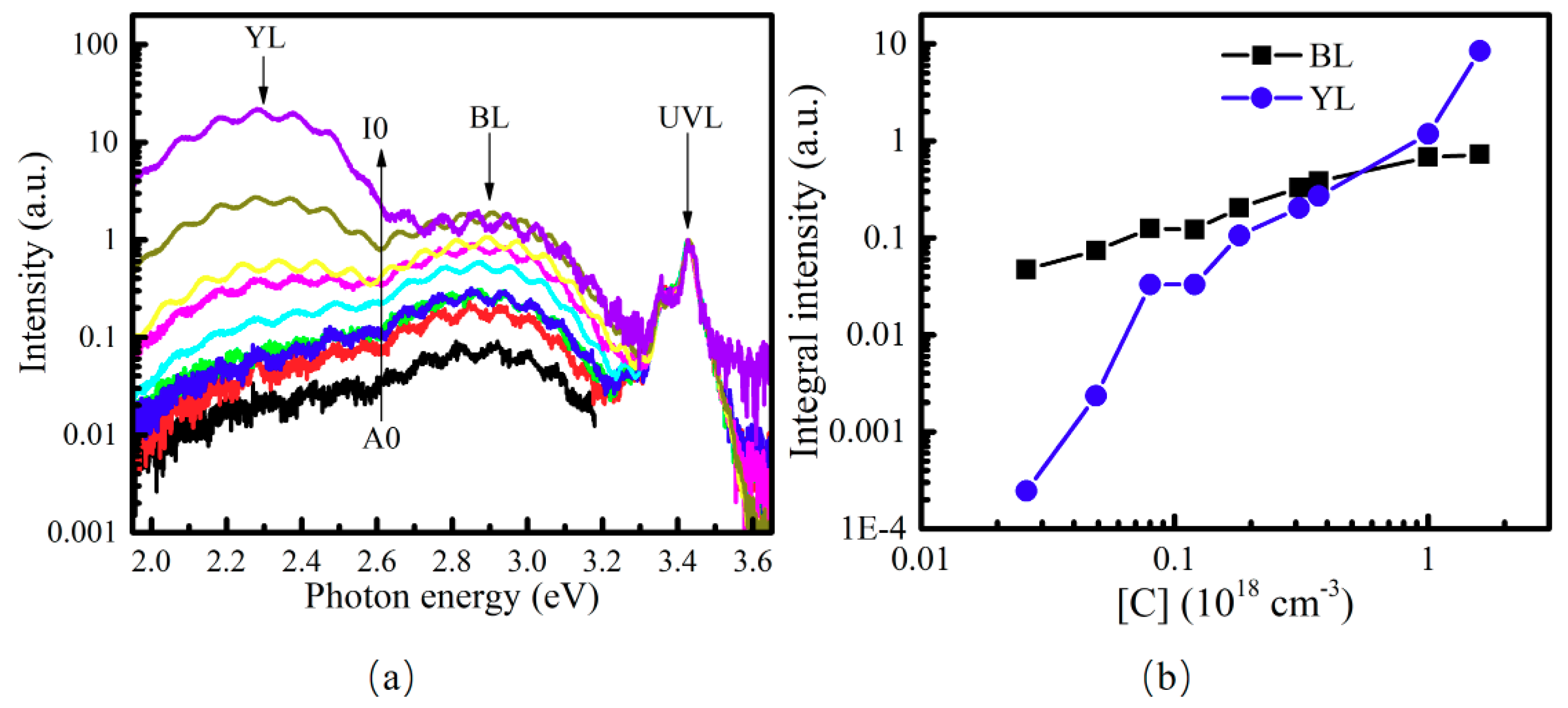
3. Results and Discussion
4. Conclusions
Supplementary Materials
Author Contributions
Funding
Conflicts of Interest
References
- Moustakas, T.D.; Paiella, R. Optoelectronic device physics and technology of nitride semiconductors from the UV to the terahertz. Rep. Prog. Phys. 2017, 80, 106501. [Google Scholar] [CrossRef] [PubMed]
- Li, J.M.; Liu, Z.; Liu, Z.Q.; Yan, J.C.; Wei, T.B.; Yi, X.Y.; Wang, J.X. Advances and prospects in nitrides based light-emitting-diodes. J. Semicond. 2016, 37, 061001. [Google Scholar] [CrossRef]
- Zhao, D.G.; Yang, J.; Liu, Z.S.; Chen, P.; Zhu, J.J.; Jiang, D.S.; Shi, Y.S.; Wang, H.; Duan, L.H.; Zhang, L.Q.; Yang, H. Fabrication of room temperature continuous-wave operation GaN-based ultraviolet laser diodes. J. Semicond. 2017, 38, 051001. [Google Scholar] [CrossRef]
- Jiang, L.R.; Liu, J.P.; Tian, A.Q.; Cheng, Y.; Li, Z.C.; Zhang, L.Q.; Zhang, S.M.; Li, D.Y.; Ikeda, M.; Yang, H. GaN-based green laser diodes. J. Semicond. 2016, 37, 111001. [Google Scholar] [CrossRef]
- Masui, S.; Nakatsu, Y.; Kasahara, D.; Nagahama, S. Recent improvement in nitride lasers. Proc. SPIE 2017, 10104, 101041H-1. [Google Scholar] [CrossRef]
- Gundimeda, A.; Krishna, S.; Aggarwal, N.; Sharma, A.; Sharma, N.D.; Maurya, K.K.; Husale, S.; Gupta, G. Fabrication of non-polar GaN based highly responsive and fast UV photodetector. Appl. Phys. Lett. 2017, 110, 103507. [Google Scholar] [CrossRef]
- Yao, D.; Tang, Y.W.; Zhao, D.G.; Xu, J.D.; Xu, Y.H.; Gong, H.M. Characteristics of a Front-Illuminated Visible-Blind UV Photodetector Based on GaN p-i-n Photodiodes with High Quantum Efficiency. Chin. J. Semicond. 2006, 27, 896–899. [Google Scholar]
- Baliga, B.J. Gallium nitride devices for power electronic applications. Semicond. Sci. Technol. 2013, 28, 8. [Google Scholar] [CrossRef]
- Hao, Y.; Zhang, J.F.; Shen, B.; Liu, X.Y. Progress in Group III nitride semiconductor electronic devices. J. Semicond. 2012, 33, 081001. [Google Scholar] [CrossRef]
- Calleja, E.; Sanchez, F.J.; Basak, D.; SanchezGarcia, M.A.; Munoz, E.; Izpura, I.; Calle, F.; Tijero, J.M.G.; SanchezRojas, J.L.; Beaumont, B.; et al. Yellow luminescence and related deep states in undoped GaN. Phys. Rev. B 1997, 55, 4689–4694. [Google Scholar] [CrossRef]
- Julkarnain, M.; Kamata, N.; Fukuda, T.; Arakawa, Y. Yellow luminescence band in undoped GaN revealed by two-wavelength excited photoluminescence. Opt. Mater. 2016, 60, 481–486. [Google Scholar] [CrossRef]
- Julkarnain, M.; Fukuda, T.; Kamata, N.; Arakawa, Y. A direct evidence of allocating yellow luminescence band in undoped GaN by two-wavelength excited photoluminescence. Appl. Phys. Lett. 2015, 107, 212102. [Google Scholar] [CrossRef]
- Neugebauer, J.; Van de Walle, C.G. Gallium vacancies and the yellow luminescence in GaN. Appl. Phys. Lett. 1996, 69, 503–505. [Google Scholar] [CrossRef]
- Xu, H.Y.; Hu, X.B.; Xu, X.G.; Shen, Y.; Qu, S.; Wang, C.X.; Li, S.Q. Gallium vacancies related yellow luminescence in N-face GaN epitaxial film. Appl. Surf. Sci. 2012, 258, 6451–6454. [Google Scholar] [CrossRef]
- Armitage, R.; Hong, W.; Yang, Q.; Feick, H.; Gebauer, J.; Weber, E.R.; Hautakangas, S.; Saarinen, K. Contributions from gallium vacancies and carbon-related defects to the “yellow luminescence” in GaN. Appl. Phys. Lett. 2003, 82, 3457–3459. [Google Scholar] [CrossRef]
- Demchenko, D.O.; Diallo, I.C.; Reshchikov, M.A. Hydrogen-carbon complexes and the blue luminescence band in GaN. J. Appl. Phys. 2016, 119, 10. [Google Scholar] [CrossRef]
- Armitage, R.; Yang, Q.; Weber, E.R. Analysis of the carbon-related “blue” luminescence in GaN. J. Appl. Phys. 2005, 97, 073524. [Google Scholar] [CrossRef]
- Yang, H.C.; Lin, T.Y.; Chen, Y.F. Nature of the 2.8-eV photoluminescence band in Si-doped GaN. Phys. Rev. B 2000, 62, 12593–12596. [Google Scholar] [CrossRef]
- Li, S.T.; Jiang, F.Y.; Fan, G.H.; Wang, L.; Xiong, C.B.; Peng, X.X.; Mo, H.L. Study of the blue luminescence in unintentional doped GaN films grown by MOCVD. J. Lumin. 2004, 106, 219–223. [Google Scholar] [CrossRef]
- Zhao, D.G.; Jiang, D.S.; Zhu, J.J.; Liu, Z.S.; Wang, H.; Zhang, S.M.; Wang, Y.T.; Yang, H. Role of edge dislocation and Si impurity in linking the blue luminescence and yellow luminescence in n-type GaN films. Appl. Phys. Lett. 2009, 95, 041901. [Google Scholar] [CrossRef]
- Li, S.T.; Jiang, F.Y.; Han, G.F.; Wang, L.; Xiong, C.B.; Peng, X.X.; Mo, H.L. Relationship between structure characteristic and blue luminescence in unintentional doped GaN layers. Mater. Sci. Eng. B 2005, 122, 72–75. [Google Scholar] [CrossRef]
- Reshchikov, M.A.; Vorobiov, M.; Demchenko, D.O.; Özgür, Ü.; Morkoç, H.; Lesnik, A.; Hoffmann, M.P.; Hörich, F.; Dadgar, A.; Strittmatter, A. Two charge states of the CN acceptor in GaN: Evidence from photoluminescence. Phys. Rev. B 2018, 98, 125207. [Google Scholar] [CrossRef]
- Yi, L.K.; Qi, H.R.; Huang, J.L.; Zhou, M.; Zhao, D.G.; Jiang, D.S.; Yang, J.; Liu, W.; Liang, F. Influence of dislocation density and carbon impurities in i-GaN layer on the performance of Schottky barrier ultraviolet photodetectors. Mater. Res. Express 2018, 5, 046207. [Google Scholar] [CrossRef]
- Li, X.J.; Zhao, D.G.; Jiang, D.S.; Chen, P.; Zhu, J.J.; Liu, Z.S.; Le, L.C.; Yang, J.; He, X.G.; Zhang, L.Q.; et al. Influence of residual carbon impurities in i-GaN layer on the performance of GaN-based p-i-n photodetectors. J. Vacuum Sci. Technol. B 2016, 34, 011204. [Google Scholar] [CrossRef]
- Yang, J.; Zhao, D.G.; Jiang, D.S.; Chen, P.; Liu, Z.S.; Zhu, J.J.; Li, X.J.; He, X.G.; Liu, J.P.; Zhang, L.Q.; et al. Influence of residual carbon impurities in i-GaN layer on the performance of GaN-based p-i-n photodetectors. Opt. Express 2016, 24, 13824. [Google Scholar] [CrossRef]
- Liang, F.; Zhao, D.G.; Jiang, D.S.; Liu, Z.S.; Zhu, J.J.; Chen, P.; Ynag, J.; Liu, S.T.; Xing, Y.; Zhang, L.Q.; et al. Carbon-related defects as a source for the enhancement of yellow luminescence of unintentionally doped GaN. Nanomaterials 2018, 8, 744. [Google Scholar] [CrossRef]
- He, X.G.; Zhao, D.G.; Jiang, D.S.; Liu, Z.S.; Chen, P.; Le, L.C.; Yang, J.; Li, X.J.; Zhang, S.M.; Zhu, J.J.; et al. Control of residual carbon concentration in GaN high electron mobility transistor and realization of high-resistance GaN grown by metal-organic chemical vapor deposition. Thin Solid Films 2014, 564, 135–139. [Google Scholar] [CrossRef]
- Liang, F.; Zhao, D.G.; Jiang, D.S.; Liu, Z.S.; Zhu, J.J.; Chen, P.; Yang, J.; Liu, W.; Li, X.; Liu, S.T.; et al. Influence of residual carbon impurities in a heavily Mg-doped GaN contact layer on an Ohmic contact. Appl. Opt. 2017, 56, 197–4200. [Google Scholar] [CrossRef]
- Liang, F.; Zhao, D.G.; Jiang, D.S.; Liu, Z.S.; Zhu, J.J.; Chen, P.; Yang, J.; Liu, W.; Li, X.; Liu, S.T.; et al. Improvement of Ohmic contact to p-GaN by controlling the residual carbon concentration in p++-GaN layer. J. Cryst. Growth 2017, 467, 1–5. [Google Scholar] [CrossRef]
- Lyons, J.L.; Janotti, A.; Van de Walle, C.G. Carbon impurities and the yellow luminescence in GaN. Appl. Phys. Lett. 2010, 97, 152108. [Google Scholar] [CrossRef]
- Reshchikov, M.A.; Demchenko, D.O.; Usikov, A.; Helava, H.; Makarov, Y. Carbon defects as sources of the green and yellow luminescence bands in undoped GaN. Phys. Rev. B 2014, 90, 235203. [Google Scholar] [CrossRef]
- Toshio, O.; Masaharu, A. Mechanism of Yellow Luminescence in GaN. Jpn. J. Appl. Phys. 1980, 19, 2395–2405. [Google Scholar] [CrossRef]
- Christenson, S.G.; Xie, W.Y.; Sun, Y.Y.; Zhang, S.B. Carbon as a source for yellow luminescence in GaN: Isolated C-N defect or its complexes. J. Appl. Phys. 2015, 118, 135708. [Google Scholar] [CrossRef]
- Zhang, H.S.; Shi, L.; Yang, X.B.; Zhao, Y.J.; Xu, K.; Wang, L.W. First-principles calculations of quantum efficiency for point defects in semiconductors: The example of yellow luminance by GaN: CN+ON and GaN:CN. Adv. Opt. Mater. 2017, 5, 1700404. [Google Scholar] [CrossRef]
- Matsubara, M.; Bellotti, E. A first-principles study of carbon-related energy levels in GaN. II. Complexes formed by carbon and hydrogen, silicon or oxygen. J. Appl. Phys. 2017, 121, 195702. [Google Scholar] [CrossRef]
- Matsubara, M.; Bellotti, E. A first-principles study of carbon-related energy levels in GaN. I. Complexes formed by substitutional/interstitial carbons and gallium/nitrogen vacancies. J. Appl. Phys. 2017, 121, 195701. [Google Scholar] [CrossRef]







| Sample | SiH4 Flow Rate (L/min) | [Si] (cm−3) | [C] (cm−3) |
|---|---|---|---|
| A0 | 0 | 0 | 2.6 × 1016 |
| B0 | 0 | 0 | 4.9 × 1016 |
| C0 | 0 | 0 | 8.6 × 1016 |
| D0 | 0 | 0 | 1.2 × 1017 |
| E0 | 0 | 0 | 1.8 × 1017 |
| F0 | 0 | 0 | 3.1 × 1017 |
| G0 | 0 | 0 | 3.7 × 1017 |
| H0 | 0 | 0 | 1.0 × 1018 |
| I0 | 0 | 0 | 1.6 × 1018 |
| A1 | 0.03 | 1.2 × 1017 | 2.6 × 1016 |
| A2 | 0.3 | 1.3 × 1018 | 2.6 × 1016 |
| A3 | 1.6 | 6.6 × 1018 | 2.6 × 1016 |
© 2018 by the authors. Licensee MDPI, Basel, Switzerland. This article is an open access article distributed under the terms and conditions of the Creative Commons Attribution (CC BY) license (http://creativecommons.org/licenses/by/4.0/).
Share and Cite
Liang, F.; Zhao, D.; Jiang, D.; Liu, Z.; Zhu, J.; Chen, P.; Yang, J.; Liu, S.; Xing, Y.; Zhang, L. Role of Si and C Impurities in Yellow and Blue Luminescence of Unintentionally and Si-Doped GaN. Nanomaterials 2018, 8, 1026. https://doi.org/10.3390/nano8121026
Liang F, Zhao D, Jiang D, Liu Z, Zhu J, Chen P, Yang J, Liu S, Xing Y, Zhang L. Role of Si and C Impurities in Yellow and Blue Luminescence of Unintentionally and Si-Doped GaN. Nanomaterials. 2018; 8(12):1026. https://doi.org/10.3390/nano8121026
Chicago/Turabian StyleLiang, Feng, Degang Zhao, Desheng Jiang, Zongshun Liu, Jianjun Zhu, Ping Chen, Jing Yang, Shuangtao Liu, Yao Xing, and Liqun Zhang. 2018. "Role of Si and C Impurities in Yellow and Blue Luminescence of Unintentionally and Si-Doped GaN" Nanomaterials 8, no. 12: 1026. https://doi.org/10.3390/nano8121026
APA StyleLiang, F., Zhao, D., Jiang, D., Liu, Z., Zhu, J., Chen, P., Yang, J., Liu, S., Xing, Y., & Zhang, L. (2018). Role of Si and C Impurities in Yellow and Blue Luminescence of Unintentionally and Si-Doped GaN. Nanomaterials, 8(12), 1026. https://doi.org/10.3390/nano8121026
