Two-Dimensional Nanomaterials for Gas Sensing Applications: The Role of Theoretical Calculations
Abstract
1. Introduction
2. Gas-Sensing Mechanism of 2D Layered Nanomaterials
3. Theoretical Analysis of Gas-Sensing Properties of 2D Layered Nanomaterials
4. Enhancement of the Gas-Sensing Performance of 2D Layered Nanomaterials
4.1. Defect Functionalization
4.2. Heterojunctions
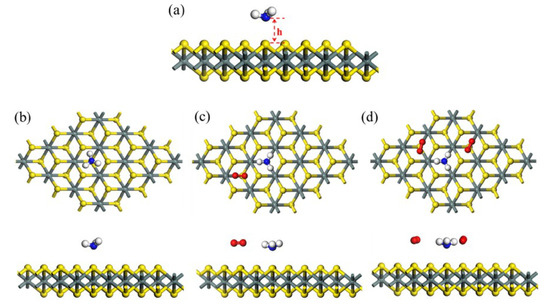
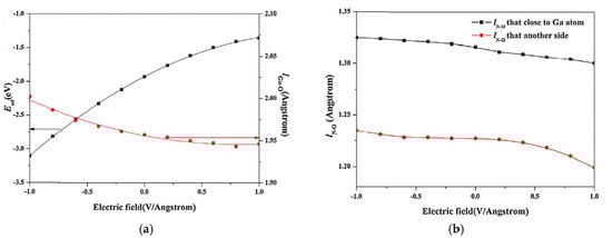
4.3. Electrical Fileds
5. Conclusion and Outlook
Author Contributions
Funding
Acknowledgments
Conflicts of Interest
References
- Ma, M.; Khan, H.; Shan, W.; Wang, Y.; Ou, J.Z.; Liu, Z.; Kalantar-Zadeh, K.; Li, Y. A novel wireless gas sensor based on LTCC technology. Sens. Actuators B 2017, 239, 711–717. [Google Scholar] [CrossRef]
- Li, H.; Yin, Z.; He, Q.; Li, H.; Huang, X.; Lu, G.; Fam, D.W.H.; Tok, A.I.Y.; Zhang, Q.; Zhang, H. Fabrication of Single- and Multilayer MoS2 Film-Based Field-Effect Transistors for Sensing NO at Room Temperature. Small 2012, 8, 63–67. [Google Scholar] [CrossRef] [PubMed]
- Bodade, A.B.; Bende, A.M.; Chaudhari, G.N. Synthesis and characterization of CdO-doped nanocrystalline ZnO: TiO2-based H2S gas sensor. Vacuum 2008, 82, 588–593. [Google Scholar] [CrossRef]
- Pustelny, T.; Procek, M.; Maciak, E.; Stolarczyk, A.; Drewniak, S.; Urbańczyk, M.; Setkiewicz, M.; Gut, K.; Opilski, Z. Gas sensors based on nanostructures of semiconductors ZnO and TiO2. Bull. Pol. Acad. Sci. Tech. Sci. 2012, 60, 853–859. [Google Scholar] [CrossRef]
- Nisar, J.; Topalian, Z.; Sarkar, A.D.; Österlund, L.; Ahuja, R. TiO2-Based Gas Sensor: A Possible Application to SO2. Appl. Mater. Interfaces 2013, 5, 8516. [Google Scholar] [CrossRef] [PubMed]
- Bai, H.; Shi, G. Gas Sensors Based on Conducting Polymers. Sensors 2007, 7, 267–307. [Google Scholar] [CrossRef]
- Huang, C.S.; Huang, B.R.; Jang, Y.H.; Tsai, M.S.; Yeh, C.Y. Three-terminal CNTs gas sensor for N2 detection. Diam. Relat. Mater. 2005, 14, 1872–1875. [Google Scholar] [CrossRef]
- Zhang, X.; Xiao, S.; Tang, J.; Pan, C. Application of CNTs Gas Sensor in Online Monitoring of SF6 Insulated Equipment. In Nanomaterials Based Gas Sensors for Sf6 Decomposition Components Detection; InTechOpen: London, UK, 2017. [Google Scholar]
- Valentini, L.; Armentano, I.; Kenny, J.M.; Cantalini, C.; Lozzi, L.; Santucci, S. Sensors for sub-ppm NO2 gas detection based on carbon nanotube thin films. Appl. Phys. Lett. 2003, 82, 961–963. [Google Scholar] [CrossRef]
- Yang, S.; Jiang, C.; Wei, S.H. Gas sensing in 2D materials. Appl. Phys. Rev. 2017, 4, 8323–8328. [Google Scholar] [CrossRef]
- Xu, J.; Xue, Z.; Qin, N.; Cheng, Z.; Xiang, Q. The crystal facet-dependent gas sensing properties of ZnO nanosheets: Experimental and computational study. Sens. Actuators B 2016, 242, 148–157. [Google Scholar] [CrossRef]
- Umar, A.; Alshahrani, A.A.; Algarni, H.; Kumar, R. CuO nanosheets as potential scaffolds for gas sensing applications. Sens. Actuators B 2017, 250. [Google Scholar] [CrossRef]
- Jacobs, C.B.; Maksov, A.B.; Muckley, E.S.; Collins, L.; Mahjourisamani, M.; Ievlev, A.; Rouleau, C.M.; Moon, J.W.; Graham, D.E.; Sumpter, B.G. UV-activated ZnO films on a flexible substrate for room temperature O2 and H2O sensing. Sci. Rep. 2017, 7, 6053. [Google Scholar] [CrossRef] [PubMed]
- Long, Y.Z.; Li, M.M.; Gu, C.; Wan, M.; Duvail, J.L.; Liu, Z.; Fan, Z. Recent advances in synthesis, physical properties and applications of conducting polymer nanotubes and nanofibers. Prog. Polym. Sci. 2011, 36, 1415–1442. [Google Scholar] [CrossRef]
- An, K.H.; Jeong, S.Y.; Hwang, H.R.; Lee, Y.H. Enhanced Sensitivity of a Gas Sensor Incorporating Single-Walled Carbon Nanotube-Polypyrrole Nanocomposites. Adv. Mater. 2010, 16, 1005–1009. [Google Scholar] [CrossRef]
- Choi, S.J.; Kim, I.D. Recent Developments in 2D Nanomaterials for Chemiresistive-Type Gas Sensors. Electron. Mater. Lett. 2018, 1–40. [Google Scholar] [CrossRef]
- Joshi, N.; Hayasaka, T.; Liu, Y.; Liu, H.; Oliveira, J.O.; Lin, L. A review on chemiresistive room temperature gas sensors based on metal oxide nanostructures, graphene and 2D transition metal dichalcogenides. Microchim. Acta 2018, 185, 213. [Google Scholar] [CrossRef] [PubMed]
- Ou, J.Z.; Ge, W.; Carey, B.; Daeneke, T.; Rotbart, A.; Shan, W.; Wang, Y.; Fu, Z.; Chrimes, A.F.; Wlodarski, W. Physisorption-Based Charge Transfer in Two-Dimensional SnS2 for Selective and Reversible NO2 Gas Sensing. ACS Nano 2015, 9, 10313–10323. [Google Scholar] [CrossRef] [PubMed]
- Cho, B.; Hahm, M.G.; Choi, M.; Yoon, J.; Kim, A.R.; Lee, Y.J.; Park, S.G.; Kwon, J.D.; Chang, S.K.; Song, M. Charge-transfer-based Gas Sensing Using Atomic-layer MoS2. Sci. Rep. 2015, 5, 8052. [Google Scholar] [CrossRef] [PubMed]
- Yuan, W.; Liu, A.; Huang, L.; Li, C.; Shi, G. High-performance NO2 sensors based on chemically modified graphene. Adv. Mater. 2013, 25, 766–771. [Google Scholar] [CrossRef] [PubMed]
- Leenaerts, O.; Partoens, B.; Peeters, F.M. Adsorption of H2O, NH3, CO, NO2, and NO on graphene: A first-principles study. Phys. Rev. B 2008, 77, 125416. [Google Scholar] [CrossRef]
- Zhao, S.; Xue, J.; Wei, K. Gas adsorption on MoS2 monolayer from first-principles calculations. Chem. Phys. Lett. 2014, 595–596, 35–42. [Google Scholar] [CrossRef]
- Nayeri, M.; Moradinasab, M.; Fathipour, M. The transport and optical sensing properties of MoS2, MoSe2, WS2 and WSe2 semiconducting transition metal dichalcogenides. Semicond. Sci. Technol. 2017, 33. [Google Scholar] [CrossRef]
- Bui, V.Q.; Pham, T.T.; Le, D.A.; Thi, C.M.; Le, H.M. A first-principles investigation of various gas (CO, H2O, NO, and O2) absorptions on a WS2 monolayer: Stability and electronic properties. J. Phys. Condens. Matter 2015, 27, 305005. [Google Scholar] [CrossRef] [PubMed]
- Zhou, C.; Yang, W.; Zhu, H. Mechanism of charge transfer and its impacts on Fermi-level pinning for gas molecules adsorbed on monolayer WS2. J. Chem. Phys. 2015, 142, 622. [Google Scholar] [CrossRef] [PubMed]
- Ko, K.Y.; Song, J.G.; Kim, Y.; Choi, T.; Shin, S.; Lee, C.W.; Lee, K.; Koo, J.; Lee, H.; Kim, J. Improvement of Gas-Sensing Performance of Large-Area Tungsten Disulfide Nanosheets by Surface Functionalization. ACS Nano 2016, 10, 9281–9296. [Google Scholar] [CrossRef] [PubMed]
- Qin, Z.; Zeng, D.; Zhang, J.; Wu, C.; Wen, Y.; Shan, B.; Xie, C. Effect of layer number on recovery rate of WS2 nanosheets for ammonia detection at room temperature. Appl. Surf. Sci. 2017, 414, 244–250. [Google Scholar] [CrossRef]
- Li, X.; Li, X.; Li, Z.; Wang, J.; Zhang, J. WS2 Nanoflakes Based Selective Ammonia Sensors at Room Temperature. Sens. Actuators B 2017, 240, 273–277. [Google Scholar] [CrossRef]
- Xiong, Y.; Xu, W.; Ding, D.; Lu, W.; Zhu, L.; Zhu, Z.; Wang, Y.; Xue, Q. Ultra-sensitive NH3 sensor based on flower-shaped SnS2 nanostructures with sub-ppm detection ability. J. Hazard. Mater. 2017, 341, 159. [Google Scholar] [CrossRef] [PubMed]
- Ramanathan, A.A.; Khalifeh, J.M. Enhanced Thermoelectric Properties of Suspended Mono- and Bilayer of MoS2 from First Principles. IEEE Trans. Nanotechnol. 2018, 17, 974–978. [Google Scholar] [CrossRef]
- Hu, T.; Gerber, I.C. Theoretical Study of the Interaction of Electron Donor and Acceptor Molecules with Graphene. J. Phys. Chem. C 2013, 117, 2411–2420. [Google Scholar] [CrossRef]
- Wang, T.; Zhao, R.; Zhao, X.; An, Y.; Dai, X.; Xia, C. Tunable donor and acceptor impurity states in a WSe2 monolayer by adsorption of common gas molecules. RSC Adv. 2016, 6, 82793–82800. [Google Scholar] [CrossRef]
- Wang, D.W.; Wang, X.H.; Yang, A.J.; Chu, J.F.; Lv, P.L.; Liu, Y.; Rong, M.Z. MoTe2: A Promising Candidate for SF6 Decomposition Gas Sensors with High Sensitivity and Selectivity. IEEE Electron Device Lett. 2017, 39, 292–295. [Google Scholar] [CrossRef]
- Yue, Q.; Chang, S.; Qin, S.; Li, J. Functionalization of monolayer MoS2 by substitutional doping: A first-principles study. Phys. Lett. A 2013, 377, 1362–1367. [Google Scholar] [CrossRef]
- Li, H.; Huang, M.; Cao, G. Markedly different adsorption behaviors of gas molecules on defective monolayer MoS2: A first-principles study. Phys. Chem. Chem. Phys. 2016, 18, 15110–15117. [Google Scholar] [CrossRef] [PubMed]
- Qin, Z.; Xu, K.; Yue, H.; Wang, H.; Zhang, J.; Ouyang, C.; Xie, C.; Zeng, D. Enhanced room-temperature NH3 gas sensing by 2D SnS2 with sulfur vacancies synthesized by chemical exfoliation. Sens. Actuators B 2018, 262, 771–779. [Google Scholar] [CrossRef]
- Zhou, W.; Zou, X.; Najmaei, S.; Liu, Z.; Shi, Y.; Kong, J.; Lou, J.; Ajayan, P.M.; Yakobson, B.I.; Idrobo, J.C. Intrinsic structural defects in monolayer molybdenum disulfide. Nano Lett. 2013, 13, 2615–2622. [Google Scholar] [CrossRef] [PubMed]
- Hong, J.; Hu, Z.; Probert, M.; Li, K.; Lv, D.; Yang, X.; Gu, L.; Mao, N.; Feng, Q.; Xie, L. Exploring atomic defects in molybdenum disulphide monolayers. Nat. Commun. 2015, 6, 6293. [Google Scholar] [CrossRef] [PubMed]
- Komsa, H.P.; Kotakoski, J.; Kurasch, S.; Lehtinen, O.; Kaiser, U.; Krasheninnikov, A.V. Two-dimensional transition metal dichalcogenides under electron irradiation: Defect production and doping. Phys. Rev. Lett. 2012, 109, 035503. [Google Scholar] [CrossRef] [PubMed]
- Ma, Q.; Odenthal, P.M.; Mann, J.; Le, D.; Wang, C.S.; Zhu, Y.; Chen, T.; Sun, D.; Yamaguchi, K.; Tran, T. Controlled argon beam-induced desulfurization of monolayer molybdenum disulfide. J. Phys. Condens. Matter 2013, 25, 252201. [Google Scholar] [CrossRef] [PubMed]
- Ding, K.; Lin, Y.; Huang, M. The enhancement of NO detection by doping strategies on monolayer MoS2. Vacuum 2016, 130, 146–153. [Google Scholar] [CrossRef]
- Zhang, Y.H.; Chen, Y.B.; Zhou, K.G.; Liu, C.H.; Zeng, J.; Zhang, H.L.; Peng, Y. Improving gas sensing properties of graphene by introducing dopants and defects: A first-principles study. Nanotechnology 2009, 20, 185504. [Google Scholar] [CrossRef] [PubMed]
- Ma, D.; Ju, W.; Li, T.; Zhang, X.; He, C.; Ma, B.; Lu, Z.; Yang, Z. The adsorption of CO and NO on the MoS2 monolayer doped with Au, Pt, Pd, or Ni: A first-principles study. Appl. Surf. Sci. 2016, 383, 98–105. [Google Scholar] [CrossRef]
- Fan, Y.; Zhang, J.; Qiu, Y.; Zhu, J.; Zhang, Y.; Hu, G. A DFT study of transition metal (Fe, Co, Ni, Cu, Ag, Au, Rh, Pd, Pt and Ir)-embedded monolayer MoS2 for gas adsorption. Comput. Mater. Sci. 2017, 138, 255–266. [Google Scholar] [CrossRef]
- Zhao, B.; Li, C.Y.; Liu, L.L.; Zhou, B.; Zhang, Q.K.; Chen, Z.Q.; Tang, Z. Adsorption of gas molecules on Cu impurities embedded monolayer MoS2: A first principles study. Appl. Surf. Sci. 2016, 382, 280–287. [Google Scholar] [CrossRef]
- Choi, S.Y.; Kim, Y.; Chung, H.S.; Kim, A.R.; Kwon, J.D.; Park, J.; Kim, Y.L.; Kwon, S.H.; Hahm, M.G.; Cho, B. Effect of Nb Doping on Chemical Sensing Performance of Two-Dimensional Layered MoSe2. ACS Appl. Mater. Interfaces 2017, 9, 3817–3823. [Google Scholar] [CrossRef] [PubMed]
- Ma, D.; Ju, W.; Li, T.; Zhang, X.; He, C.; Ma, B.; Tang, Y.; Lu, Z.; Yang, Z. Modulating electronic, magnetic and chemical properties of MoS2 monolayer sheets by substitutional doping with transition metals. Appl. Surf. Sci. 2016, 364, 181–189. [Google Scholar] [CrossRef]
- Dolui, K.; Rungger, I.; Das Pemmaraju, C.; Sanvito, S. Possible doping strategies for MoS2 monolayers: An ab initio study. Phys. Rev. B 2013, 88, 4192–4198. [Google Scholar] [CrossRef]
- Luo, H.; Cao, Y.; Zhou, J.; Feng, J.; Cao, J.; Guo, H. Adsorption of NO2, NH3 on monolayer MoS2 doped with Al, Si, and P: A first-principles study. Chem. Phys. Lett. 2016, 643, 27–33. [Google Scholar] [CrossRef]
- Jing, Z.; Gui, Y.; Junlong, T.; Dongwei, M.; Yuanxu, W. First-principles study on the gas sensing property of the Ge, As, and Br doped PtSe2. Mater. Res. Express 2018, 5, 035037. [Google Scholar] [CrossRef]
- Chen, X.; Xu, L.; Liu, L.L.; Zhao, L.S.; Chen, C.P.; Zhang, Y.; Wang, X.C. Adsorption of formaldehyde molecule on the pristine and transition metal doped graphene: First-principles study. Appl. Surf. Sci. 2017, 396. [Google Scholar] [CrossRef]
- Zhang, D.; Wu, J.; Li, P.; Cao, Y. Room-temperature SO2 gas-sensing properties based on a metal-doped MoS2 nanoflower: An experimental and density functional theory investigation. J. Mater. Chem. A 2017, 5. [Google Scholar] [CrossRef]
- Chen, X.P.; Yang, N.; Ni, J.M.; Cai, M.; Ye, H.Y.; Wong, C.K.Y.; Leung, S.Y.Y.; Ren, T.L. Density-Functional Calculation of Methane Adsorption on Graphenes. IEEE Electron Device Lett. 2015, 36, 1366–1368. [Google Scholar] [CrossRef]
- Kumar, J.; Nemade, H.B.; Giri, P.K. Adsorption of Small Molecules on Niobium Doped Graphene: A Study Based on Density Functional Theory. IEEE Electron Device Lett. 2018, 39, 296–299. [Google Scholar] [CrossRef]
- Chen, D.; Zhang, X.; Tang, J.; Cui, H.; Li, Y. Noble metal (Pt or Au)-doped monolayer MoS2 as a promising adsorbent and gas-sensing material to SO2, SOF2 and SO2F2: A DFT study. Appl. Phys. A 2018, 124, 194. [Google Scholar] [CrossRef]
- Ferroni, M.; Carotta, M.C.; Guidi, V.; Martinelli, G.; Ronconi, F.; Richard, O.; Dyck, D.V.; Landuyt, J.V. Structural characterization of Nb–TiO2 nanosized thick-films for gas sensing application. Sens. Actuators B Chem. 2000, 68, 140–145. [Google Scholar] [CrossRef]
- Guidi, V.; Carotta, M.C.; Ferroni, M.; Martinelli, G.; Paglialonga, L.; Comini, E.; Sberveglieri, G. Preparation of nanosized titania thick and thin films as gas-sensors. Sens. Actuators B 1999, 57, 197–200. [Google Scholar] [CrossRef]
- Kibsgaard, J.; Chen, Z.; Reinecke, B.N.; Jaramillo, T.F. Engineering the surface structure of MoS2 to preferentially expose active edge sites for electrocatalysis. Nat. Mater. 2012, 11, 963–969. [Google Scholar] [CrossRef] [PubMed]
- Jaramillo, T.F.; Jørgensen, K.P.; Bonde, J.; Nielsen, J.H.; Horch, S.; Chorkendorff, I. Identification of Active Edge Sites for Electrochemical H2 Evolution from MoS2 Nanocatalysts. Science 2007, 317, 100–102. [Google Scholar] [CrossRef] [PubMed]
- Cho, S.Y.; Kim, S.J.; Lee, Y.; Kim, J.S.; Jung, W.B.; Yoo, H.W.; Kim, J.; Jung, H.T. Highly Enhanced Gas Adsorption Properties in Vertically Aligned MoS2 Layers. ACS Nano 2015, 9, 9314–9321. [Google Scholar] [CrossRef] [PubMed]
- Zhang, S.; Nguyen, T.H.; Zhang, W.; Park, Y.; Yang, W. Correlation between lateral size and gas sensing performance of MoSe2 nanosheets. Appl. Phys. Lett. 2017, 111, 161603. [Google Scholar] [CrossRef]
- Kong, D.; Wang, H.; Cha, J.J.; Pasta, M.; Koski, K.J.; Yao, J.; Cui, Y. Synthesis of MoS2 and MoSe2 films with vertically aligned layers. Nano Lett. 2013, 13, 1341–1347. [Google Scholar] [CrossRef] [PubMed]
- Lee, J.H.; Katoch, A.; Choi, S.W.; Kim, J.H.; Kim, H.W.; Kim, S.S. Extraordinary Improvement of Gas-Sensing Performances in SnO2 Nanofibers Due to Creation of Local p-n Heterojunctions by Loading Reduced Graphene Oxide Nanosheets. ACS Appl. Mater. Interfaces 2015, 7, 3101. [Google Scholar] [CrossRef] [PubMed]
- Tai, H.; Yuan, Z.; Zheng, W.; Ye, Z.; Liu, C.; Du, X. ZnO Nanoparticles/Reduced Graphene Oxide Bilayer Thin Films for Improved NH3-Sensing Performances at Room Temperature. Nanoscale Res. Lett. 2016, 11, 1–8. [Google Scholar] [CrossRef] [PubMed]
- Shi, J.; Cheng, Z.; Gao, L.; Zhang, Y.; Xu, J.; Zhao, H. Facile synthesis of reduced graphene oxide/hexagonal WO3 nanosheets composites with enhanced H2S sensing properties. Sens. Actuators B 2016, 230, 736–745. [Google Scholar] [CrossRef]
- Bai, S.; Du, L.; Sun, J.; Luo, R.; Li, D.; Chen, A.; Liu, C.C. Preparation of reduced graphene oxide/Co3O4 composites and sensing performance to toluene at low temperature. RSC Adv. 2016, 6. [Google Scholar] [CrossRef]
- Bai, S.; Chen, C.; Luo, R.; Chen, A.; Li, D. Synthesis of MoO3/reduced graphene oxide hybrids and mechanism of enhancing H2S sensing performances. Sens. Actuators B 2015, 216, 113–120. [Google Scholar] [CrossRef]
- Liu, X.; Jiang, L.; Jiang, X.; Tian, X.; Huang, Y.; Hou, P.; Zhang, S.; Xu, X. Design of superior ethanol gas sensor based on indium oxide/molybdenum disulfide nanocomposite via hydrothermal route. Appl. Surf. Sci. 2018, 447. [Google Scholar] [CrossRef]
- Qin, Z.; Ouyang, C.; Zhang, J.; Wan, L.; Wang, S.; Xie, C.; Zeng, D. 2D WS2 nanosheets with TiO2 quantum dots decoration for high-performance ammonia gas sensing at room temperature. Sens. Actuators B 2017, 253, 1034–1042. [Google Scholar] [CrossRef]
- Zhang, D.; Jiang, C.; Li, P.; Sun, Y. Layer-by-Layer Self-Assembly of Co3O4 Nanorod-Decorated MoS2 Nanosheet-Based Nanocomposite toward High-Performance Ammonia Detection. ACS Appl. Mater. Interfaces 2017, 9. [Google Scholar] [CrossRef] [PubMed]
- Park, S.Y.; Kim, Y.H.; Lee, S.Y.; Sohn, W.; Lee, J.E.; Kim, D.H.; Shim, Y.S.; Kwon, K.C.; Choi, K.S.; Yoo, H.J. Highly selective and sensitive chemoresistive humidity sensors based on rGO/MoS2 van der Waals composites. J. Mater. Chem. A 2018, 6. [Google Scholar] [CrossRef]
- Zhou, Y.; Liu, G.; Zhu, X.; Guo, Y. Ultrasensitive NO2 gas sensing based on rGO/MoS2 nanocomposite film at low temperature. Sens. Actuators B 2017, 251. [Google Scholar] [CrossRef]
- Sun, J.; Lin, N.; Ren, H.; Tang, C.; Yang, L.; Zhao, X. Gas adsorption on MoS2/WS2 in-plane heterojunctions and the I–V response: A first principles study. RSC Adv. 2016, 6. [Google Scholar] [CrossRef]
- Chen, H.; Gu, M.; Pu, X.; Zhu, J.; Cheng, L. Fabrication of SnO2@SnS2 heterostructure with enhanced visible light photocatalytic activity. Appl. Phys. A 2016, 3, 065002. [Google Scholar] [CrossRef]
- Gu, D.; Li, X.; Zhao, Y.; Wang, J. Enhanced NO2 sensing of SnO2/SnS2 heterojunction based sensor. Sens. Actuators B 2017, 244, 67–76. [Google Scholar] [CrossRef]
- Cao, J.; Wang, Z.; Wang, R.; Liu, S.; Fei, T.; Wang, L.; Zhang, T. Synthesis of core–shell α-Fe2O3@NiO nanofibers with hollow structures and their enhanced HCHO sensing properties. J. Mater. Chem. A 2015, 3, 5635–5641. [Google Scholar] [CrossRef]
- Schedin, F.; Geim, A.K.; Morozov, S.V.; Hill, E.W.; Blake, P.; Katsnelson, M.I.; Novoselov, K.S. Detection of individual gas molecules adsorbed on graphene. Nat. Mater. 2007, 6, 65210. [Google Scholar] [CrossRef] [PubMed]
- Gui, Y.; Zhao, J.; Wang, W.; Tian, J.; Zhao, M. Synthesis of hemispherical WO3/graphene nanocomposite by a microwave-assisted hydrothermal method and the gas-sensing properties to triethylamine. Mater. Lett. 2015, 155, 4–7. [Google Scholar] [CrossRef]
- Valentini, L. Fabrication of three-dimensional patterns of reduced graphene oxide through grid-assisted deposition. Mater. Lett. 2015, 157, 265–268. [Google Scholar] [CrossRef]
- Zhou, Y.; Lin, X.; Huang, Y.; Guo, Y.; Gao, C.; Xie, G.; Jiang, Y. Impact of further thermal reduction on few-layer reduced graphene oxide film and its n-p transition for gas sensing. Sens. Actuators B 2016, 235, 241–250. [Google Scholar] [CrossRef]
- Yoon, J.W.; Lee, J.H. Toward breath analysis on a chip for disease diagnosis using semiconductor-based chemiresistors: Recent progress and future perspectives. Lab Chip 2017, 17. [Google Scholar] [CrossRef] [PubMed]
- Xu, K.; Li, N.; Zeng, D.; Tian, S.; Zhang, S.; Hu, D.; Xie, C. Interface Bonds Determined Gas-Sensing of SnO2-SnS2 Hybrids to Ammonia at Room Temperature. ACS Appl. Mater. Interfaces 2015, 7, 11359. [Google Scholar] [CrossRef] [PubMed]
- Yue, Q.; Shao, Z.; Chang, S.; Li, J. Adsorption of gas molecules on monolayer MoS2 and effect of applied electric field. Nanoscale Res. Lett. 2013, 8, 425. [Google Scholar] [CrossRef] [PubMed]
- Ao, Z.M.; Li, S.; Jiang, Q. Correlation of the applied electrical field and CO adsorption/desorption behavior on Al-doped graphene. Solid State Commun. 2010, 150, 680–683. [Google Scholar] [CrossRef]
- Liang, X.Y.; Ding, N.; Ng, S.P.; Wu, C.M.L. Adsorption of gas molecules on Ga-doped graphene and effect of applied electric field: A DFT study. Appl. Surf. Sci. 2017, 411, 11–17. [Google Scholar] [CrossRef]
- Liu, W.; Zhao, Y.H.; Nguyen, J.; Li, Y.; Jiang, Q.; Lavernia, E.J. Electric field induced reversible switch in hydrogen storage based on single-layer and bilayer graphenes. Carbon 2009, 47, 3452–3460. [Google Scholar] [CrossRef]
- Liu, W.; Zhao, Y.H.; Li, Y.; Lavernia, E.J.; Jiang, Q. A reversible switch for hydrogen adsorption and desorption: Electric fields. Phys. Chem. Chem. Phys. 2009, 11, 9233–9240. [Google Scholar] [CrossRef] [PubMed]
- Gibbs, J.H. Electric Polarization of Charged Particles in Square Potential Wells. Phys. Rev. 1954, 94, 292–294. [Google Scholar] [CrossRef]
- Gu, D.; Li, X.; Wang, H.; Li, M.; Xi, Y.; Chen, Y.; Wang, J.; Rumyntseva, M.N.; Gaskov, A.M. Light enhanced VOCs sensing of WS2 microflakes based chemiresistive sensors powered by triboelectronic nangenerators. Sens. Actuators B 2018, 256, 992–1000. [Google Scholar] [CrossRef]
- Zhou, Y.; Gao, C.; Guo, Y.C. UV assisted ultrasensitive trace NO2 gas sensing based on few-layer MoS2 nanosheet-ZnO nanowire heterojunctions at room temperature. J. Mater. Chem. A 2018, 6. [Google Scholar] [CrossRef]






| Materials | Gas Molecules | Ea/meV | ∆Q/e | d/Å | Method | Reference | 
|---|---|---|---|---|---|---|
| Graphene | H2O | −47 | 0.025 | 3.5 | ABINIT 1 code/GGA 2 | [21] | 
| NH3 | −31 | −0.027 | 3.81 | |||
| CO | −14 | −0.013 | 3.74 | |||
| NO | −29 | −0.017 | 3.76 | |||
| NO2 | −67 | 0.099 | 3.61 | |||
| WS2 | NH3 | −216 | −0.227 | 2.49 | VASP 3/LDA 4 | [31] | 
| H2O | −229 | 0.081 | 2.63 | |||
| WS2 | NH3 | −630 | - | 2.25 | SIESTA 5//LDA + DFT-D2 6 | [23] | 
| NO2 | −1520 | - | 2.39 | |||
| NO | −880 | - | 2.6 | |||
| O2 | −430 | - | 2.03 | |||
| WSe2 | NH3 | −560 | - | 2.37 | ||
| NO2 | −1320 | - | 2.3 | |||
| NO | −1050 | - | 2.62 | |||
| O2 | −440 | - | 2.1 | |||
| WSe2 | O2 | −8.7 | 0.0182 | 3.21 | VASP/GGA-PBE 7 | [32] | 
| CO | −9.2 | 0.0089 | 3.76 | |||
| NH3 | −42 | −0.0172 | 3.11 | |||
| H2O | −45 | 0.0186 | 2.78 | |||
| NO | −25 | 0.0346 | 2.95 | |||
| NO2 | −67 | 0.1165 | 3.04 | |||
| MoTe2 | SO2 | −245 | 0.086 | 3.437 | VASP/GGA-PBE + vdW 8 correction | [33] | 
| H2S | −212 | 0.017 | 3.662 | |||
| NH3 | −235 | 0.069 | 3.453 | |||
| SnS2 | CH4 | −182 | - | - | CRYSTAL14 9/B3LYP 10 | [18] | 
| CO2 | −191 | - | - | |||
| H2 | −53 | - | - | |||
| H2S | −199 | - | - | |||
| NH3 | −215 | - | - | |||
| NO2 | −367 | 0.048 | 2.41 | |||
| O2 | 1430 | - | - | 
| Substrate | Elements | Gas Species | Mechanism | Reference | 
|---|---|---|---|---|
| Graphene | Ti, V | H2CO | Ea increased by one order of magnitude | [51] | 
| Graphene | B, N, P, Al | CH4 | Physical adsorption | [53] | 
| Graphene | B, N | CO, NO, NO2, NH3 | Ea of NO and NO2 enhanced by N-and B-doping | [26] | 
| Graphene | Nb | CO, NH3, CH4, SO2, H2S | Formed chemical bonds | [54] | 
| MoS2 | Cl, P, Si | H2CO | P and Si provided p-type doping | [49] | 
| MoS2 | Al, Si, P | NO2, NH3 | Charge transfer between dopant and gas molecules increased by orbital hybridization | [49] | 
| MoS2 | Co, Ni, Rh, Ru, Pd, Ir, Pt, Au | O2 | Partially occupied d orbital of TMs 1 play crucial role | [47] | 
| MoS2 | Fe, Co, Ni, Cu, Ag, Au, Rh, Pd, Pt, Ir | NO, CO, O2, NH3 | Fe and Co possess best adsorption ability, thermal stability and chemical activity | [45] | 
| MoS2 | V, Cr, Mn, Fe, Co, H, B, N, F | - | Conductivity and magnetic properties changed | [34] | 
| MoS2 | V, Nb, Ta | CO, NO, H2O, NH3 | Orbital overlap between n, d orbitals of metal, and gas molecules | [50] | 
| MoS2 | B, Cl, P | NO | Decreased band gap, larger charge transfer, and higher adsorption energy after gas adsorption | [41] | 
| MoS2 | Ni, Fe, Co | SO2 | Improved response, recovery properties, and stability after Ni doping | [52] | 
| MoS2 | Pt, Au | SO2, SOF2, SO2F2 | Enhanced sensitivity to SO2 | [55] | 
| MoS2 | Au, Ag, Pt, Pd, Sc, Y | H2 | Efficiency of doping is related to work function of dopants | [34] | 
| MoS2 | Cu | NO, NO2, O2, NH3 | Related to charge transfer and orbital hybridization between Cu and gas molecules | [45] | 
| MoSe2 | Nb | NO2 | Increased the density of grain boundaries | [46] | 
| PtSe2 | Ge, As, Br | H2, O2, CO, CO2, NH3, NO, NO2 | Charge transfer between gas molecules and empty 4p orbitals of Ge and As | [50] | 
© 2018 by the authors. Licensee MDPI, Basel, Switzerland. This article is an open access article distributed under the terms and conditions of the Creative Commons Attribution (CC BY) license (http://creativecommons.org/licenses/by/4.0/).
Share and Cite
Zeng, Y.; Lin, S.; Gu, D.; Li, X. Two-Dimensional Nanomaterials for Gas Sensing Applications: The Role of Theoretical Calculations. Nanomaterials 2018, 8, 851. https://doi.org/10.3390/nano8100851
Zeng Y, Lin S, Gu D, Li X. Two-Dimensional Nanomaterials for Gas Sensing Applications: The Role of Theoretical Calculations. Nanomaterials. 2018; 8(10):851. https://doi.org/10.3390/nano8100851
Chicago/Turabian StyleZeng, Yamei, Shiwei Lin, Ding Gu, and Xiaogan Li. 2018. "Two-Dimensional Nanomaterials for Gas Sensing Applications: The Role of Theoretical Calculations" Nanomaterials 8, no. 10: 851. https://doi.org/10.3390/nano8100851
APA StyleZeng, Y., Lin, S., Gu, D., & Li, X. (2018). Two-Dimensional Nanomaterials for Gas Sensing Applications: The Role of Theoretical Calculations. Nanomaterials, 8(10), 851. https://doi.org/10.3390/nano8100851
 
        

 
       