A High Power, Frequency Tunable Colloidal Quantum Dot (CdSe/ZnS) Laser
Abstract
:1. Introduction
2. Results and Discussion
2.1. Spectral Properties
2.2. Laser Induced Fluorescence (LIF) and ASE
3. Materials and Methods
4. Conclusions
Supplementary Materials
Acknowledgments
Author Contributions
Conflicts of Interest
References
- Jou, J.-H.; Kumar, S.; Agrawal, A.; Li, T.-H.; Sahoo, S. Approaches for fabricating high efficiency organic light emitting diodes. J. Mater. Chem. C 2015, 3, 2974–3002. [Google Scholar] [CrossRef]
- Alamán, J.; Alicante, R.; Peña, J.I.; Sánchez-Somolinos, C. Inkjet Printing of Functional Materials for Optical and Photonic Applications. Materials 2016, 9, 910. [Google Scholar] [CrossRef]
- Konstantatos, G.; Howard, I.; Fischer, A.; Hoogland, S.; Clifford, J.; Klem, E.; Levina, L.; Sargent, E.H. Ultrasensitive solution-cast quantum dot photodetectors. Nature 2006, 442, 180–183. [Google Scholar] [CrossRef] [PubMed]
- Murray, C.; Norris, D.J.; Bawendi, M.G. Synthesis and characterization of nearly monodisperse CdE (E = sulfur, selenium, tellurium) semiconductor nanocrystallites. J. Am. Chem. Soc. 1993, 115, 8706–8715. [Google Scholar] [CrossRef]
- Murray, C.B.; Kagan, C.; Bawendi, M. Synthesis and characterization of monodisperse nanocrystals and close-packed nanocrystal assemblies. Annu. Rev. Mater. Sci. 2000, 30, 545–610. [Google Scholar] [CrossRef]
- Sun, S.; Murray, C.; Weller, D.; Folks, L.; Moser, A. Monodisperse FePt nanoparticles and ferromagnetic FePt nanocrystal superlattices. Science 2000, 287, 1989–1992. [Google Scholar] [CrossRef] [PubMed]
- Murray, C.; Sun, S.; Doyle, H.; Betley, T. Monodisperse 3d transition-metal (Co, Ni, Fe) nanoparticles and their assembly intonanoparticle superlattices. MRS Bull. 2001, 26, 985–991. [Google Scholar] [CrossRef]
- Peng, X.; Manna, L.; Yang, W.; Wickham, J.; Scher, E.; Kadavanich, A.; Alivisatos, A.P. Shape control of CdSe nanocrystals. Nature 2000, 404, 59–61. [Google Scholar] [PubMed]
- Fu, Z.; Zhou, S.; Li, W.; Zhang, S. The study of optical property for CdS nanocrystalline prepared by precipitation method, ICO20: Materials and Nanostructures. In Proceedings of the International Society for Optics and Photonics, Changchun, China, 20 Janury 2006; pp. 60290O–60298O.
- Bawendi, M.G.; Steigerwald, M.L.; Brus, L.E. The quantum mechanics of larger semiconductor clusters (“ quantum dots”). Annu. Rev. Phys. Chem. 1990, 41, 477–496. [Google Scholar] [CrossRef]
- Ibnaouf, K.; Prasad, S.; Al Salhi, M.; Hamdan, A.; Zaman, M.; El Mir, L. Influence of the solvent environments on the spectral features of CdSe quantum dots with and without ZnS shell. J. Lumin. 2014, 149, 369–373. [Google Scholar] [CrossRef]
- Ibnaouf, K.; Prasad, S.; Hamdan, A.; Alsalhi, M.; Aldwayyan, A.; Zaman, M.; Masilamani, V. Photoluminescence spectra of CdSe/ZnS quantum dots in solution. Spectrochim. Acta Part A Mol. Biomol. Spectrosc. 2014, 121, 339–345. [Google Scholar] [CrossRef] [PubMed]
- Klimov, V.I.; Mikhailovsky, A.; Xu, S.; Malko, A.; Hollingsworth, J.; Leatherdale, C.; Eisler, H.-J.; Bawendi, M. Optical gain and stimulated emission in nanocrystal quantum dots. Science 2000, 290, 314–317. [Google Scholar] [CrossRef] [PubMed]
- Caruge, J.-M.; Chan, Y.; Sundar, V.; Eisler, H.; Bawendi, M.G. Transient photoluminescence and simultaneous amplified spontaneous emission from multiexciton states in CdSe quantum dots. Phys. Rev. B 2004, 70, 085316. [Google Scholar] [CrossRef]
- Kita, T.; Yamamoto, N.; Kawanishi, T.; Yamada, H. Ultra-compact wavelength-tunable quantum-dot laser with silicon-photonics double ring filter. Appl. Phys. Express 2015, 8, 062701. [Google Scholar] [CrossRef]
- Nemoto, K.; Kita, T.; Yamada, H. Narrow-spectral-linewidth wavelength-tunable laser diode with Si wire waveguide ring resonators. Appl. Phys. Express 2012, 5, 082701. [Google Scholar] [CrossRef]
- Steckel, J.S.; Coe-Sullivan, S.; Bulović, V.; Bawendi, M.G. 1.3 μm to 1.55 μm tunable electroluminescence from PbSe quantum dots embedded within an organic device. Adv. Mater. 2003, 15, 1862–1866. [Google Scholar] [CrossRef]
- Anantathanasarn, S.; Notzel, R.; van Veldhoven, P.; van Otten, F.; Barbarin, Y.; Servanton, G.; de Vries, T.; Smalbrugge, E.; Geluk, E.; Eijkemans, T. Lasing of wavelength-tunable (1.55 mm region) InAs/InGaAsP/InP (100) quantum dots grown by metal organic vapor-phase epitaxy. Appl. Phys. Lett. 2006, 89, 073115. [Google Scholar] [CrossRef]
- Prasad, S.; Ibnaouf, K.; AlSalhi, M.; Masilamani, V. Laser from the dimer state of a conjugated polymer (PFO) in solution. Polymer 2014, 55, 727–732. [Google Scholar] [CrossRef]
- Ibnaouf, K.; Prasad, S.; Aldwayyan, A.; AlSalhi, M.S.; Masilamani, V. Amplified spontaneous emission spectra from the superexciplex of coumarin 138. Spectrochim. Acta Part A Mol. Biomol. Spectrosc. 2012, 97, 1145–1151. [Google Scholar] [CrossRef] [PubMed]
- Dang, C.; Lee, J.; Breen, C.; Steckel, J.S.; Coe-Sullivan, S.; Nurmikko, A. Red, green and blue lasing enabled by single-exciton gain in colloidal quantum dot films. Nat. Nanotechnol. 2012, 7, 335–339. [Google Scholar] [CrossRef] [PubMed]
- Prasad, S.; Ibnaouf, K.; AlSalhi, M.; Alameh, K.; Devaraj, D.; Hamdan, A.; Karim, M.; Zaman, M.; Masilamani, V. Laser from Optically Pumped Quantum Dot CdSe/ZnS in a Colloidal Liquid. J. Nanosci. Nanotechnol. 2015, 15, 6710–6713. [Google Scholar] [CrossRef] [PubMed]
- Karstens, T.; Kobs, K. Rhodamine B and rhodamine 101 as reference substances for fluorescence quantum yield measurements. J. Phys. Chem. 1980, 84, 1871–1872. [Google Scholar] [CrossRef]
- Willard, D.M.; Carillo, L.L.; Jung, J.; van Orden, A. CdSe-ZnS quantum dots as resonance energy transfer donors in a model protein-protein binding assay. Nano Lett. 2001, 1, 469–474. [Google Scholar] [CrossRef]
- Alsalhi, M.; Ibnaouf, K.; Masilamani, V.; Yassin, O. Excimer state of a conjugate polymer (MEH-PPV) in liquid solutions. Laser Phys. 2007, 17, 1361–1366. [Google Scholar] [CrossRef]
- Masilamani, V.; Ibnaouf, K.; Alsalhi, M.; Yassin, O. Laser properties of a conjugate polymer (MEH-PPV) in the liquid-excimeric state. Laser Phys. 2007, 17, 1367–1373. [Google Scholar] [CrossRef]
- Mujamammi, W.; Prasad, S.; AlSalhi, M.; Masilamani, V. Relaxation Oscillation with Picosecond Spikes in a Conjugated Polymer Laser. Polymers 2016, 8, 364. [Google Scholar] [CrossRef]











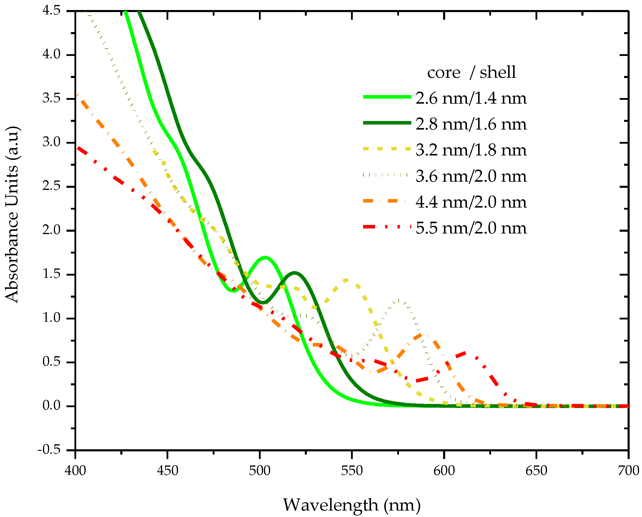
| Quantum Dot Name (Identifier) | Size of Quantum Dot | Absorption Peak (nm) λabs | Emission Peak (nm) λflu | Strokes Shift | |
|---|---|---|---|---|---|
| Core (nm) | Shell(nm) | Δλ = λflu – λabs | |||
| QDs 1 | 2.6 | 1.4 | 501 | 521 | 20 |
| QDs 2 | 2.8 | 1.6 | 519 | 540 | 21 |
| QDs 3 | 3.2 | 1.8 | 541 | 563 | 22 |
| QDs 4 | 3.6 | 2.0 | 575 | 595 | 20 |
| QDs 5 | 4.4 | 2.0 | 590 | 609 | 19 |
| QDs 6 | 5.5 | 2.0 | 611 | 630 | 19 |
| Input (mJ) | Output (µJ) | Efficiency (%) | |
|---|---|---|---|
| QD1 | 15 | 0.015 | 0.1 |
| QD2 | 15 | 0.0147 | 0.098 |
| QD3 | 15 | 0.01455 | 0.097 |
| QD4 | 15 | 0.0123 | 0.082 |
| QD5 | 15 | 0.0105 | 0.07 |
| QD6 | 15 | 0.009 | 0.06 |
© 2017 by the authors. Licensee MDPI, Basel, Switzerland. This article is an open access article distributed under the terms and conditions of the Creative Commons Attribution (CC BY) license ( http://creativecommons.org/licenses/by/4.0/).
Share and Cite
Prasad, S.; AlHesseny, H.S.; AlSalhi, M.S.; Devaraj, D.; Masilamai, V. A High Power, Frequency Tunable Colloidal Quantum Dot (CdSe/ZnS) Laser. Nanomaterials 2017, 7, 29. https://doi.org/10.3390/nano7020029
Prasad S, AlHesseny HS, AlSalhi MS, Devaraj D, Masilamai V. A High Power, Frequency Tunable Colloidal Quantum Dot (CdSe/ZnS) Laser. Nanomaterials. 2017; 7(2):29. https://doi.org/10.3390/nano7020029
Chicago/Turabian StylePrasad, Saradh, Hanan Saleh AlHesseny, Mohamad S. AlSalhi, Durairaj Devaraj, and Vadivel Masilamai. 2017. "A High Power, Frequency Tunable Colloidal Quantum Dot (CdSe/ZnS) Laser" Nanomaterials 7, no. 2: 29. https://doi.org/10.3390/nano7020029
APA StylePrasad, S., AlHesseny, H. S., AlSalhi, M. S., Devaraj, D., & Masilamai, V. (2017). A High Power, Frequency Tunable Colloidal Quantum Dot (CdSe/ZnS) Laser. Nanomaterials, 7(2), 29. https://doi.org/10.3390/nano7020029

