Effects of Preparation Methods on the Structure and Mechanical Properties of Kyanite-Reinforced Alumina Ceramics
Abstract
1. Introduction
2. Experimental Procedure
2.1. Materials
2.2. Methods
2.2.1. Preparation of P-Al2O3 by the Prestress Reinforcement Method
2.2.2. Preparation of C-Al2O3 by the Particle Enhancement Method
2.3. Characterization
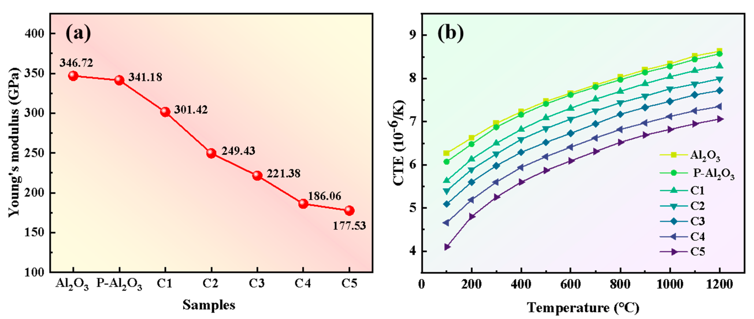
3. Results and Discussion
4. Conclusions
- The strengthening mechanism of P-Al2O3 is attributed to the compressive stress on the surface, which can inhibit the initiation and propagation of cracks. Thus, more fracture energy is needed to break the samples.
- The strengthening mechanism of C-Al2O3 consists of the pinning effect. However, the higher the content of kyanite, the higher the porosity and the lower the strength of P-Al2O3.
- In this work, the flexural strength and fracture toughness of P-Al2O3 were much higher than those of C-Al2O3.
- The prestress reinforcement method is a simple, cost-effective, and effective approach for the fabrication of kyanite-reinforced Al2O3 ceramics with high strength and high fracture toughness.
Supplementary Materials
Author Contributions
Funding
Data Availability Statement
Conflicts of Interest
References
- Ghorbanhossaini, A.; Rafiee, R.; Pligovka, A.; Salerno, M. Dental composites with strength after aging improved by using anodic nanoporous fillers: Experimental results, modeling, and simulations. Eng. Comput. 2023, 39, 387–398. [Google Scholar] [CrossRef]
- Kim, T.G.; Raju, K.; Lee, H.K. Pressure-less joining of alumina ceramics by the reaction-bonded aluminum oxide (RBAO) method. J. Eur. Ceram. Soc. 2021, 41, 7976–7980. [Google Scholar] [CrossRef]
- Zhao, J.; Wang, L.; Mao, X.; An, L.; Liu, Y.; Wang, S.; Zhang, J.; Feng, K. Preparation and properties of porous alumina ceramics for ultra-precision aerostatic bearings. Ceram. Int. 2022, 48, 13311–13318. [Google Scholar] [CrossRef]
- Kohama, K. Joining of alumina ceramics using silicon–magnesium composite filler for high-temperature applications. Sci. Technol. Weld. Join. 2020, 25, 383–390. [Google Scholar] [CrossRef]
- Kaur, K.; Talibi, M.; Parmar, H. Do you know your ceramics? Part 4: Alumina. Br. Dent. J. 2022, 232, 221–223. [Google Scholar] [CrossRef]
- Zhu, C.; Feng, C.; Yang, X.; Peng, Z. Effects of sintering temperature on mechanical properties of alumina fiber reinforced alumina matrix composites. J. Sol-Gel Sci. Technol. 2020, 93, 185–192. [Google Scholar]
- Szutkowska, M.; Cyboroń, J.; Podsiadło, M.; Polczyk, T. Residual stresses in alumina matrix composites reinforced with Ti (C, N). Ceram. Int. 2022, 48, 17116–17122. [Google Scholar] [CrossRef]
- Zhao, D.; Bi, G.; Chen, J.; Zhu, J.; Niu, F.; Ma, G.; Wu, D. Melt-grown behaviour of heat treated high-purity alumina ceramics prepared by laser directed energy deposition. Ceram. Int. 2024, 50, 1777–1787. [Google Scholar] [CrossRef]
- Xu, H.; Zou, J.; Crookes, R.; Ke, B.; Li, Y.; Zhu, Q.; Wang, Q.; Zhang, J.; Wang, W.; Ji, W.; et al. Enhanced properties of nanocrystalline alumina ceramic with compressive prestress and coherently aligned nanograins. J. Am. Ceram. Soc. 2024, 107, 1949–1958. [Google Scholar] [CrossRef]
- Tovar-Vargas, D.; Turon-Vinas, M.; Anglada, M.; Jimenez-Pique, E. Enhancement of mechanical properties of ceria-calcia stabilized zirconia by alumina reinforcement. J. Eur. Ceram. Soc. 2020, 40, 3714–3722. [Google Scholar] [CrossRef]
- Zheng, W.; Wu, J.M.; Chen, S.; Yu, K.; Zhang, J.; Shi, Y. Improved mechanical properties of SiC fiber reinforced silica-based ceramic cores fabricated by stereolithography. J. Mater. Sci. Technol. 2022, 116, 161–168. [Google Scholar] [CrossRef]
- Chen, R.; Bratten, A.; Rittenhouse, J.; Leu, M.C.; Wen, H. Additive manufacturing of continuous carbon fiber-reinforced SiC ceramic composite with multiple fiber bundles by an extrusion-based technique. Ceram. Int. 2023, 49, 9839–9847. [Google Scholar] [CrossRef]
- Bao, Y.; Kuang, F.; Sun, Y.; Li, Y.; Wan, D.; Shen, Z.; Ma, D.; He, L. A simple way to make pre-stressed ceramics with high strength. J. Mater. 2019, 5, 657–662. [Google Scholar] [CrossRef]
- Cao, D.; Lv, K.; Bao, Y.; Tian, Y.; Wan, D. Thickness effect of an alumina–zirconia–mullite composite coating on the properties of zirconia. RSC Adv. 2023, 13, 2736–2744. [Google Scholar] [CrossRef]
- Fu, S.; Jia, Z.; Ding, W.; Bao, Y.; Wan, D. Synthesis and characterization of a high-strength alumina ceramic reinforced by AlN-Al2O3 coating. J. Mater. Sci. 2024, 59, 14235–14244. [Google Scholar] [CrossRef]
- Duan, G.; Sakai, M. An enhanced semi-implicit particle method for simulating the flow of droplets with free surfaces. Comput. Methods Appl. Mech. Eng. 2022, 389, 114338. [Google Scholar] [CrossRef]
- Li, H.Y.; Hao, H.; Tian, Y.; Liu, X.-G.; Wan, D.; Bao, Y. Temperature dependence of flexural strength and residual stress of Al2O3 reinforced by kyanite coating. Ceram. Int. 2022, 48, 28745–28750. [Google Scholar] [CrossRef]
- Nawy, E.G. Prestressed Concrete. A Fundamental Approach; Pearson College Div: Victoria, BC, Canada, 1996. [Google Scholar]
- Pokorný, P.; Chobotský, T.; Prodanovic, N.; Steinerová, V.; Hurtig, K. Bond Strength and Corrosion Protection Properties of Hot-Dip Galvanized Prestressing Reinforcement in Normal-Strength Concrete. J. Compos. Sci. 2024, 8, 407. [Google Scholar] [CrossRef]
- Belenky, A.; Rittel, D. Static and dynamic flexural strength of 99.5% alumina: Relation to porosity. Mech. Mater. 2012, 48, 43–55. [Google Scholar] [CrossRef]
- Xu, H.M.; Wang, X.B.; Wang, B.C.; Xue, Y.; Qi, Y.; Kong, L. Study of the Influence Factors for Ballistic Performance of Glass Fiber Reinforced Composites. J. Phys. Conf. Ser. 2023, 2460, 012096. [Google Scholar] [CrossRef]
- Jia, Z.J.; Fu, S.; Li, H.Y.; Bao, Y.W.; Zhang, C.; Wan, D.T. Enhanced Fracture Strength and Toughness of Zirconia by Coating the Pre-Stressed Mullite-Zirconia. J. Ceram. Sci. Technol. 2024, 15, 21–28. [Google Scholar]
- Wu, H.L.; Li, H.; Cao, D.; Qiu, Y.; Wan, D.; Bao, Y. The Effects of Compressive Residual Stress on Properties of Kyanite-Coated Zirconia Toughened Alumina Ceramics. Materials 2023, 16, 6071. [Google Scholar] [CrossRef]
- Hao, H.; Li, H.; Wan, D.; Bao, Y. Enhanced flexural strength and thermal shock resistance of alumina ceramics by mullite/alumina pre-stressed coating. J. Inorg. Mater. 2022, 37, 1295–1301. [Google Scholar] [CrossRef]
- Li, H.Y.; Wu, H.; Han, Y.; Liu, X.; Wan, D.; Bao, Y. Enhanced high temperature properties of ZTA prestressed ceramics reinforced by cordierite coating. Int. J. Appl. Ceram. Technol. 2024, 21, 855–860. [Google Scholar] [CrossRef]
- ASTM C20-00(2022); Standard Test Methods for Apparent Porosity, Water Absorption, Apparent Specific Gravity, and Bulk Density of Burned Refractory Brick and Shapes by Boiling Water. ASTM International: West Conshohocken, PA, USA, 2022.
- Zhang, X.; Li, Y.; Sun, Y.; Hao, D.; Li, K.; Wan, D.; Bao, Y. Improving the flexural strength of porcelain by residual stress in anorthite coating. Int. J. Appl. Ceram. Technol. 2022, 19, 2566–2573. [Google Scholar] [CrossRef]
- ISO 20343:2017; Fine Ceramics (Advanced Ceramics, Advanced Technical Ceramics)—Test Method for Determining Elastic Modulus of Thick Ceramic Coatings at Elevated Temperature. Technical Committee ISO/TC 206-Fine Ceramics: Geneva, Switzerland, 2017.
- ISO 23458:2020; Fine Ceramics (Advanced Ceramics, Advanced Technical Ceramics)—Test Method for Determining Thermal Expansion Coefficient and Residual Stress of CVD Ceramic Coatings. Technical Committee ISO/TC 206-Fine Ceramics: Geneva, Switzerland, 2020.








Disclaimer/Publisher’s Note: The statements, opinions and data contained in all publications are solely those of the individual author(s) and contributor(s) and not of MDPI and/or the editor(s). MDPI and/or the editor(s) disclaim responsibility for any injury to people or property resulting from any ideas, methods, instructions or products referred to in the content. |
© 2026 by the authors. Licensee MDPI, Basel, Switzerland. This article is an open access article distributed under the terms and conditions of the Creative Commons Attribution (CC BY) license.
Share and Cite
Zhang, X.; Wang, Q.; Wang, Z.; Wang, X.; Lv, K.; Li, H.-Y. Effects of Preparation Methods on the Structure and Mechanical Properties of Kyanite-Reinforced Alumina Ceramics. Nanomaterials 2026, 16, 410. https://doi.org/10.3390/nano16070410
Zhang X, Wang Q, Wang Z, Wang X, Lv K, Li H-Y. Effects of Preparation Methods on the Structure and Mechanical Properties of Kyanite-Reinforced Alumina Ceramics. Nanomaterials. 2026; 16(7):410. https://doi.org/10.3390/nano16070410
Chicago/Turabian StyleZhang, Xuyang, Qin Wang, Zhuo Wang, Xiufang Wang, Kuilin Lv, and Hai-Yan Li. 2026. "Effects of Preparation Methods on the Structure and Mechanical Properties of Kyanite-Reinforced Alumina Ceramics" Nanomaterials 16, no. 7: 410. https://doi.org/10.3390/nano16070410
APA StyleZhang, X., Wang, Q., Wang, Z., Wang, X., Lv, K., & Li, H.-Y. (2026). Effects of Preparation Methods on the Structure and Mechanical Properties of Kyanite-Reinforced Alumina Ceramics. Nanomaterials, 16(7), 410. https://doi.org/10.3390/nano16070410
