Sb-Doped SnO2 Hollow Spheres for Low-Resistance and Highly Selective Xylene Sensors
Abstract
1. Introduction
2. Experimental
2.1. Synthesis of Sensing Materials
2.2. Fabrication of Gas Sensor
2.3. Gas Sensing Measurement
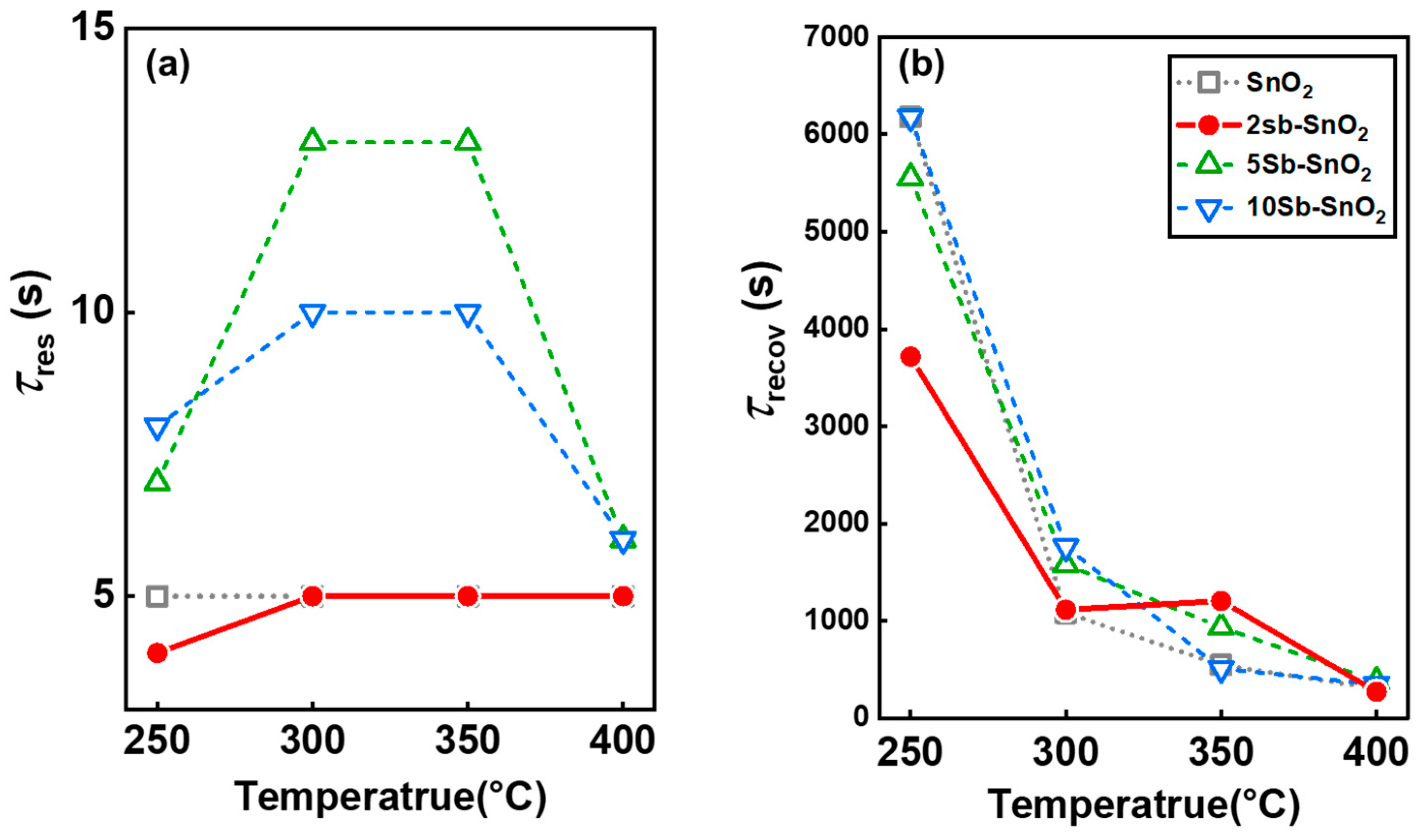
3. Results and Discussion
4. Conclusions
Supplementary Materials
Author Contributions
Funding
Data Availability Statement
Conflicts of Interest
References
- Chan, J.F.; Jeon, J.K.; Moon, Y.K.; Lee, J.-H. Highly sensitive xylene sensors using Fe2O3-ZnFe2O4 composite spheres. J. Sens. Sci. Technol. 2021, 30, 191–195. [Google Scholar] [CrossRef]
- Bian, Y.; Zhang, Y.; Zhou, Y.; Feng, X. BTEX in the environment: An update on sources, fate, distribution, pretreatment, analysis, and removal techniques. Chem. Eng. J. 2022, 435, 134825. [Google Scholar] [CrossRef]
- ATSDR. Toxicological Profile for Lead; US Department of Health and Human Services: Atlanta, GA, USA, 2007; Volume 1, p. 582.
- Jeong, H.-M.; Jeong, S.-Y.; Kim, J.-H.; Kim, B.-Y.; Kim, J.-S.; Abdel-Hady, F.; Wazzan, A.A.; Al-Turaif, H.A.; Jang, H.W.; Lee, J.-H. Gas Selectivity Control in Co3O4 Sensor via Concurrent Tuning of Gas Reforming and Gas Filtering using Nanoscale Hetero-Overlayer of Catalytic Oxides. ACS Appl. Mater. Interfaces 2017, 9, 41397–41404. [Google Scholar] [CrossRef] [PubMed]
- Yamazoe, N.; Shimanoe, K. Theory of power laws for semiconductor gas sensors. Sens. Actuators B 2008, 128, 566–573. [Google Scholar] [CrossRef]
- Woo, H.-S.; Kwak, C.-H.; Chung, J.-H.; Lee, J.-H. Co-doped branched ZnO nanowires for ultraselective and sensitive detection of xylene. ACS Appl. Mater. Interfaces 2014, 6, 22553–22560. [Google Scholar] [CrossRef]
- Xu, M.; Zhang, S.; Li, X.; Wang, H.; Wang, X.; Wang, J.; Zhao, Z.; He, G. Metal-organic frameworks for the separation of xylene isomers. Chem. Soc. Rev. 2025, 54, 1613–1633. [Google Scholar] [CrossRef]
- Alharby, T.N.; Alanazi, M.; Alanazi, J. Electrochemical and colorimetric sensing of P-xylene using doped C60 fullerenes: A dual approach to medical and environmental applications. Sci. Rep. 2026, 16, 612. [Google Scholar] [CrossRef]
- Yang, W.; Hao, J.; Zhang, Z.; Wu, Y.; Wang, Z.; Li, Z. Chemiresistive detection of xylene vapor using MOF-derived porous Co3O4 microrods activated by Mo6+ cations. Sens. Actuators B 2025, 422, 136658. [Google Scholar] [CrossRef]
- Hassanzadeh-Afrouzi, M.; Tajalli, H.; Shokrollah-Nezhad, S.; Maleki, A.; Tajalli, S. Strategies to detect xylene gas using chemoresistive gas sensors: An overview. J. Ind. Eng. Chem. 2024, 139, 56–73. [Google Scholar] [CrossRef]
- Hu, S.; Hao, J.; Zhang, Z.; Wu, Y.; Wang, Z.; Li, Z. Ultrasensitive xylene sensor based on RuO2-modified BiVO4 nanosheets. Sens. Actuators B 2025, 422, 136623. [Google Scholar] [CrossRef]
- Verma, M.; Bahuguna, A.; Gupta, R. Room Temperature Humidity Tolerant Xylene Sensor Using a Sn-SnO2 Nanocomposite. ACS Appl. Mater. Interfaces 2023, 15, 5512–5520. [Google Scholar] [CrossRef]
- Durmusoglu, E.; Taspinar, F.; Karademir, A. Health risk assessment of BTEX emissions in the landfill environment. J. Hazard. Mater. 2010, 176, 870–877. [Google Scholar] [CrossRef]
- Sheu, R.; Stönner, C.; Ditto, J.C.; Klüpfel, T.; Williams, J.; Gentner, D.R. Human transport of thirdhand tobacco smoke: A prominent source of hazardous air pollutants into indoor nonsmoking environments. Sci. Adv. 2020, 6, eaay4109. [Google Scholar] [CrossRef]
- Jeong, S.Y.; Kim, J.S.; Lee, J.H. Rational design of semiconductor-based chemiresistors and their libraries for next-generation artificial olfaction. Adv. Mater. 2020, 32, 2002075. [Google Scholar] [CrossRef]
- Kim, S.-J.; Choi, S.-J.; Jang, J.-S.; Kim, N.-H.; Hakim, M.; Tuller, H.L.; Kim, I.-D. Mesoporous WO3 Nanofibers with Protein-Templated Nanoscale Catalysts for Detection of Trace Biomarkers in Exhaled Breath. ACS Nano 2016, 10, 5891–5899. [Google Scholar] [CrossRef]
- Yamazoe, N.; Sakai, G.; Shimanoe, K. Oxide semiconductor gas sensors. Catal. Surv. Asia 2003, 7, 63–75. [Google Scholar] [CrossRef]
- Lee, J.-H. Linear gas sensing with dielectric excitation. Nat. Electron. 2020, 3, 239–240. [Google Scholar] [CrossRef]
- Kim, Y.H.; Kim, S.J.; Kim, Y.-J.; Shim, Y.-S.; Kim, S.Y.; Hong, B.H.; Jang, H.W. Self-activated transparent all-graphene gas sensor with endurance to humidity and mechanical bending. ACS Nano 2015, 9, 10453–10460. [Google Scholar] [CrossRef] [PubMed]
- Srivastava, S.; Sharma, T.; Deshwal, M. Parametric Optimization for Highly Sensitive ZnO Based NOX Gas Sensor. Trans. Electr. Electron. Mater. 2024, 25, 434–441. [Google Scholar] [CrossRef]
- Kumar, G.; Singh, V.P.; Pandey, S.K. Assessing Gas Leakage Detection Performance Using Machine Learning with Different Modalities. Trans. Electr. Electron. Mater. 2024, 25, 653–664. [Google Scholar] [CrossRef]
- Yoon, J.-W.; Choi, S.H.; Kim, J.-S.; Jang, H.W.; Kang, Y.C.; Lee, J.-H. Trimodally porous SnO2 nanospheres with three-dimensional interconnectivity and size tunability: A one-pot synthetic route and potential application as an extremely sensitive ethanol detector. NPG Asia Mater. 2016, 8, e244. [Google Scholar] [CrossRef]
- Liu, Y.; Jiao, Y.; Zhang, Z.; Qu, F.; Umar, A.; Wu, X. Hierarchical SnO2 Nanostructures Made of Intermingled Ultrathin Nanosheets for Environmental Remediation, Smart Gas Sensor, and Supercapacitor Applications. ACS Appl. Mater. Interfaces 2014, 6, 2174–2184. [Google Scholar] [CrossRef]
- Sui, L.; Zhang, X.; Cheng, X.; Wang, P.; Xu, Y.; Gao, S.; Zhao, H.; Huo, L. Au-Loaded Hierarchical MoO3 Hollow Spheres with Enhanced Gas-Sensing Performance for the Detection of BTX (Benzene, Toluene, And Xylene) And the Sensing Mechanism. ACS Appl. Mater. Interfaces 2017, 9, 1661–1670. [Google Scholar] [CrossRef]
- Zhu, L.-Y.; Ou, L.-X.; Mao, L.-W.; Wu, X.-Y.; Liu, Y.-P.; Lu, H.-L. Advances in noble metal-decorated metal oxide nanomaterials for chemiresistive gas sensors: Overview. Nano-Micro Lett. 2023, 15, 89. [Google Scholar] [CrossRef]
- Bulemo, P.M.; Kim, D.-H.; Shin, H.; Cho, H.-J.; Koo, W.-T.; Choi, S.-J.; Park, C.; Ahn, J.; Guntner, A.T.; Penner, R.M. Selectivity in Chemiresistive Gas Sensors: Strategies and Challenges. Chem. Rev. 2025, 125, 4111–4183. [Google Scholar] [CrossRef]
- Kim, B.-Y.; Yoon, J.-W.; Kim, J.K.; Kang, Y.C.; Lee, J.-H. Dual role of multiroom-structured Sn-doped NiO microspheres for ultrasensitive and highly selective detection of xylene. ACS Appl. Mater. Interfaces 2018, 10, 16605–16612. [Google Scholar] [CrossRef] [PubMed]
- Kim, T.-H.; Jeong, S.-Y.; Moon, Y.K.; Lee, J.-H. Dual-mode gas sensor for ultrasensitive and highly selective detection of xylene and toluene using Nb-doped NiO hollow spheres. Sens. Actuators B 2019, 301, 127140. [Google Scholar] [CrossRef]
- Kim, H.-J.; Yoon, J.-W.; Choi, K.-I.; Jang, H.W.; Umar, A.; Lee, J.-H. Ultraselective and sensitive detection of xylene and toluene for monitoring indoor air pollution using Cr-doped NiO hierarchical nanostructures. Nanoscale 2013, 5, 7066–7073. [Google Scholar] [CrossRef] [PubMed]
- Maebana, L.M.; Motsoeneng, R.G.; Tshabalala, Z.P.; Swart, H.C.; Cummings, F.R.; Jozela, M.; Nkosi, S.S.; Motaung, D.E. Low-operational temperature for selective detection of xylene gas using a p-n CuO-ZnO heterostructure-based sensor. J. Alloys Compd. 2023, 960, 170683. [Google Scholar] [CrossRef]
- Jeong, S.-Y.; Moon, Y.K.; Wang, J.; Lee, J.-H. Exclusive detection of volatile aromatic hydrocarbons using bilayer oxide chemiresistors with catalytic overlayers. Nat. Commun. 2023, 14, 233. [Google Scholar] [CrossRef]
- Jeong, S.-Y.; Moon, Y.K.; Kim, J.-K.; Park, S.-W.; Jo, Y.K.; Kang, Y.C.; Lee, J.-H. A General Solution to Mitigate Water Poisoning of Oxide Chemiresistors: Bilayer Sensors with Tb4O7 Overlayer. Adv. Funct. Mater. 2021, 31, 2007895. [Google Scholar] [CrossRef]
- Jeong, S.-Y.; Jang, J. CeO2-filter-based monolithic bilayer gas sensors for selective, sensitive, and fast methanol detection. Chem. Eng. J. 2025, 507, 160614. [Google Scholar] [CrossRef]
- Liu, J.; Dai, M.; Wang, T.; Sun, P.; Liang, X.; Lu, G.; Shimanoe, K.; Yamazoe, N. Enhanced Gas Sensing Properties of SnO2 Hollow Spheres Decorated with CeO2 Nanoparticles Heterostructure Composite Materials. ACS Appl. Mater. Interfaces 2016, 8, 6669–6677. [Google Scholar] [CrossRef]
- Wongchoosuk, C.; Wisitsoraat, A.; Tuantranont, A.; Kerdcharoen, T. Portable electronic nose based on carbon nanotube-SnO2 gas sensors and its application for detection of methanol contamination in whiskeys. Sens. Actuators B 2010, 147, 392–399. [Google Scholar] [CrossRef]
- Zhao, T.; Qiu, P.; Fan, Y.; Yang, J.; Jiang, W.; Wang, L.; Deng, Y.; Luo, W. Hierarchical branched mesoporous TiO2–SnO2 nanocomposites with well-defined n–n heterojunctions for highly efficient ethanol sensing. Adv. Sci. 2019, 6, 1902008. [Google Scholar] [CrossRef]
- Kim, B.-Y.; Cho, J.S.; Yoon, J.-W.; Na, C.W.; Lee, C.-S.; Ahn, J.H.; Kang, Y.C.; Lee, J.-H. Extremely sensitive ethanol sensor using Pt-doped SnO2hollownanospherespreparedbyKirkendalldiffusion. Sens. Actuators B 2016, 234, 353–360. [Google Scholar] [CrossRef]
- Zhang, H.; Guo, S.; Zheng, W.; Wang, H.; Li, H.-Y.; Yu, M.-H.; Chang, Z.; Bu, X.-H.; Liu, H. Facile engineering of metal–organic framework derived SnO2-ZnO composite based gas sensor toward superior acetone sensing performance. Chem. Eng. J. 2023, 469, 143927. [Google Scholar] [CrossRef]
- Kim, K.B.; Sohn, M.S.; Hwang, I.-S.; Yoo, D.J.; Jeong, S.-Y.; Kang, Y.C.; Moon, Y.K. Mitigating alcohol inhibition of oxide chemiresistors: Bilayer sensors with HZSM-5 zeolite overlayers. Nat. Commun. 2025, 16, 5121. [Google Scholar] [CrossRef] [PubMed]
- Kim, S.; Ko, T.Y.; Jena, A.K.; Nissimagoudar, A.S.; Lee, J.; Lee, S.; Oh, T.; Kang, Y.C.; In, I.; Bhattacharjee, S.; et al. Instant self-assembly of functionalized MXenes in organic solvents: General fabrication to high-performance chemical gas sensors. Adv. Funct. Mater. 2024, 34, 2310641. [Google Scholar] [CrossRef]
- Jeong, S.-Y.; Yoon, J.-W.; Kim, T.-H.; Jeong, H.-M.; Lee, C.-S.; Kang, Y.C.; Lee, J.-H. Ultra-selective detection of sub-ppm-level benzene using Pd–SnO2 yolk–shell micro-reactors with a catalytic Co3O4 overlayer for monitoring air quality. J. Mater. Chem. A 2017, 5, 1446–1454. [Google Scholar] [CrossRef]
- Moon, Y.K.; Jeong, S.-Y.; Kang, Y.C.; Lee, J.-H. Exclusive detection of ethylene using metal oxide chemiresistors with a Pd-V2O5-TiO2 yolk–shell catalytic overlayer via heterogeneous Wacker oxidation. J. Mater. Chem. A 2023, 11, 666–675. [Google Scholar] [CrossRef]
- Suematsu, K.; Sasaki, M.; Ma, N.; Yuasa, M.; Shimanoe, K. Antimony-doped tin dioxide gas sensors exhibiting high stability in the sensitivity to humidity changes. ACS Sens. 2016, 1, 913–920. [Google Scholar] [CrossRef]
- Großmann, K.; Kovács, K.E.; Pham, D.K.; Mädler, L.; Barsan, N.; Weimar, U. Enhancing performance of FSP SnO2-basedgassensorsthroughSb-dopingandPd-functionalization. Sens. Actuators B 2011, 158, 388–392. [Google Scholar] [CrossRef]
- Zhang, B.; Tian, Y.; Zhang, J.; Cai, W. The FTIR studies of SnO2:Sb(ATO) films deposited by spray pyrolysis. Mater. Lett. 2011, 65, 1204–1206. [Google Scholar] [CrossRef]
- Kwak, C.-H.; Woo, H.-S.; Lee, J.-H. Fast Responding Gas Sensors Using Sb-Doped SnO2 Nanowire Networks. J. Sens. Sci. Technol. 2013, 22, 302–307. [Google Scholar] [CrossRef]
- Feng, C.; Jiang, Z.; Wu, J.; Chen, B.; Lu, G.; Huang, C. Pt-Cr2O3-WO3 composite nanofibers as gas sensors for ultra-high sensitive and selective xylene detection. Sens. Actuators B 2019, 300, 127008. [Google Scholar] [CrossRef]
- Guo, M.; Luo, N.; Chen, Y.; Fan, Y.; Wang, X.; Xu, J. Fast-response MEMS xylene gas sensor based on CuO/WO3 hierarchical structure. Sens. Actuators B 2022, 429, 127471. [Google Scholar] [CrossRef]
- Gao, H.; Guo, J.; Li, Y.; Xie, C.; Li, X.; Liu, L.; Chen, Y.; Sun, P.; Liu, F.; Yan, X.; et al. Highly selective and sensitive xylene gas sensor fabricated from NIO/NICr2O4 p-p nanoparticles. Sens. Actuators B 2019, 284, 305–315. [Google Scholar] [CrossRef]
- Kwak, C.-H.; Kim, T.-H.; Jeong, S.-Y.; Yoon, J.-W.; Kim, J.-S.; Lee, J.-H. Humidity-independent oxide semiconductor chemiresistors using terbium-doped SnO2 yolk–shell spheres for real-time breath analysis. ACS Appl. Mater. Interfaces 2018, 10, 18886–18894. [Google Scholar] [CrossRef]
- Kim, J.-S.; Na, C.W.; Kwak, C.-H.; Li, H.-Y.; Yoon, J.-W.; Kim, J.-H.; Jeong, S.-Y.; Lee, J.-H. Humidity-independent gas sensors using Pr-doped In2O3 macroporous spheres: Role of cyclic Pr3+/Pr4+ redox reactions in suppression of water-poisoning effect. ACS Appl. Mater. Interfaces 2019, 11, 25322–25329. [Google Scholar] [CrossRef] [PubMed]









| Sample | Resistance (kΩ) |
|---|---|
| SnO2 | 7223.8 |
| 2Sb-SnO2 | 38.5 |
| 5Sb-SnO2 | 23.9 |
| 10Sb-SnO2 | 0.8 |
| Material | Conc. [ppm] | Response [RaRg−1 − 1, RgRa−1 − 1] | Sensor Resistance [kΩ] | Sensor Temp. [°C] | Ref. |
|---|---|---|---|---|---|
| Nb-doped NiO hollow spheres | 5 | 1171 | 5400 | 350 | [26] |
| Cr-doped NiO hierarchical nanostructures | 5 | 11.6 | ~200 | 400 | [27] |
| CuO-ZnO heterostructure-based sensor | 5 | 1.9 | ~1 | 100 | [28] |
| Pt-Cr2O3-WO3 nanofiber | 10 | 74.3 | ~150,000 | 325 | [47] |
| CuO/WO3 hierarchical structure | 50 | 6.4 | ~328 | 260 | [48] |
| NiO/NiCr2O4 nanoparticles | 100 | 66.2 | ~2700 | 225 | [49] |
| Au-loaded MoO3 hollow spheres | 100 | 22.1 | ~900,000 | 250 | [24] |
| 2Sb-SnO2 hollow spheres | 5 | 24.0 | 38.5 | 300 | This work |
Disclaimer/Publisher’s Note: The statements, opinions and data contained in all publications are solely those of the individual author(s) and contributor(s) and not of MDPI and/or the editor(s). MDPI and/or the editor(s) disclaim responsibility for any injury to people or property resulting from any ideas, methods, instructions or products referred to in the content. |
© 2026 by the authors. Licensee MDPI, Basel, Switzerland. This article is an open access article distributed under the terms and conditions of the Creative Commons Attribution (CC BY) license.
Share and Cite
Seo, J.-H.; Yoon, S.-Y.; Lee, S.-M.; Jeong, S.-Y. Sb-Doped SnO2 Hollow Spheres for Low-Resistance and Highly Selective Xylene Sensors. Nanomaterials 2026, 16, 313. https://doi.org/10.3390/nano16050313
Seo J-H, Yoon S-Y, Lee S-M, Jeong S-Y. Sb-Doped SnO2 Hollow Spheres for Low-Resistance and Highly Selective Xylene Sensors. Nanomaterials. 2026; 16(5):313. https://doi.org/10.3390/nano16050313
Chicago/Turabian StyleSeo, Jung-Hoo, Seong-Young Yoon, Sang-Myeong Lee, and Seong-Yong Jeong. 2026. "Sb-Doped SnO2 Hollow Spheres for Low-Resistance and Highly Selective Xylene Sensors" Nanomaterials 16, no. 5: 313. https://doi.org/10.3390/nano16050313
APA StyleSeo, J.-H., Yoon, S.-Y., Lee, S.-M., & Jeong, S.-Y. (2026). Sb-Doped SnO2 Hollow Spheres for Low-Resistance and Highly Selective Xylene Sensors. Nanomaterials, 16(5), 313. https://doi.org/10.3390/nano16050313

