Thermal-Assisted Field Emission Characteristics of Carbon Nanotubes and Application in Pulsed X-Ray Imaging
Abstract
1. Introduction
2. Experimental Section
2.1. Preparation and Characterization of CNT Cathodes
2.2. Continuous and Pulsed Field-Emission Testing
2.3. X-Ray Imaging Experiments
3. Results and Discussion
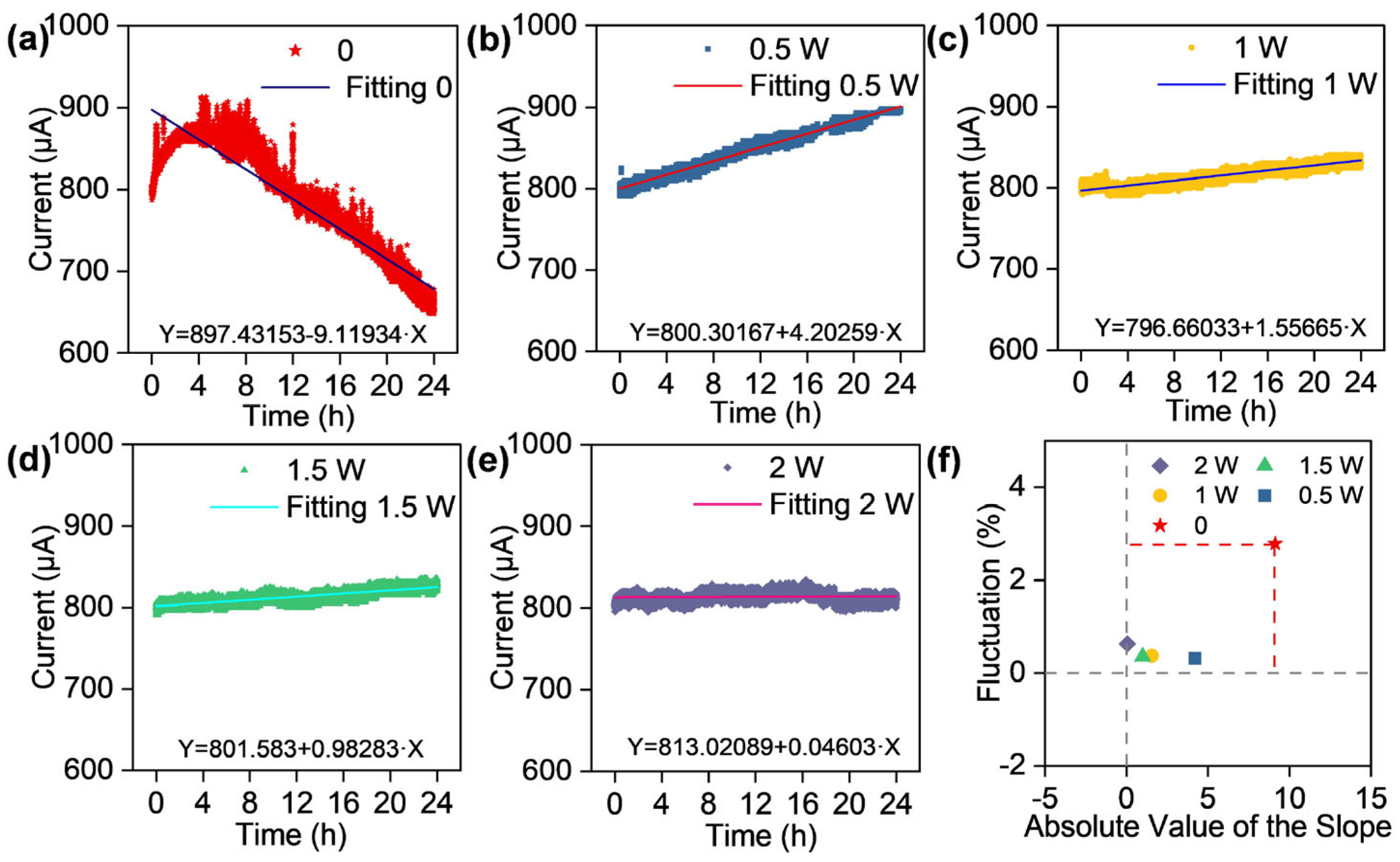
3.1. Field Emission Performance Testing and Analysis of CNT Cathode
3.2. Morphological and Defect Changes Analysis of the Cathode Before and After Field-Emission Testing
3.3. Pulsed Electron Emission Performance of CNTs
3.4. Performance Testing and Analysis of X-Ray Generation from CNTs
4. Conclusions
Author Contributions
Funding
Data Availability Statement
Conflicts of Interest
Abbreviations
| CNT | Carbon nanotube |
| AD-MWCNTs | Arc discharge multi-walled carbon nanotubes |
| DC | Direct current |
Appendix A






References
- Parmee, R.J.; Collins, C.M.; Milne, W.I.; Cole, M.T. X-ray generation using carbon nanotubes. Nano Converg. 2015, 2, 1. [Google Scholar] [CrossRef]
- Smith, R.C.; Carey, J.D.; Poa, C.H.P.; Cox, D.C.; Silva, S.R.P. Electron field emission from room temperature grown carbon nanofibers. J. Appl. Phys. 2004, 95, 3153–3157. [Google Scholar] [CrossRef]
- de Heer, W.A.; Châtelain, A.; Ugarte, D. A Carbon Nanotube Field-Emission Electron Source. Science 1995, 270, 1179–1180. [Google Scholar] [CrossRef]
- Rinzler, A.G.; Hafner, J.H.; Nikolaev, P.; Nordlander, P.; Colbert, D.T.; Smalley, R.E.; Lou, L.; Kim, S.G.; Tománek, D. Unraveling Nanotubes: Field Emission from an Atomic Wire. Science 1995, 269, 1550–1553. [Google Scholar] [CrossRef] [PubMed]
- Seelaboyina, R.; Boddepalli, S.; Noh, K.; Jeon, M.; Choi, W. Enhanced field emission from aligned multistage carbon nanotube emitter arrays. Nanotechnology 2008, 19, 065605. [Google Scholar] [CrossRef]
- Shin, D.H.; Yun, K.N.; Jeon, S.-G.; Kim, J.-I.; Saito, Y.; Milne, W.I.; Lee, C.J. High performance field emission of carbon nanotube film emitters with a triangular shape. Carbon 2015, 89, 404–410. [Google Scholar] [CrossRef]
- Yahyazadeh, A.; Nanda, S.; Dalai, A.K. Carbon Nanotubes: A Review of Synthesis Methods and Applications. Reactions 2024, 5, 429–451. [Google Scholar] [CrossRef]
- Xiao, D.; Du, H.; Sun, L.; Suo, X.; Wang, Y.; Zhang, Y.; Zhang, S.; Kuang, S.; Hu, F.; Tu, L.; et al. Boosting the electron beam transmittance of field emission cathode using a self-charging gate. Nat. Commun. 2024, 15, 764. [Google Scholar] [CrossRef]
- Bocharov, G.; Eletskii, A. Theory of Carbon Nanotube (CNT)-Based Electron Field Emitters. Nanomaterials 2013, 3, 393–442. [Google Scholar] [CrossRef]
- Kim, J.H.; Kang, J.S.; Park, K.C. Fabrication of Stable Carbon Nanotube Cold Cathode Electron Emitters with Post-Growth Electrical Aging. Micromachines 2018, 9, 648. [Google Scholar] [CrossRef]
- Kim, B.J.; Kim, J.P.; Park, J.S. Effects of Al interlayer coating and thermal treatment on electron emission characteristics of carbon nanotubes deposited by electrophoretic method. Nanoscale Res. Lett. 2014, 9, 236. [Google Scholar] [CrossRef]
- Sun, Y.; Shin, D.H.; Yun, K.N.; Hwang, Y.M.; Song, Y.; Leti, G.; Jeon, S.-G.; Kim, J.-I.; Saito, Y.; Lee, C.J. Field emission behavior of carbon nanotube field emitters after high temperature thermal annealing. AIP Adv. 2014, 4, 077110. [Google Scholar] [CrossRef]
- Mehdi, S.M.Z.; Abbas, S.Z.; Seo, Y.; Goak, J.C.; Lee, N. Enhancing purity and crystallinity of carbon nanotubes by magnetically assisted arc discharge and thermal purification and their field emission characteristics. Surf. Interfaces 2024, 49, 104442. [Google Scholar] [CrossRef]
- Guo, D.; Yuan, G.; Song, C.; Gu, C.; Wang, Q. Field Emission of Carbon Nanotubes Grown on Metal Microtips at Different Temperature. Chin. Sci. Bull. 2007, 52, 1242–1245. [Google Scholar] [CrossRef]
- Zhidan Li, T.; McKenzie, C.; Espinosa, R.; Snyder, S.; Munson, M. CNT cold cathodes for application in low current x-ray tubes. In Proceedings of the 2007 IEEE 20th International Vacuum Nanoelectronics Conference, Chicago, IL, USA, 8–12 July 2007; pp. 65–66. [Google Scholar]
- Jin, C.; Wang, J.; Wang, M.; Su, J.; Peng, L.-M. In-situ studies of electron field emission of single carbon nanotubes inside the TEM. Carbon 2005, 43, 1026–1031. [Google Scholar] [CrossRef]
- Forbes, R.G. Renewing the mainstream theory of field and thermal electron emission. In Modern Developments in Vacuum Electron Sources; Springer: Berlin/Heidelberg, Germany, 2020; pp. 387–447. [Google Scholar]
- Forbes, R.G. The Murphy-Good plot: A better method of analysing field emission data. R. Soc. Open Sci. 2019, 6, 190912. [Google Scholar] [CrossRef]
- de Knoop, L.; Houdellier, F.; Gatel, C.; Masseboeuf, A.; Monthioux, M.; Hytch, M. Determining the work function of a carbon-cone cold-field emitter by in situ electron holography. Micron 2014, 63, 2–8. [Google Scholar] [CrossRef]
- Dall’Agnol, F.F.; de Assis, T.A.; Fairchild, S.B.; Ludwick, J.; Tripathi, G.; Cahay, M. Looped carbon nanotube fibers as cathodes with giant field enhancement factors. Appl. Phys. Lett. 2020, 117, 253101. [Google Scholar] [CrossRef]
- Kolosko, A.G.; Filippov, S.V.; Romanov, P.A.; Popov, E.O.; Forbes, R.G. Real-time implementation of the “orthodoxy test” for conformity of current–voltage characteristics with classical field electron emission theory. J. Vac. Sci. Technol. B Nanotechnol. Microelectron. Mater. Process. Meas. Phenom. 2016, 34, 041802. [Google Scholar] [CrossRef]
- Forbes, R.G. Development of a simple quantitative test for lack of field emission orthodoxy. Proc. R. Soc. A Math. Phys. Eng. Sci. 2013, 469, 20130271. [Google Scholar] [CrossRef]
- Parveen, S.; Kumar, A.; Husain, S.; Husain, M. Fowler Nordheim theory of carbon nanotube based field emitters. Phys. B Condens. Matter 2017, 505, 1–8. [Google Scholar] [CrossRef]
- Wang, Y.C.X.Z.W.L.Y.D.M.X.Q. Thermal-assisted field emission from carbon nanotube cathode. In Proceedings of the 25th International Vacuum Nanoelectronics Conference, Reykjavik, Iceland, 9–13 July 2012. [Google Scholar]
- Tang, S.; Tang, J.; Wu, Y.; Chen, Y.H.; Uzuhashi, J.; Ohkubo, T.; Qin, L.C. Stable field-emission from a CeB(6) nanoneedle point electron source. Nanoscale 2021, 13, 17156–17161. [Google Scholar] [CrossRef]
- Albers, P.W.; Leich, V.; Ramirez-Cuesta, A.J.; Cheng, Y.; Hönig, J.; Parker, S.F. The characterisation of commercial 2D carbons: Graphene, graphene oxide and reduced graphene oxide. Mater. Adv. 2022, 3, 2810–2826. [Google Scholar] [CrossRef]
- Ferrari, A.C.; Robertson, J. Interpretation of Raman spectra of disordered and amorphous carbon. Phys. Rev. B 2000, 61, 14095–14107. [Google Scholar] [CrossRef]
- Madito, M.J. Revisiting the Raman disorder band in graphene-based materials: A critical review. Vib. Spectrosc. 2025, 139, 103814. [Google Scholar] [CrossRef]
- Maiti, A.; Andzelm, J.; Tanpipat, N.; von Allmen, P. Effect of adsorbates on field emission from carbon nanotubes. Phys. Rev. Lett. 2001, 87, 155502. [Google Scholar] [CrossRef] [PubMed]
- Liang, S.-D.; Chen, L. Theories of field and thermionic electron emissions from carbon nanotubes. J. Vac. Sci. Technol. B Nanotechnol. Microelectron. Mater. Process. Meas. Phenom. 2010, 28, C2A50–C52A57. [Google Scholar] [CrossRef]
- Kang, J.T.; Kim, J.W.; Jeong, J.W.; Choi, S.; Choi, J.; Ahn, S.; Song, Y.H. Analysis of Failure in Miniature X-ray Tubes with Gated Carbon Nanotube Field Emitters. ETRI J. 2013, 35, 1164–1167. [Google Scholar] [CrossRef]
- Acosta, E.; Llovet, X.; Coleoni, E.; Riveros, J.A.; Salvat, F. Monte Carlo simulation of x-ray emission by kilovolt electron bombardment. J. Appl. Phys. 1998, 83, 6038–6049. [Google Scholar] [CrossRef]







| Power | (m2) | |
|---|---|---|
| 0 | 6.01 × 10−15 | 1922.11 |
| 0.5 W | 1.97 × 10−14 | 1905.71 |
| 1 W | 1.20 × 10−14 | 2003.79 |
| 1.5 W | 6.27 × 10−15 | 2106.31 |
| 2 W | 2.16 × 10−15 | 2258.63 |
| Power | flow | fup |
|---|---|---|
| 0 | 0.295 | 0.398 |
| 0.5 W | 0.281 | 0.376 |
| 1 W | 0.284 | 0.385 |
| 1.5 W | 0.292 | 0.396 |
| 2 W | 0.300 | 0.416 |
Disclaimer/Publisher’s Note: The statements, opinions and data contained in all publications are solely those of the individual author(s) and contributor(s) and not of MDPI and/or the editor(s). MDPI and/or the editor(s) disclaim responsibility for any injury to people or property resulting from any ideas, methods, instructions or products referred to in the content. |
© 2026 by the authors. Licensee MDPI, Basel, Switzerland. This article is an open access article distributed under the terms and conditions of the Creative Commons Attribution (CC BY) license.
Share and Cite
Xia, Z.; Feng, S.; Sun, X.; Li, C.; Li, Z.; Zhao, L. Thermal-Assisted Field Emission Characteristics of Carbon Nanotubes and Application in Pulsed X-Ray Imaging. Nanomaterials 2026, 16, 282. https://doi.org/10.3390/nano16050282
Xia Z, Feng S, Sun X, Li C, Li Z, Zhao L. Thermal-Assisted Field Emission Characteristics of Carbon Nanotubes and Application in Pulsed X-Ray Imaging. Nanomaterials. 2026; 16(5):282. https://doi.org/10.3390/nano16050282
Chicago/Turabian StyleXia, Zhiqiang, Shichao Feng, Xiaodong Sun, Chi Li, Zhenjun Li, and Liye Zhao. 2026. "Thermal-Assisted Field Emission Characteristics of Carbon Nanotubes and Application in Pulsed X-Ray Imaging" Nanomaterials 16, no. 5: 282. https://doi.org/10.3390/nano16050282
APA StyleXia, Z., Feng, S., Sun, X., Li, C., Li, Z., & Zhao, L. (2026). Thermal-Assisted Field Emission Characteristics of Carbon Nanotubes and Application in Pulsed X-Ray Imaging. Nanomaterials, 16(5), 282. https://doi.org/10.3390/nano16050282

