Aluminum-Induced Surface-Enhanced Raman Scattering in Ti-Al-Ti Sandwich Multilayer Thin Films
Abstract
1. Introduction
2. Materials and Methods
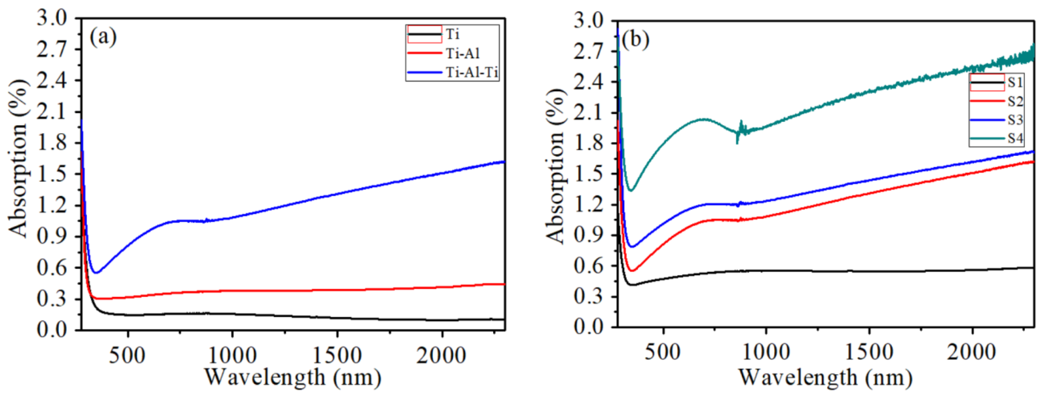
3. Results and Discussion
4. Conclusions
Author Contributions
Funding
Data Availability Statement
Conflicts of Interest
References
- Mao, W.; Li, Y.; Jiang, X.; Liu, Z.; Yang, L. A whispering-gallery scanning microprobe for Raman spectroscopy and imaging. Light Sci. Appl. 2023, 12, 247. [Google Scholar] [CrossRef] [PubMed]
- Zou, H.; Ren, G.; Shang, M.; Wang, W. One-step, seedless, fabrication of three-dimensional gold meso-flowers (3D-AuMFs) with high activities in catalysis and surface-enhanced Raman scattering. Mater. Chem. Phys. 2016, 176, 115–120. [Google Scholar] [CrossRef]
- Dong, S.; He, D.; Zhang, Q.; Huang, C.; Hu, Z.; Zhang, C.; Nie, L.; Wang, K.; Luo, W.; Yu, J.; et al. Early cancer detection by serum biomolecular fingerprinting spectroscopy with machine learning. eLight 2023, 3, 17. [Google Scholar] [CrossRef]
- Liu, J.; Liu, Y.; Zhang, Y.; Ruan, X.; Cheng, H.; Ge, Q.; Zhang, L. Efficient V-Shaped Substrate for Surface and Volume Enhanced Raman Spectroscopic Analysis of Bioaerosol: Prevention from Potential Health Risk. Environ. Health 2024, 2, 212–220. [Google Scholar] [CrossRef]
- Chirumamilla, M.; Chirumamilla, A.; Roberts, A.S.; Zaccaria, R.P.; De Angelis, F.; Kristensen, P.K.; Krahne, R.; Bozhevolnyi, S.I.; Pedersen, K.; Toma, A. Hot-Spot Engineering in 3D Multi-Branched Nanostructures: Ultrasensitive Substrates for Surface-Enhanced Raman Spectroscopy. Adv. Opt. Mater. 2017, 5, 1600836. [Google Scholar] [CrossRef]
- Hardy, M.; Oppenheimer, P.G. When is a hotspot a good nanospot-review of analytical and hotspot-dominated surface enhanced Raman spectroscopy nanoplatforms. Nanoscale 2024, 16, 3293–3323. [Google Scholar] [CrossRef]
- Chen, W.-T.; Cheng, Y.-W.; Yang, M.-C.; Jeng, R.-J.; Liu, T.-Y.; Wang, J.-K.; Wang, Y.-L. Mesoporous Silica Nanospheres Decorated by Ag–Nanoparticle Arrays with 5 nm Interparticle Gap Exhibit Insignificant Hot-Spot Raman Enhancing Effect. J. Phys. Chem. C 2019, 123, 18528–18535. [Google Scholar] [CrossRef]
- Maratos, D.M.; Michail, A.; Stamatelatos, A.; Grammatikopoulos, S.; Anestopoulos, D.; Tangoulis, V.; Papagelis, K.; Parthenios, J.; Poulopoulos, P. Enhanced Raman Scattering in CVD-Grown MoS2/Ag Nanoparticle Hybrids. Materials 2024, 17, 4396. [Google Scholar] [CrossRef]
- Chen, Y.; He, Y.; Wang, J.; Li, M.; Yu, M.; Ye, R.; Geng, B.; Yang, Z.; Zeng, X.; Hu, J. Segmented Ag–Au–Ag Heterojunction Nanorods: Pressure-Assisted Aqueous-Phase Synthesis and Engineered Femtosecond-to-Nanosecond Dynamics. J. Phys. Chem. Lett. 2021, 12, 989–996. [Google Scholar] [CrossRef]
- Ahn, H.-J.; Thiyagarajan, P.; Jia, L.; Kim, S.-I.; Yoon, J.-C.; Thomas, E.L.; Jang, J.-H. An optimal substrate design for SERS: Dual-scale diamond-shaped gold nano-structures fabricated via interference lithography. Nanoscale 2013, 5, 1836–1842. [Google Scholar] [CrossRef]
- Rao, V.K.; Ghildiyal, P.; Radhakrishnan, T.P. In Situ Fabricated Cu–Ag Nanoparticle-Embedded Polymer Thin Film as an Efficient Broad Spectrum SERS Substrate. J. Phys. Chem. C 2017, 121, 1339–1348. [Google Scholar] [CrossRef]
- Kaja, S.; Nag, A. Bimetallic Ag–Cu Alloy Microflowers as SERS Substrates with Single-Molecule Detection Limit. Langmuir 2021, 37, 13027–13037. [Google Scholar] [CrossRef] [PubMed]
- Zhang, Q.; Li, W.; Moran, C.; Zeng, J.; Chen, J.; Wen, L.-P.; Xia, Y. Seed-Mediated Synthesis of Ag Nanocubes with Controllable Edge Lengths in the Range of 30−200 nm and Comparison of Their Optical Properties. J. Am. Chem. Soc. 2010, 132, 11372–11378. [Google Scholar] [CrossRef] [PubMed]
- Ye, R.; Zhang, Y.; Chen, Y.; Tang, L.; Wang, Q.; Wang, Q.; Li, B.; Zhou, X.; Liu, J.; Hu, J. Controlling Shape and Plasmon Resonance of Pt-Etched Au@Ag Nanorods. Langmuir 2018, 34, 5719–5727. [Google Scholar] [CrossRef]
- Wang, Q.-Y.; Chen, Y.-Y.; Ye, R.-K.; Liu, Q.; Chen, H.-Y.; Yang, H.; Li, M.-Y.; Hu, J.-Q.; Fang, P.-P. Instantly Detecting Catalysts’ Hot Spots Temperature In Situ during Photocatalysis by Operando Raman Spectroscopy. Anal. Chem. 2021, 93, 15517–15524. [Google Scholar] [CrossRef]
- Song, W.; Ji, W.; Vantasin, S.; Tanabe, I.; Zhao, B.; Ozaki, Y. Fabrication of a highly sensitive surface-enhanced Raman scattering substrate for monitoring the catalytic degradation of organic pollutants. J. Mater. Chem. A 2015, 3, 13556–13562. [Google Scholar] [CrossRef]
- Sun, H.; Cong, S.; Zheng, Z.; Wang, Z.; Chen, Z.; Zhao, Z. Metal–Organic Frameworks as Surface Enhanced Raman Scattering Substrates with High Tailorability. J. Am. Chem. Soc. 2018, 141, 870–878. [Google Scholar] [CrossRef]
- Xu, J.; Cheng, C.; Shang, S.; Gao, W.; Zeng, P.; Jiang, S. Flexible, Reusable SERS Substrate Derived from ZIF-67 by Adjusting LUMO and HOMO and Its Application in Identification of Bacteria. ACS Appl. Mater. Interfaces 2020, 12, 49452–49463. [Google Scholar] [CrossRef]
- Sun, W.; Wei, W.; Liu, Q.; Yan, T.; Wang, Q.; Lin, H.; Tao, C.; Zhang, D.; Hong, R. Ag–Ag2O composite structure with tunable localized surface plasmon resonance as ultrastable, sensitive and cost-effective SERS substrate. J. Alloys Compd. 2020, 839, 155729. [Google Scholar] [CrossRef]
- Shi, Y.; Liu, Q.; Li, X.; Hong, R.; Tao, C.; Wang, Q.; Lin, H.; Han, Z.; Zhang, D. Thermal treatment induced the surface enhanced Raman scattering of WO3-TiO2 heterogeneous composite films. Appl. Surf. Sci. 2022, 613, 155975. [Google Scholar] [CrossRef]
- Song, X.; Wang, Y.; Zhao, F.; Li, Q.; Ta, H.Q.; Rümmeli, M.H.; Tully, C.G.; Li, Z.; Yin, W.-J.; Yang, L.; et al. Plasmon-Free Surface-Enhanced Raman Spectroscopy Using Metallic 2D Materials. ACS Nano 2019, 13, 8312–8319. [Google Scholar] [CrossRef] [PubMed]
- Li, Z.; Jiang, S.; Huo, Y.; Ning, T.; Liu, A.; Zhang, C.; He, Y.; Wang, M.; Li, C.; Man, B. 3D silver nanoparticles with multilayer graphene oxide as a spacer for surface enhanced Raman spectroscopy analysis. Nanoscale 2018, 10, 5897–5905. [Google Scholar] [CrossRef] [PubMed]
- Muehlethaler, C.; Considine, C.R.; Menon, V.; Lin, W.-C.; Lee, Y.-H.; Lombardi, J.R. Ultrahigh Raman Enhancement on Monolayer MoS2. ACS Photonics 2016, 3, 1164–1169. [Google Scholar] [CrossRef]
- Zhang, A.; Zhou, J.; Das, P.; Xiao, Y.; Gong, F.; Li, F.; Wang, L.; Zhang, L.; Wang, L.; Cao, Y.; et al. Revisiting Metal Electrodeposition in Porous Anodic Alumina: Toward Tailored Preparation of Metal Nanotube Arrays. J. Electrochem. Soc. 2018, 165, D129–D134. [Google Scholar] [CrossRef]
- Ding, Q.; Kang, Y.; Li, W.; Sun, G.; Liu, H.; Li, M.; Ye, Z.; Zhou, M.; Zhou, J.; Yang, S. Bioinspired Brochosomes as Broadband and Omnidirectional Surface-Enhanced Raman Scattering Substrates. J. Phys. Chem. Lett. 2019, 10, 6484–6491. [Google Scholar] [CrossRef]
- Dong, S.; Zhang, X.; Li, Q.; Liu, C.; Ye, T.; Liu, J.; Xu, H.; Zhang, X.; Liu, J.; Jiang, C.; et al. Springtail-Inspired Superamphiphobic Ordered Nanohoodoo Arrays with Quasi-Doubly Reentrant Structures. Small 2020, 16, e2000779. [Google Scholar] [CrossRef]
- Chen, Y.F. Nanofabrication by electron beam lithography and its applications: A review. Microelectron. Eng. 2015, 135, 57–72. [Google Scholar] [CrossRef]
- Chirumamilla, M.; Toma, A.; Gopalakrishnan, A.; Das, G.; Zaccaria, R.P.; Krahne, R.; Rondanina, E.; Leoncini, M.; Liberale, C.; De Angelis, F.; et al. 3D Nanostar Dimers with a Sub-10-nm Gap for Single-/Few-Molecule Surface-Enhanced Raman Scattering. Adv. Mater. 2014, 26, 2353–2358. [Google Scholar] [CrossRef]
- Yao, J.; Le, A.; Gray, S.K.; Moore, J.S.; Rogers, J.A.; Nuzzo, R.G. Functional Nanostructured Plasmonic Materials. Adv. Mater. 2010, 22, 1102–1110. [Google Scholar] [CrossRef]
- Hong, R.; Song, X.; Tao, C.; Zhang, D.; Zhang, D. Surface-enhanced Raman scattering of silver thin films on as-roughened substrate by reactive ion etching. Appl. Phys. A 2016, 122, 178. [Google Scholar] [CrossRef]
- Amendola, V.; Scaramuzza, S.; Agnoli, S.; Polizzi, S.; Meneghetti, M. Strong dependence of surface plasmon resonance and surface enhanced Raman scattering on the composition of Au–Fe nanoalloys. Nanoscale 2013, 6, 1423–1433. [Google Scholar] [CrossRef] [PubMed]
- Zhu, C.; Meng, G.; Zheng, P.; Huang, Q.; Li, Z.; Hu, X.; Wang, X.; Huang, Z.; Li, F.; Wu, N. A Hierarchically Ordered Array of Silver-Nanorod Bundles for Surface-Enhanced Raman Scattering Detection of Phenolic Pollutants. Adv. Mater. 2016, 28, 4871–4876. [Google Scholar] [CrossRef] [PubMed]
- Roguska, A.; Kudelski, A.; Pisarek, M.; Opara, M.; Janik-Czachor, M. Raman investigations of SERS activity of Ag nanoclusters on a TiO2-nanotubes/Ti substrate. Vib. Spectrosc. 2011, 55, 38–43. [Google Scholar] [CrossRef]
- Zhou, L.; Zhou, J.; Lai, W.; Yang, X.; Meng, J.; Su, L.; Gu, C.; Jiang, T.; Pun, E.Y.B.; Shao, L. Irreversible accumulated SERS behavior of the molecule-linked silver and silver-doped titanium dioxide hybrid system. Nat. Commun. 2020, 11, 1785. [Google Scholar] [CrossRef]
- Liu, Y.; Wu, H.; Ma, L.; Zou, S.; Ling, Y.; Zhang, Z. Highly stable and active SERS substrates with Ag–Ti alloy nanorods. Nanoscale 2018, 10, 19863–19870. [Google Scholar] [CrossRef]
- Ma, L.; Zhang, Z.; Li, X. Effects of Ti transition layers and thermal annealing on the adhesive property of Ag nanorods-based SERS sensors. Appl. Surf. Sci. 2019, 476, 363–368. [Google Scholar] [CrossRef]
- Wang, Q.; Jing, Y.; Zhang, D.; Wang, R.; Chen, L.; Zhang, J.; Sui, S.; Wang, X. Highly Sensitive SERS Detection of Food Colorants via Charge Transfer of Metal and Semiconductor in Ag/TiO2/Ti Foam. Foods 2025, 14, 3998. [Google Scholar] [CrossRef]
- Yussuf, N.A.M.; Li, J.; Jung, Y.J.; Huang, H. Design of high SERS sensitive substrates based on branched Ti nanorods. Sci. Rep. 2022, 12, 11631. [Google Scholar] [CrossRef]
- Naujok, R.R.; Duevel, R.V.; Corn, R.M. Fluorescence and Fourier Transform surface-enhanced Raman scattering measurements of methylene blue adsorbed onto a sulfur-modified gold electrode. Langmuir 1993, 9, 1771–1774. [Google Scholar] [CrossRef]
- Kundu, S.; Dai, W.; Chen, Y.; Ma, L.; Yue, Y.; Sinyukov, A.M.; Liang, H. Shape-selective catalysis and surface enhanced Raman scattering studies using Ag nanocubes, nanospheres and aggregated anisotropic nanostructures. J. Colloid Interface Sci. 2017, 498, 248–262. [Google Scholar] [CrossRef]
- Sim, L.C.; Leong, K.H.; Ibrahim, S.; Saravanan, P. Graphene oxide and Ag engulfed TiO2 nanotube arrays for enhanced electron mobility and visible-light-driven photocatalytic performance. J. Mater. Chem. A 2014, 2, 5315–5322. [Google Scholar] [CrossRef]









| Material System | Probe Molecule | Detection Concentration | Enhancement Factor | Stability/Reproducibility | Ref. |
|---|---|---|---|---|---|
| Ag/TiO2 nanotubes/Ti | Pyridine | 0.05 M | Higher than Ag reference (Ag ≥ 0.06 mg/cm2) | Air-stable; RSD ≤ 20% | [33] |
| 4MBA/Ag/Ag-doped TiO2 | 4-Mercaptobenzoic acid (4MBA) | Not specified | 1.68 × 106 | Irreversible accumulation; saturated after 80 s NIR | [34] |
| Ag-2%Ti alloy nanorods | Methylene blue (MB) | 5 × 10−9 M–1 × 10−5 M | ~40% of pure Ag NRs | Stable in air (≥35 days) and 10 mM HNO3 (1 h); RSD = 4.86% | [35] |
| Ti−AgNRs@Al2O3 | Methylene blue (MB) | 1 × 10−6 M | Comparable to pure AgNRs | Critical load = 5.40 mN; stable after 15 min ultrasonic vibration | [36] |
| Ag/TiO2/Ti foam | Rhodamine 6G (R6G) | 2.24 × 10−11 M–1 × 10−6 M | 1.9 × 107 | Air-stable (3 months); RSD = 8.4% | [37] |
| Ti/TiN/Ag | Methylene blue (MB) | 1.5 × 10−6 M | 37× higher than as-deposited Ti | Oxidation-resistant; | [38] |
Disclaimer/Publisher’s Note: The statements, opinions and data contained in all publications are solely those of the individual author(s) and contributor(s) and not of MDPI and/or the editor(s). MDPI and/or the editor(s) disclaim responsibility for any injury to people or property resulting from any ideas, methods, instructions or products referred to in the content. |
© 2026 by the authors. Licensee MDPI, Basel, Switzerland. This article is an open access article distributed under the terms and conditions of the Creative Commons Attribution (CC BY) license.
Share and Cite
Wu, L.; Yan, T.; Hong, R.; Tao, C.; Wang, Q.; Lin, H.; Han, Z. Aluminum-Induced Surface-Enhanced Raman Scattering in Ti-Al-Ti Sandwich Multilayer Thin Films. Nanomaterials 2026, 16, 216. https://doi.org/10.3390/nano16030216
Wu L, Yan T, Hong R, Tao C, Wang Q, Lin H, Han Z. Aluminum-Induced Surface-Enhanced Raman Scattering in Ti-Al-Ti Sandwich Multilayer Thin Films. Nanomaterials. 2026; 16(3):216. https://doi.org/10.3390/nano16030216
Chicago/Turabian StyleWu, Luping, Tingzhen Yan, Ruijin Hong, Chunxian Tao, Qi Wang, Hui Lin, and Zhaoxia Han. 2026. "Aluminum-Induced Surface-Enhanced Raman Scattering in Ti-Al-Ti Sandwich Multilayer Thin Films" Nanomaterials 16, no. 3: 216. https://doi.org/10.3390/nano16030216
APA StyleWu, L., Yan, T., Hong, R., Tao, C., Wang, Q., Lin, H., & Han, Z. (2026). Aluminum-Induced Surface-Enhanced Raman Scattering in Ti-Al-Ti Sandwich Multilayer Thin Films. Nanomaterials, 16(3), 216. https://doi.org/10.3390/nano16030216

