Review of Current Achievements in Dendrimers and Nanomaterials for Potential Detection and Remediation of Chemical, Biological, Radiological and Nuclear Contamination—Integration with Artificial Intelligence and Remote Sensing Technologies
Abstract
1. Introduction
- (a)
- CBRN binding materials that can facilitate their detection or physical removal from surfaces or environment;
- (b)
- Nanocarriers for neutralizing agents that are released upon contact with the contaminant, providing rapid protection.
2. Methods and Techniques Used for Material Detection and Remediation
- ➢
- Gold nanoparticles (Au NPs) in multiple shapes are leading candidates in cancer detection and therapy due to their low cytotoxicity and tuneable optical properties.
- ➢
- Silver nanoparticles (Ag NPs) are notable for their antibacterial and conductive applications.
- ➢
- Selenium nanoparticles (Se NPs) have emerged as effective nanocarriers for drug and gene delivery with antioxidant and anticancer potential.
- ➢
- Metal oxide NPs (e.g., Fe3O4, ZnO, TiO2) are critical for imaging, catalysis, and therapeutic functions.
- ➢
- Fullerenes and derivatives represent carbon-based nanomaterials with unique biomedical applications in PDT, antioxidation, and antiviral therapy.
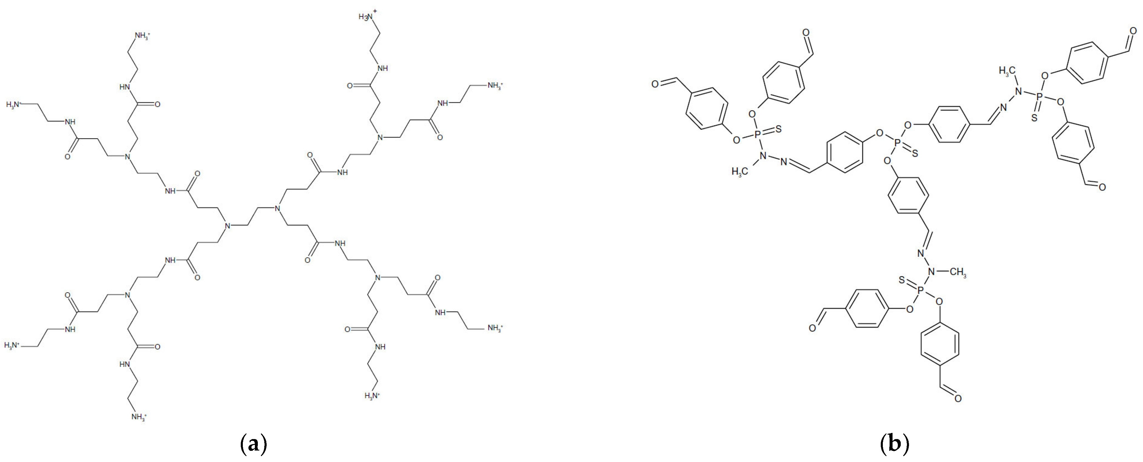
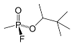
3. Application of Dendrimers
3.1. Beneficial Applications of Dendrimers in CBRN
3.2. Other Application of Dendrimers
3.3. The Role of Dendrimers as Novel Nanocarrier in Cancer Therapy, Including Passive Targeting and Receptor-Targeted Drug Delivery for a Deeper Understanding of CBRN Contamination
- (a)
- (b)
4. Methods Used to Characterize Dendrimers
| Analytical Techniques | Applications | Ref. |
|---|---|---|
| UV-Vis Spectroscopy | proof of synthesis—characteristic curves exhibit the specific maximum absorption peaks | [55] |
| conjugation (surface modification)—due to characteristic absorption maximum or bathochromic shift | [56] | |
| reaction rate | [57] | |
| IR Spectroscopy | proof of synthesis—characteristic peaks corresponding to functional groups | [58] |
| conjugation (surface modification)—due to shifts in characteristic peaks corresponding to functional groups | [59] | |
| proof of synthesis progress by appearance–disappearance–reappearance of characteristics peaks | [60] | |
| NMR Spectroscopy | synthesis of dendrimers—characteristic peaks in the spectra | [61] |
| conjugation chemistry—shielding/deshielding effects shifts in peaks | [62] | |
| hydrodynamic radii–NMR pulse–field gradient spin–echo | [62] | |
| number of protons—intensity of peaks and integral value | [63] | |
| conformational changes | [63] | |
| mobility of group | [64] | |
| Mass Spectrometry | determining the molecular weight | [65] |
| detailed studies of structural defects in dendrimers | [66] | |
| determination of the polydispersity and purity of dendrimers | [67] | |
| Raman Spectroscopy | structure | [68] |
| liberation of terminal groups in dendrimers | [69] | |
| interaction between dendrimer with lipid membranes | [70] | |
| Fluorescence Spectroscopy | interaction between the drug and dendrimers | [71] |
| the size and shape of the molecules | [72] | |
| peripherally modification | [72] | |
| Atomic Force Spectroscopy | characterize the structure | [73] |
| interaction of the different dendrimer therapeutics with a lipid bilayer, behavior of the dendrimer agents | [73] | |
| X-ray Photoelectron Spectroscopy | elemental composition | [74] |
| empirical formula | [75] | |
| chemical state | [76] | |
| thickness of one or more thin layered dendrimers | [77] | |
| X-ray Absorption Spectroscopy | structural information | [78] |
| local geometric and electronic structures | [78] | |
| EPR Spectroscopy | determining the numbers | [79] |
| distributions of numbers | [80] | |
| spatial distribution of molecule | [81] | |
| Dielectric Spectroscopy | determining of dielectric processes | [1] |
| determining of dielectric constant and loss | [1] | |
| determining of specific conductivity | [1] | |
| IR-thermal technique | terminal imaging | [1] |
| current–temperature relationship | [1] | |
| heat distribution and structure defect information | [1] |
5. Toxicological Assessment
6. Recycling of Nanomaterials
- Cloud Point Extraction (CPE), a liquid–liquid extraction process in which a surfactant is added to produce micelles that, at a certain temperature, separate the target nanoparticles from the aqueous solution, allowing them to be easily recovered. Nazar et al. [95] used CPE using Triton X-114/Triton X-100 nonionic surfactants to recycle Ag and Pd nanoparticles.
- Crystal growth.
- A chemical-based recovery technique. Zhuang et al. [96] recovered Sn nanoparticles by adding NaOH as a mineralizer to form an amorphous Sn compound that could be recycled by dissolving the formed solid in an acid.
7. Discussion
7.1. Advanced Sensing
- Multiplexing and selectivity: Future systems will use dendrimers as scaffolds to simultaneously immobilize multiple receptors (e.g., aptamers, antibodies, chemical ligands) or fluorescent/electrochemical sensors. This will enable multiple threats (e.g., neurotoxin and pathogen) to be detected simultaneously in real time from a single environmental or clinical sample. The functionalization of dendrimer end groups will provide remarkable selectivity by minimizing matrix interference.
- Ultra-high sensitivity: Hybrids of dendrimer nanoparticles and metal (e.g., Au, Ag) or carbon nanomaterials amplify the detection signals (e.g., through the SERS effect —Surface-Enhanced Raman Scattering, fluorescence enhancement). This will enable the detection of single molecules of chemical toxins (e.g., VX, sarin) or single cells of pathogens (e.g., anthrax, plague) at the attomolar level.
- Intelligent platforms: Nanosensors will be developed that respond to a specific target by clearly changing the signal (e.g., color, fluorescence, electrical conductivity). Dendrimers equipped with photochromic or chelating groups will act as “logic gates”, activating only in the presence of a specific combination of threats.
- Radiological/nuclear detection: Dendrimers functionalized with strong chelators (e.g., DOTA, catechol derivatives) capture radioactive metal ions (U, Pu, Cs, Sr, Am). In combination with scintillation nanoparticles or semiconductor detectors, they will create portable, highly sensitive systems for mapping radioisotope contamination.
7.2. Effective Decontamination (Remediation)
- Catalytic decomposition: Dendrimers will serve as ideal carriers for catalytic nanoparticles (e.g., Pd, Pt, TiO2) or enzymes (e.g., oxidases, hydrolases). This architecture will provide high catalyst dispersion, substrate availability and stability, allowing for rapid and complete decomposition of chemical warfare agents (e.g., G and V series, mustard gas) or toxic pesticides at the contamination site.
- Adsorption and separation: Dendrimer–MOFs or dendrimer–graphene hybrids will have a large specific surface area and numerous active sites (dendrimer functional groups). This will enable ultra-tight adsorption of a wide range of hazards: toxic chemicals (including heavy metals), pathogens (via electrostatic/van der Waals interactions) and even radioisotopes (via chelation). These materials will be regenerated in situ (e.g., by pH changes, rinsing with saline solutions or irradiation with light).
- Biological neutralization: Dendrimers with a controlled charge (cationic) and size directly inactivate viruses and bacteria, destabilizing their membranes. Functionalization with antimicrobial groups (e.g., chitosan derivatives, AMP peptides) will create a strong synergistic effect against resistant biological pathogens.
- Surface decontamination: Dendrimer-based gel and foam reagents capable of adhering to complex surfaces (concrete, metal, and fabric) will be developed. They will simultaneously absorb, catalyze degradation and biologically inactivate a wide range of CBRN agents, facilitating the decontamination of areas and infrastructure.
- ➢
- Multifunctional nanocomposites: The development of nanocomposites that combine the advantages of dendrimers and quantum dots could lead to sensors capable of detecting a wide range of pollutants, including radioactive substances.
- ➢
- Sustainable synthesis methods: Adopting green nanotechnology approaches for synthesizing these materials can reduce the negative environmental impact and enhance the sustainability of pollution sensing technologies.
- ➢
- Integration with remote sensing platforms: Incorporating these advanced sensors into unmanned aerial and ground vehicles can facilitate real-time, large-scale environmental monitoring, improving response times to pollution events.
8. Conclusions
- The integration of detection and remediation systems: The need to develop integrated platforms for the comprehensive management of CBRN threats.
- Mobility and autonomy: The development of unmanned detection and remediation systems capable of operating in challenging terrain.
- Artificial intelligence and data analysis: The use artificial intelligence to analyze detector data for faster and more precise threat identification.
- Personnel training: The need for the ongoing training of emergency services and the military in the use of modern CBRN technologies.
- ➢
- AI-enabled material design and optimization:
- (a)
- Predictive modeling: AI and machine learning can help design dendrimer architectures with tailored branching, surface groups, or hybrid compositions (e.g., dendrimer–metal oxides, DENs) for optimal binding of CBRN agents.
- (b)
- Data-driven synthesis: Training AI on spectral, structural, and toxicological datasets enables the rapid screening of candidate dendrimers prior to synthesis, reducing experimental trial and error.
- (c)
- Adaptive nanomaterials: AI-driven optimization could guide the dynamic functionalization of dendrimers for multiplexed detection (e.g., detecting chemical simulants in complex backgrounds).
- ➢
- Remote sensing integration for field deployments:
- (a)
- Nano-sensor networks: Dendrimers and DENs functionalized with optical or electrochemical reporters can be embedded into sensor arrays connected to remote platforms (e.g., UAVs, environmental monitoring stations).
- (b)
- Real-time detection: Coupling dendrimer-based recognition with AI-enhanced image/signal analysis (e.g., SERS spectral interpretation, fluorescence lifetime data) allows the rapid, on-site identification of chemical or biological agents.
- (c)
- Scalable monitoring: Remote sensing technologies could integrate dendrimer-based nanodevices into distributed networks, extending their utility from lab-scale proof-of-concepts to large-area CBRN surveillance.
- ➢
- Translational insight.
Author Contributions
Funding
Data Availability Statement
Conflicts of Interest
References
- Lalik, S.; Gonciarz, A.; Pich, R.; Bogdanowicz, K.A.; Pellowski, W.; Miedziak, J.; Szczepaniak, M.; Marzec, M.; Iwan, A. Thiophosphoryl-PMMH dendrimers for potential detection and remediation of CBRN contamination: Selected studies and general guidelines and procedures. Materials 2025, 18, 3805. [Google Scholar] [CrossRef]
- Gonciarz, A.; Pich, R.; Bogdanowicz, K.A.; Drabczyk, K.; Sypien, A.; Major, Ł.; Iwan, A. TiO2 and TiO2–Ag powders and thin layer toward self-cleaning coatings for PV panel integrated with sound-absorbing screens: Technical approaches. J. Power Sources Adv. 2021, 8, 100053. [Google Scholar] [CrossRef]
- Różycka, A.; Iwan, A.; Bogdanowicz, K.A.; Filapek, M.; Górska, N.; Pociecha, D.; Malinowski, M.; Fryń, P.; Hreniak, A.; Rysz, J.; et al. Synthesis and characterization of two new TiO2-containing benzothiazole-based imine composites for organic device applications. Beilstein J. Nanotechnol. 2018, 9, 721–739. [Google Scholar] [CrossRef] [PubMed]
- Iwan, A.; Caballero-Briones, F.; Filapek, M.; Boharewicz, B.; Tazbir, I.; Hreniak, A.; Guerrero-Contreras, J. Electrochemical and photocurrent characterization of polymer solar cells with improved performance after GO addition to the PEDOT:PSS hole transporting layer. Sol. Energy 2017, 146, 230–242. [Google Scholar] [CrossRef]
- Iwan, A.; Caballero-Briones, F.; Malinowski, M.; Filapek, M.; Tazbir, I.; Guerrero-Contreras, J.; Kamaraj, S.-K. Graphene oxide influence on selected properties of polymer fuel cells based on Nafion. Int. J. Hydrog. Energy 2017, 42, 15359–15369. [Google Scholar] [CrossRef]
- Fryń, P.; Lalik, S.; Bogdanowicz, K.A.; Górska, N.; Iwan, A.; Marzec, M. Degradation of hybrid material L,D-PLA :+ 5CB : SWCN under the influence of neutral, acidic, and alkaline environments. RSC Adv. 2023, 13, 3792–3806. [Google Scholar] [CrossRef] [PubMed]
- Bogdanowicz, K.A.; Lalik, S.; Ratajczyk, P.; Katrusiak, A.; Krysiak, P.; Pawłowska, A.I.; Marzec, M.; Iwan, A. A new look at imines and their mixture with PC71BM for organic, flexible photovoltaics. Sci. Rep. 2023, 13, 13240. [Google Scholar] [CrossRef]
- Jang, Y.J.; Kim, K.; Tsay, O.G.; Atwood, D.A.; Churchill, D.G. Update 1 of: Destruction and detection of chemical warfare agents. Chem. Rev. 2015, 115, PR1–PR76. [Google Scholar] [CrossRef]
- Ringenbach, C.R.; Livingston, S.R.; Kumar, D.; Landry, C.C. Vanadium-Doped Acid-Prepared Mesoporous Silica: Synthesis, Characterization, and Catalytic Studies on the Oxidation of a Mustard Gas Analogue. Chem. Mater. 2005, 17, 5580. [Google Scholar] [CrossRef]
- Štengl, V.; Štastný, M.; Janoš, P.; Mazanec, K.; Perez-Diaz, J.L.; Štenglová-Netíková, I.R. From the decomposition of chemical warfare agents to the decontamination of cytostatics. Ind. Eng. Chem. Res. 2018, 57, 2114–2122. [Google Scholar] [CrossRef]
- Wagner, G.W.; Peterson, G.W.; Mahle, J.J. Effect of adsorbed water and surface hydroxyls on the hydrolysis of VX, GD, and HD on titania materials: The development of self-decontaminating paints. Ind. Eng. Chem. Res. 2012, 51, 3598–3603. [Google Scholar] [CrossRef]
- Janoš, P.; Henych, J.; Pelant, O.; Pilařová, V.; Vrtoch, L.; Kormunda, M.; Mazanec, K.; Štengl, V. Cerium oxide for the destruction of chemical warfare agents: A comparison of synthetic routes. J. Hazard. Mater. 2016, 304, 259–268. [Google Scholar] [CrossRef] [PubMed]
- Salerno, A.; Pitault, I.; Devers, T.; Pelletier, J.; Briançon, S. Model-based optimization of parameters for degradation reaction of an organophosphorus pesticide, paraoxon, using CeO2 nanoparticles in water media. Environ. Toxicol. Pharmacol. 2017, 53, 18–28. [Google Scholar] [CrossRef]
- Trenque, I.; Magnano, G.C.; Bolzinger, M.A.; Roiban, L.; Chaput, F.; Pitault, I.; Briançon, S.; Devers, T.; Masenelli-Varlot, K.; Bugnet, M.; et al. Shape-selective synthesis of nanoceria for degradation of paraoxon as a chemical warfare simulant. Chem. Chem. Phys. Phys. 2019, 21, 5455–5465. [Google Scholar] [CrossRef]
- Sultana, T.; Mahato, M.; Tohora, N.; Ahamed, S.; Maiti, A.; Das, S.K. A Phenanthroimidazole-Based Luminophore for Selective and Specific Identification of Sarin Simulant, Diethylchlorophosphate. J. Fluoresc. 2025, 35, 1625–1636. [Google Scholar] [CrossRef] [PubMed]
- Du, X.; Gong, Y.; Ren, Y.; Fu, L.; Duan, R.; Zhang, Y.; Zhang, Y.; Zhao, J.; Che, Y. Development of Binary Coassemblies for Sensitively and Selectively Detecting Gaseous Sarin. Anal. Chem. 2022, 94, 16418–16426. [Google Scholar] [CrossRef]
- Yasmin, M.K.; Al-Rekabi, S.H.; Yaacob, M.H.; Syahir, A.; Chee, H.Y.; Mahdi, M.A.; Abu Bakar, M.H. Detection of dengue using PAMAM dendrimer integrated tapered optical fiber sensor. Sci. Rep. 2019, 9, 13483. [Google Scholar] [CrossRef]
- Liu, L.; Li, S.; Luo, W.; Yao, J.; Liu, T.; Qin, M.; Huang, Z.; Ding, L.; Fang, Y. Compact device prototype for turn-on fluorescence detection of sarin based on reactive 4,4-diaryloxy-BODIPY derivatives. Sens. Diagn. 2024, 3, 1651–1658. [Google Scholar] [CrossRef]
- Verma, N.K.; Singh, A.K.; Mall, P.C.; Yadav, V.; Jaiswal, R. Dendrimers and its application: A review. EJBPS 2020, 7, 189–194. [Google Scholar]
- Gajjar, D.G.; Patel, P.M. Dendrimers: Synthesis, types and applications: A review. ChemXpress 2013, 2, 135–146. [Google Scholar]
- Crintea, A.; Motofelea, A.C.; Șovrea, A.S.; Constantin, A.-M.; Crivii, C.-B.; Carpa, R.; Duțu, A.G. Dendrimers: Advancements and Potential Applications in Cancer Diagnosis and Treatment—An Overview. Pharmaceutics 2023, 15, 1406. [Google Scholar] [CrossRef]
- Fernandes, T.; Daniel-da-Silva, A.L.; Trindade, T. Metal-dendrimer hybrid nanomaterials for sensing applications. Coord. Chem. Rev. 2022, 460, 214483. [Google Scholar] [CrossRef]
- Cojocaru, F.D.; Botezat, D.; Gardikiotis, I.; Uritu, C.M.; Dodi, G.; Trandafir, L.; Rezus, C.; Rezus, E.; Tamba, B.I.; Mihai, C.T. Nanomaterials designed for antiviral drug delivery transport across biological barriers. Pharmaceutics 2020, 12, 171. [Google Scholar] [CrossRef]
- Srividya, N.; Ghoora, M.D.; Padmanabh, P.R. Antimicrobial nanotechnology: Research implications and prospects in food safety. In Food Preservation; Elsevier: Cambridge, MA, USA, 2017; pp. 125–165. [Google Scholar] [CrossRef]
- Sabbagh, F.; Khatir, N.M.; Kiarostami, K. Synthesis and Characterization of k-Carrageenan/PVA Nanocomposite Hydrogels in Combination with MgZnO Nanoparticles to Evaluate the Catechin Release. Polymers 2023, 15, 272. [Google Scholar] [CrossRef]
- Vega-Vásquez, P.; Mosier, N.S.; Irudayaraj, J. Nanoscale Drug Delivery Systems: From Medicine to Agriculture. Front. Bioeng. Biotechnol. 2020, 8, 2296–4185. [Google Scholar] [CrossRef]
- Gillies, E.R.; Fréchet, J.M. Dendrimers and dendritic polymers in drug delivery. Drug Discov. Today 2005, 10, 35–43. [Google Scholar] [CrossRef]
- Gupta, U.; Dwivedi, S.K.; Bid, H.K.; Konwar, R.; Jain, N.K. Ligand anchored dendrimers based nanoconstructs for effective targeting to cancer cells. Int. J. Pharm. 2010, 393, 185–196. [Google Scholar] [CrossRef]
- Srinivasan, M.; Rajabi, M.; Mousa, S.A. Multifunctional nanomaterials and their applications in drug delivery and cancer therapy. Nanomaterials 2015, 5, 1690–1703. [Google Scholar] [CrossRef]
- Crampton, H.L.; Simanek, E.E. Dendrimers as drug delivery vehicles: Non-covalent interactions of bioactive compounds with dendrimers. Polym. Int. 2007, 56, 489–496. [Google Scholar] [CrossRef] [PubMed]
- Singh, J.; Jain, K.; Mehra, N.K.; Jain, N.K. Dendrimers in anticancer drug delivery: Mechanism of interaction of drug and dendrimers. Artif. Cells Nanomed. Biotechnol. 2016, 44, 1626–1634. [Google Scholar] [CrossRef] [PubMed]
- Caminade, A.M.; Turrin, C.O. Dendrimers for drug delivery. J. Mater. Chem. B 2014, 2, 4055–4066. [Google Scholar] [CrossRef]
- D’Emanuele, A.; Attwood, D. Dendrimer-drug interactions. Adv. Drug Deliv. Rev. 2005, 57, 2147–2162. [Google Scholar] [CrossRef]
- Sanyakamdhorn, S.; Agudelo, D.; Bekale, L.; Tajmir-Riahi, H.A. Targeted conjugation of breast anticancer drug tamoxifen and its metabolites with synthetic polymers. Colloids Surf. B Biointerfaces 2016, 145, 55–63. [Google Scholar] [CrossRef]
- Liu, Y.; Ng, Y.; Toh, M.R.; Chiu, G.N.C. Lipid-dendrimer hybrid nanosystem as a novel delivery system for paclitaxel to treat ovarian cancer. J. Control Release 2015, 220, 438–446. [Google Scholar] [CrossRef] [PubMed]
- Van Dongen, M.A.; Rattan, R.; Silpe, J.; Dougherty, C.; Michmerhuizen, N.L.; Van Winkle, M.; Huang, B.; Choi, S.K.; Sinniah, K.; Orr, B.G.; et al. Poly(amidoamine) dendrimer-methotrexate conjugates: The mechanism of interaction with folate binding protein. Mol. Pharm. 2014, 11, 4049–4058. [Google Scholar] [CrossRef]
- Zolotarskaya, O.Y.; Xu, L.; Valerie, K.; Yang, H. Click synthesis of a polyamidoamine dendrimer-based camptothecin prodrug. RSC Adv. 2015, 5, 58600–58608. [Google Scholar] [CrossRef] [PubMed]
- Shetty, A.; Chikhaliwala, P.; Suryawanshi, J.; Chandra, S. Understanding Physicochemical Interactions of Dendrimers with Guest Molecules for Efficient Drug and Gene Delivery. Curr. Pathobiol. Rep. 2021, 9, 57–70. [Google Scholar] [CrossRef]
- Zhong, Q.; Da Rocha, S.R.P. Poly(amidoamine) dendrimer-doxorubicin conjugates: In vitro characteristics and pseudosolution formulation in pressurized metered-dose inhalers. Mol. Pharm. 2016, 13, 1058–1072. [Google Scholar] [CrossRef] [PubMed]
- Zhang, L.; Zhu, S.; Qian, L.; Pei, Y.; Qiu, Y.; Jiang, Y. RGD-modified PEG-PAMAM-DOX conjugates: In vitro and in vivo studies for glioma. Eur. J. Pharm. Biopharm. 2011, 79, 232–240. [Google Scholar] [CrossRef]
- Satsangi, A.; Roy, S.S.; Satsangi, R.K.; Vadlamudi, R.K.; Ong, J.L. Design of a paclitaxel prodrug conjugate for active targeting of an enzyme upregulated in breast cancer cells. Mol. Pharm. 2014, 11, 1906–1918. [Google Scholar] [CrossRef]
- Dichwalkar, T.; Patel, S.; Bapat, S.; Pancholi, P.; Jasani, N.; Desai, B.; Yellepeddi, V.K.; Sehdev, V. Omega-3 fatty acid grafted PAMAM-paclitaxel conjugate exhibits enhanced anticancer activity in upper gastrointestinal cancer cells. Macromol. Biosci. 2017, 17, 1600457. [Google Scholar] [CrossRef]
- Kesavan, A.; Ilaiyaraja, P.; Sofi Beaula, W.; Kumari, V.V.; Lal, J.S.; Arunkumar, C.; Anjana, G.; Srinivas, S.; Ramesh, A.; Rayala, S.K.; et al. Tumor targeting using polyamidoamine dendrimer-cisplatin nanoparticles functionalized with diglycolamic acid and herceptin. Eur. J. Pharm. Biopharm. 2015, 96, 255–263. [Google Scholar] [CrossRef]
- Kannan, R.M.; Nance, E.; Kannan, S.; Tomalia, D.A. Emerging concepts in dendrimer-based nanomedicine: From design principles to clinical applications. J. Intern. Med. 2014, 276, 579–617. [Google Scholar] [CrossRef]
- Kesharwani, P.; Tekade, R.K.; Jain, N.K. Generation dependent safety and efficacy of folic acid conjugated dendrimer based anticancer drug formulations. Pharm. Res. 2015, 32, 1438–1450. [Google Scholar] [CrossRef]
- Gorzkiewicz, M.; Klajnert-Maculewicz, B. Dendrimers as Nanocarriers for Anticancer Drugs; Apple Academic Press: Palm Bay, FL, USA, 2019; pp. 327–362. [Google Scholar]
- Tekade, R.K.; Dutta, T.; Tyagi, A.; Bharti, A.C.; Das, B.C.; Jain, N.K. Surface-engineered dendrimers for dual drug delivery: A receptor up-regulation and enhanced cancer targeting strategy. J. Drug Target 2008, 16, 758–772. [Google Scholar] [CrossRef] [PubMed]
- Potluri, S.; Ramulu, A.R.; Pardhasaradhi, M. Synthesis of new unsymmetrical optically active (s)-(+)-naproxen. Tetrahedron 2004, 60, 10915–10920. [Google Scholar] [CrossRef]
- Gupta, U.; Agashe, H.B.; Jain, N.K. Polypropylene imine dendrimer mediated solubility enhancement: Effect of pH and functional groups of hydrophobes. J. Pharm. Pharm. Sci. 2007, 10, 358–367. [Google Scholar]
- Milhem, O.M.; Myles, C.; McKeown, N.B.; Attwood, D.; D’Emanuele, A. Polyamidoamine Starburst® dendrimers as solubility enhancers. Int. J. Pharm. 2000, 197, 239–241. [Google Scholar] [CrossRef] [PubMed]
- Kolhe, P.; Misra, E.; Kannan, R.M.; Kannan, S.; Lieh-Lai, M. Drug complexation, in vitro release and cellular entry of dendrimers and hyperbranched polymers. Int. J. Pharm. 2003, 259, 143–160. [Google Scholar] [CrossRef]
- Koç, F.E.; Şenel, M. Solubility enhancement of Non-Steroidal Anti-Inflammatory Drugs (NSAIDs) using polypolypropylene oxide core PAMAM dendrimers. Int. J. Pharm. 2013, 451, 18–22. [Google Scholar] [CrossRef]
- Cheng, Y.; Qu, H.; Ma, M.; Xu, Z.; Xu, P.; Fang, Y.; Xu, T. Polyamidoamine (PAMAM) dendrimers as biocompatible carriers of quinolone antimicrobials: An in vitro study. Eur. J. Med. Chem. 2007, 42, 1032–1038. [Google Scholar] [CrossRef]
- Forutan, M.; Hasani, M.; Hasani, S.; Salehi, N.; Sabbagh, F. Liposome System for Encapsulation of Spirulina platensis Protein Hydrolysates: Controlled-Release in Simulated Gastrointestinal Conditions, Structural and Functional Properties. Materials 2022, 15, 8581. [Google Scholar] [CrossRef]
- Xiangyang, S.; Istvan, J.M.; Patri, A.K.; Xiangdong, B.; Mohammad, T.I.; Desai, A.; Rose, T.G.; James, R.B. Molecular heterogeneity analysis of poly(amidoamine) dendrimer-based mono- and multifunctional nanodevices by capillary electrophoresis. Analyst 2006, 131, 374–381. [Google Scholar] [CrossRef]
- Hedden, R.C.; Bauer, B.J.; Smith, A.P.; Gröhn, F.; Amis, E. Templating of inorganic nanoparticles by PAMAM/PEG dendrimer–star polymers. Polymer 2002, 43, 5473–5481. [Google Scholar] [CrossRef]
- Guoping, L.; Yunjun, L.; Huimin, T. PVP and G1.5 PAMAM dendrimer co-mediated synthesis of silver nanoparticles. J. Solid State Chem. 2005, 178, 1038–1043. [Google Scholar] [CrossRef]
- Popescu, M.C.; Filip, D.; Vasile, C.; Cruz, C.; Rueff, J.M.; Marcos, M.; Serrano, J.L.; Singurel, G. Characterization by fourier transform infrared spectroscopy (FT-IR) and 2D IR correlation spectroscopy of PAMAM dendrimer. J. Phys. Chem. B 2006, 110, 14198–14211. [Google Scholar] [CrossRef] [PubMed]
- Kolev, T.M.; Velcheva, E.A.; Stamboliyska, B.A.; Spiteller, M. DFT and experimental studies of the structure and vibrational spectra of curcumin. Int. J. Quant. Chem. 2005, 102, 1069–1079. [Google Scholar] [CrossRef]
- Franckevicius, M.; Gustainyt, A.; Kondrotas, R.; Juskenas, R.; Marcos, M.; Serrano, J.L.; Vaisnoras, R.; Gulbinas, V. PPI–SA and PAMAM–SA dendrimers assisted synthesis of silver nanoparticles: Structure, optical properties and stability. J. Nanopart. Res. 2014, 16, 2343. [Google Scholar] [CrossRef]
- Broeren, M.A.; de Waal, B.F.; van Genderen, M.H.; Sanders, H.M.; Fytas, G.; Meijer, E.W. Multicomponent host-guest chemistry of carboxylic acid and phosphonic acid based guests with dendritic hosts: An NMR study. J. Am. Chem. Soc. 2005, 127, 10334–10343. [Google Scholar] [CrossRef]
- Victoria, M.; Guerra, J.; Aldrik, H.; Richard, M. NMR Characterization of Fourth-Generation PAMAM dendrimers in the presence and absence of palladium dendrimer-encapsulated nanoparticles. J. Am. Chem. Soc. 2009, 131, 341–350. [Google Scholar] [CrossRef]
- Moreno, K.X.; Simanek, E.E. Conformational Analysis of Triazine Dendrimers: Using NMR Spectroscopy To Probe the Choreography of a Dendrimer’s Dance. Macromolecules 2008, 41, 4108–4114. [Google Scholar] [CrossRef]
- Caminade, A.; Laurent, R.; Turrin, C.; Rebout, C.; Nicot, B.; Ouali, A.; Zablocka, M.; Majoral, J. Phosphorus dendrimers as viewed by 31P NMR spectroscopy; synthesis and characterization. Comp. Ren. Chim. 2010, 13, 1006–1027. [Google Scholar] [CrossRef]
- Felder, T.; Schalley, C.A.; Fakhrnabavi, H.; Lukin, O. A combined ESI-and MALDI-MS(/MS) study of peripherally persulfonylated dendrimers: False negative results by MALDI-MS and analysis of defects. Chem. Eur. J. 2005, 11, 5625–5636. [Google Scholar] [CrossRef] [PubMed]
- Broeren, M.A.C.; van Dongen, J.L.J.; Pittelkow, M.; Christensen, J.B.; van Genderen, M.H.P.; Meijer, E.W. Multivalency in the gas phase: The study of dendritic aggregates by mass spectrometry. Angew. Chem.-Int. Ed. 2004, 43, 3557–3562. [Google Scholar] [CrossRef]
- Bosman, A.W.; Janssen, H.M.; Meijer, E.W. About dendrimer: Structure, physical properties and applications. Chem. Rev. 1999, 99, 1665–1688. [Google Scholar] [CrossRef]
- Davis, A.P.; Ma, G.; Allen, H.C. Surface vibrational sum frequency and raman studies of PAMAM G0, G1 and acylated PAMAM G0 dendrimers. Anal. Chim. Acta 2003, 496, 117–131. [Google Scholar] [CrossRef]
- Furer, V.L.; Vandyukov, A.E.; Majoral, J.P.; Caminade, A.M.; Kovalenko, V.I. Fourier-transform infrared and raman difference spectroscopy studies of the phosphorus-containing dendrimers. Acta Mol. Biomol. Spect. 2004, 60, 1649–1657. [Google Scholar] [CrossRef] [PubMed]
- Sahoo, S.; Chakraborti, C.K.; Behera, P.K.; Mishra, S.C. FTIR and Raman spectroscopic investigations of a controlled release polymeric suspension. Int. J. Pharm. Pharm. Sci. 2011, 3, 335–342. [Google Scholar]
- Thakur, R.; Gupta, V. A Review on Evaluation of Dendrimers. Int. J. Pharm. Res. Appl. 2021, 6, 741–749. [Google Scholar]
- Yuan, W.; Jinying, Y.; Mi, Z.; Caiyuan, P. Synthesis, characterization, and fluorescence of pyrene-containing eight-arm star-shaped dendrimer-like copolymer with pentaerythritol core. J. Poly. Sci. 2008, 46, 2788–2798. [Google Scholar] [CrossRef]
- Pan, B.; Cui, D.; Xu, P.; Ozkan, C.; Feng, G.; Ozkan, M.; Huang, T.; Chu, B.; Li, Q.; He, R.; et al. Synthesis and characterization of polyamidoamine dendrimer-coated multi-walled carbon nanotubes and their application in gene delivery systems. Nanotechnology 2009, 20, 125101. [Google Scholar] [CrossRef]
- Demathieu, C.; Chehimi, M.M.; Lipskier, J.-F.; Caminade, A.-M.; Majoral, J.-P. Characterization of Dendrimers by X-Ray Photoelectron Spectroscopy. Appl. Spectrosc. 1999, 53, 1277–1281. [Google Scholar] [CrossRef]
- Erick, J.; Sergio, O.A.; Eric, E.G. Synthesis, characterization, and application of melamine-based dendrimers supported on silica gel. J. Polym. Sci. Part A Polym. Chem. 2005, 43, 168–177. [Google Scholar] [CrossRef]
- Gates, A.T.; Nettleton, E.G.; Myers, V.S.; Crooks, R.M. Synthesis and characterization of NiSn dendrimer-encapsulated nanoparticles. Langmuir 2010, 26, 12994–12999. [Google Scholar] [CrossRef]
- Pande, S.; Weir, G.M.; Zaccheo, A.B.; Crooks, R.M. Synthesis, characterization, and electrocatalysis using Pt and Pd dendrimer-encapsulated nanoparticles prepared by galvanic exchange. New J. Chem. 2011, 35, 2054–2060. [Google Scholar] [CrossRef]
- Gong, Q.X.; Khorshidi, N.; Stierle, A.; Dosch, H.; Chen, H.Z.; Sellon, A.; He, Y.; Dulub, O.; Diebold, U. The 2 × 1 Reconstruction of the Rutile TiO2(011) Surface: A combined density functional theory, X-ray diffraction, and scanning tunneling microscopy study. Surf. Sci. 2009, 603, 138–144. [Google Scholar] [CrossRef]
- Ottaviani, M.F.; Cossu, E.; Turro, N.J.; Tomalia, D.A. Characterization of starburst dendrimers by electron paramagnetic resonance: Positively charged nitroxide radicals of variable chain length used as spin probes. J. Am. Chem. Soc. 1995, 117, 4387–4398. [Google Scholar] [CrossRef]
- Walter, E.D.; Sebby, K.B.; Usselman, R.J.; Singel, D.J.; Cloninger, M.J. Characterization of heterogeneously functionalized dendrimers by mass spectrometry and EPR spectroscopy. J. Phys. Chem. B 2005, 109, 21532–21538. [Google Scholar] [CrossRef]
- Martini, G.; Ciani, L. Electron spin resonance spectroscopy in drug delivery. Phys. Chem. 2009, 11, 211–254. [Google Scholar] [CrossRef]
- Shin, S.W.; Song, I.H.; Um, S.H. Role of Physicochemical Properties in Nanoparticle Toxicity. Nanomaterials 2015, 50, 1351–1365. [Google Scholar] [CrossRef]
- Mohd, A. What function of nanoparticles is the primary factor for their hyper-toxicity? Adv. Colloid Interface Sci. 2023, 314, 102881. [Google Scholar] [CrossRef]
- Xuan, L.; Ju, Z.; Skonieczna, M.; Zhou, P.K.; Huang, R. Nanoparticles-induced potential toxicity on human health: Applications, toxicity mechanisms, and evaluation models. MedComm 2023, 14, e327. [Google Scholar] [CrossRef]
- Pryor, J.B.; Harper, B.J.; Harper, S.L. Comparative toxicological assessment of PAMAM and thiophosphoryl dendrimers using embryonic zebrafish. Int. J. Nanomed. 2014, 9, 1947–1956. [Google Scholar] [CrossRef]
- Tajarobi, F.; El-Sayed, M.; Rege, B.D.; Polli, J.E.; Ghandehari, H. Transport of poly amidoamine dendrimers across Madin–Darby canine kidney cells. Int. J. Pharm. 2001, 215, 263–267. [Google Scholar] [CrossRef]
- Malik, N.; Wiwattanapatapee, R.; Klopsch, R.; Lorenz, K.; Frey, H.; Weener, J.W.; Meijer, E.W.; Paulus, W.; Duncan, R. Dendrimers:: Relationship between structure and biocompatibility in vitro, and preliminary studies on the biodistribution of 125I-labelled polyamidoamine dendrimers in vivo. J. Control Release 2000, 65, 133–148, Erratum in: J. Control Release 2000, 68, 299–302. [Google Scholar] [CrossRef] [PubMed]
- Agashe, H.B.; Dutta, T.D.; Garg, M.; Jain, N.K. Investigations on the toxicological profile of functionalized fifth-generation poly (propylene imine) dendrimer. J. Pharm. Pharmacol. 2006, 58, 1491–1498. [Google Scholar] [CrossRef] [PubMed]
- Chen, H.T.; Neerman, M.F.; Parrish, A.R.; Simanek, E. Cytotoxicity, haemolysis, and acute in vivo toxicity of dendrimer based on melamine, candidate vehicles for drug delivery. J. Am. Chem. Soc. 2004, 126, 10044–10048. [Google Scholar] [CrossRef]
- Grass, R.N.; Athanassiou, E.K.; Stark, W.J. Covalently functionalized cobalt nanoparticles as a platform for magnetic separations in organic synthesis. Angew. Chem.-Int. Ed. 2007, 46, 4909–4912. [Google Scholar] [CrossRef] [PubMed]
- Zhang, W.; Shi, X.; Zhang, Y.; Gu, W.; Lia, B.; Xian, Y. Synthesis of water-soluble magnetic graphene nanocomposites for recyclable removal of heavy metal ions. J. Mater. Chem. A 2013, 1, 1745–1753. [Google Scholar] [CrossRef]
- Leshuk, T.; Holmes, A.B.; Ranatunga, D.; Chen, P.Z.; Jiang, Y.; Gu, F. Magnetic flocculation for nanoparticle separation and catalyst recycling. Environ. Sci-Nano 2018, 5, 509–519. [Google Scholar] [CrossRef]
- Rajesh, G.; Senthil Kumar, P.; Akilandeswari, S.; Rangasamy, G.; Lohita, S.; Uma Shankar, V.; Ramya, M.; Nirmala, K.; Thirumalai, K. Strategies for ameliorating the photodegradation efficiency of Mn-doped CdAl2O4 nanoparticles for the toxic dyes under visible light illumination. Chemosphere 2023, 321, 138069. [Google Scholar] [CrossRef] [PubMed]
- Gargari, J.E.; Kalal, H.S.; Shakeri, A.; Khanchi, A. Synthesis and characterization of Silica/polyvinyl imidazole/H2PO4-core-shell nanoparticles as recyclable adsorbent for efficient scavenging of Sm(III) and Dy(III) from water. J. Colloid Interface Sci. 2017, 505, 745–755. [Google Scholar] [CrossRef]
- Nazar, M.F.; Shah, S.S.; Eastoe, J.; Khan, A.M.; Shah, A. Separation and recycling of nanoparticles using cloud point extraction with non-ionic surfactant mixtures. J. Colloid Interface Sci. 2011, 363, 490–496. [Google Scholar] [CrossRef] [PubMed]
- Zhuang, Z.; Xu, X.; Wang, Y.; Wang, Y.; Huang, F.; Lin, Z. Treatment of nanowaste via fast crystal growth: With recycling of nano-SnO2 from electroplating sludge as a study case. J. Hazard Mater. 2012, 211, 414–419. [Google Scholar] [CrossRef] [PubMed]







| Classification | Name | Code | Chemical Structure |
|---|---|---|---|
| nerve agents (disrupt the nervous system by inhibiting the acetylcholinesterase enzyme, leading to the overstimulation of muscles and glands) | sarin (o-isopropyl methyl phosphonofluoridate) | GB | ![]() |
| tabun (ethyl N,N-dimethylphosphoramidocyanidate) | GA | ![]() | |
| soman (3,3-dimethylbutan-2-yl methylphosphonofluoridate) | GD | ![]() | |
| VX (O-ethyl S-diisopropylaminoethylmethylphosphothioate) | VX | ![]() | |
| blister agents (cause severe skin, eye, and respiratory tract injuries by damaging tissues upon contact) | sulfur mustard (1-chloro-2-[(2-chloroethyl)sulfanyl] ethane) | H/HD | ![]() |
| nitrogen mustards (bis(2-chloroethyl)ethylamine) | HN-1, HN-2, HN-3 | ![]() NH1 | |
| lewisite (2-chloroethenyldichloroarsine) | L | ![]() | |
| blood agents (disrupt the body’s ability to use oxygen, leading to suffocation at the cellular level) | prussic acid (hydrogen cyanide) | AC | ![]() |
| cyanogen chloride (chloroformonitrile) | CK | ![]() | |
| choking agents (cause damage to the respiratory system, leading to fluid buildup in the lungs and potentially fatal pulmonary edema) | phosgene (carbonyl dichloride) | CG | ![]() |
| diphosgene (trichloromethyl carbonochloridate) | DP | ![]() | |
| chloropicrin (trichloro (nitro) methane) | PS | ![]() | |
| non-lethal agents (used as a riot control agent, tear gas, vomiting agents or sneeze gases) | CS ([(2-chlorophenyl)methylidene]propanedinitrile) | CS | ![]() |
| dibenzoxazepine (dibenzo[b,f][1,4]oxazepine) | CR | ![]() | |
| adamsite (10-Chloro-5,10-dihydrophenazarsinine) | DM | ![]() | |
| chloroacetophenone (2-chloro-1-phenylethan-1-one) | CS | ![]() | |
| psychological agents (aim to temporarily disable individuals by causing confusion, hallucinations, or other mental disturbances without permanent harm) | 3-quinuclidinyl benzilate (1-azabicyclo [2,2,2]octan-3-yl hydroxy(diphenyl) acetate) | BZ | ![]() |
| lysergic acid diethylamide ((6aR,9R)-N,N-diethyl-7-methyl-4,6,6a,7,8,9-hexahydroindolo[4,3-fg]quinoline-9-carboxamide) | LSD-25 | ![]() | |
| psilocybin ([3-[2-(dimethylamino)ethyl]-1H-indol-4-yl] dihydrogen phosphate) | 4-PO-DMT | ![]() |
| 1. The fundamental prohibition (Article I of the convention). |
| The most important provision is found in Article I, paragraph 1 (d), of the Convention, which states that each State Party adheres to the following: “Never, under any circumstances: (d) To use chemical weapons.” Since “use” within the meaning of the Convention also includes “testing,” any field research involving the actual use of CWs is considered the use of chemical weapons and is strictly prohibited. |
| 2. Exceptions and permitted types of research |
The Convention permits research with the use of chemical substances, but only for very specific, peaceful purposes and under strictly defined conditions. Field research with CW agents is only permitted in the following contexts:
Restrictions: Scale and Quantity: Strictly minimal quantities of CW agents necessary to achieve the test objective may be used for research. Large-scale testing using large quantities of agents is prohibited. Type of Substance: Tests must be justified by a real threat. The use of the most dangerous agents (e.g., VX, sarin) is extremely rigorously controlled. Location: Tests are often conducted in closed, controlled chambers or at specialized, closed testing ranges to minimize the risk of environmental contamination. Notification: States may (and in some cases must) report their defense research programs to the OPCW, although details often remain confidential.
Restrictions: Type of substances: This applies primarily to so-called precursors (chemicals used to produce CW agents) or CW agents themselves in quantities and concentrations that have no military application (e.g., testing phosphate-based pesticides). Prohibition: No research may be aimed at developing new types of chemical weapons or improving existing ones.
Restrictions: These are almost exclusively in vitro (cell-based) tests or animal models. Human testing is strictly prohibited by international law and ethics. |
| 3. Infrastructure and site restrictions |
| Declaration and Inspections: All facilities where chemical weapons have ever been produced or tested (so-called formerly chemical weapon-related facilities) must be declared to the OPCW. They are subject to routine and challenge inspections to confirm that they are not being used for prohibited activities. Closed Test Ranges: Any defensive testing may only take place in specially designated, secured, and isolated testing ranges to avoid the accidental exposure of civilians or environmental contamination. |
| Summary—Key restrictions: |
| Comprehensive Combat Ban: Any testing aimed at developing, evaluating the effectiveness, or improving chemical weapons is illegal. Minimum Quantities: Permitted research (defensive, peaceful) may only use the minimum necessary quantities of CW agents. Strict Purpose: The purpose of the research must fall within the scope of chemical weapon protection or the peaceful use of chemistry. Transparency and Control: All activities related to CW agents are subject to potential verification and inspection by the OPCW. Environmental and Public Protection: Test methods and locations must effectively prevent the release of hazardous substances into the environment. |
| Inorganic nanoparticles categories: Elemental metal nanoparticles | |
| Elemental metals form some of the most widely studied nanoparticles due to their tunable optical, electrical, and catalytic properties. | |
| Gold nanoparticles (Au NPs) | Au NPs are among the most versatile nanomaterials. They can be synthesized in diverse morphologies—nanospheres, nanorods, nanostars, nanoshells, and nanocages—each with unique surface plasmon resonance (SPR) properties. Biomedically promising: Their strong optical absorption/scattering enables biosensing, disease detection, imaging, and photothermal therapy (PTT). Au NPs show particularly strong potential in cancer diagnosis and treatment, with low cytotoxicity in vitro, making them safer candidates compared to many other metals. Surface versatility: Au NPs can be functionalized with drugs, antibodies, or nucleic acids for targeted delivery. |
| Silver nanoparticles (Ag NPs) | Known for high conductivity and potent antibacterial properties, Ag NPs are widely used in wound dressings, coatings, and biosensors. Their antimicrobial action is linked to the release of Ag+ ions and the generation of reactive oxygen species (ROS). When encapsulated within dendrimers, Ag NPs gain enhanced stability and controlled ion release, making them more biocompatible for medical uses. |
| Selenium nanoparticles (Se NPs) | Over the last five years, Se NPs have gained remarkable interest in drug and gene delivery. Selenium is an essential trace element, and nano-size improves its bioavailability, antioxidant activity, and reduced toxicity compared to bulk Se. Dendrimer-assisted Se NPs are now being explored as nanocarriers for chemotherapeutics, gene silencing agents, and nutraceuticals, with promising results in cancer therapy, neuroprotection, and immunomodulation. |
| Metal oxide nanoparticles | |
| Metal oxides are another important class of inorganic nanomaterials. Examples include ZnO, TiO2, Fe3O4, and CeO2 nanoparticles, which exhibit photocatalytic, magnetic, or antioxidant properties. | |
| ZnO NPs | for antimicrobial and UV-protective coatings |
| TiO2 NPs | in photocatalysis, sunscreens, and drug delivery |
| Fe3O4 (magnetite) NPs | in magnetic resonance imaging (MRI), targeted drug delivery, and hyperthermia cancer treatments |
| CeO2 NPs | as “nanozymes” with antioxidant enzyme-mimetic activity, promising in oxidative stress-related diseases |
| Metal salts and hybrid nanostructures | |
| Nanoparticles derived from salts (e.g., CaCO3, BaSO4) serve as biocompatible carriers for drugs and imaging agents. Dendrimer encapsulation helps stabilize such nanoparticles, prevents premature dissolution, and allows for surface modification with targeting ligands. | |
| Carbon-based nanomaterials: Fullerenes and derivatives | |
| Beyond inorganic nanoparticles, carbon nanostructures such as fullerenes (C60 and higher derivatives) have gained prominence. Structure: Fullerenes are hollow, cage-like molecules composed entirely of carbon atoms. Their spherical or ellipsoidal geometry, high electron affinity, and ability to generate singlet oxygen under light make them unique. Applications: Drug and gene delivery through conjugation with biomolecules. Antioxidants and radical scavengers, protecting cells from oxidative damage. Photodynamic therapy (PDT): Fullerene derivatives produce reactive oxygen species (ROS) upon light activation, selectively killing cancer cells. Antiviral and neuroprotective agents due to their ability to cross cell membranes and interact with biological macromolecules. Dendrimers are frequently employed to functionalize fullerenes, enhancing their solubility and biocompatibility, thereby expanding their medical and technological applications. | |
| 1. Bimetallic nanoparticles: Structure and properties |
BNPs can exist in various structural motifs, such as
|
| 2. Dendrimer-encapsulated nanoparticles (DENs) |
|
DEN is a special subclass of nanomaterials in which nanoparticles are synthesized and stabilized inside the cavities of dendrimers—branched, tree-like polymers with well-defined structures. Encapsulation advantages:
|
| 3. Unique properties of bimetallic DENs |
Compared to bulk metals or monometallic DENs, bimetallic DENs exhibit
|
| 4. Biomedical applications |
| Bimetallic DENs have attracted significant interest in nanomedicine: Drug delivery: Dendrimers provide a biocompatible shell for conjugation with drugs, antibodies, or targeting ligands, while a metal core provides controlled release and diagnostic functionality. Imaging and diagnostics: Their plasmonic and magnetic properties enhance MRI, CT, PET, and optical imaging contrast. Therapeutics: Photothermal therapy (gold-based DENs), radiosensitizers (Pt-based DENs), and antimicrobial agents (Ag-containing DENs). Biosensing: Ultra-sensitive detection of biomolecules using catalytic or electrochemical responses of bimetallic DENs. |
| 5. Roles in advanced nano-science and technology |
Beyond biomedicine, bimetallic DENs play a key role in
|
| Au NPs | strong evidence for chemical detection (SERS/SPR), promising photothermal inactivation, low cytotoxicity when coated |
| Ag NPs | effective in antibacterial coatings and filters, with SERS utility but concerns over ecotoxicity and resistance |
| Se NPs | emerging as nanocarriers for drug/gene delivery with antioxidant and antimicrobial potential |
| Fe3O4 and oxide nanozymes (TiO2, CeO2, ZnO) | strong remediation platforms for radionuclides, chemicals, and pathogens, dependent on activation and immobilization |
| Dendrimers and DENs | versatile, multivalent, catalytic platforms suited for integration into devices/coatings |
| Fullerenes | niche but valuable for photodynamic pathogen inactivation and redox control, limited by solubility and light dependence |
| 1. Quantum dots for nuclear detection | |
| Quantum dots (QDs) are gaining attention due to their potential in nuclear detection, tuneable optical properties and biocompatibility. Recent developments include the following. | |
| Water-Based Quantum Dot Liquid Scintillators | These offer enhanced safety and environmental benefits over traditional organic scintillators, making them suitable for applications in particle physics and nuclear detection. |
| Integration with Graphene | The combination of QDs with graphene has shown promise in improving the efficiency of radiation detectors, which could be beneficial for environmental monitoring and nuclear safety. |
| 2. Dendrimer nanocomposites in pollution sensing | |
| Dendrimers, known for their uniform structure and functional groups, are being explored for their role in pollution sensing. | |
| Electrochemical Sensors | Dendrimer-based electrochemical sensors have demonstrated effectiveness in detecting environmental pollutants, such as heavy metals and organic contaminants. |
| Integration with Conductive Polymers | The combination of dendrimers with conductive polymers can enhance sensor performance, leading to more sensitive and selective detection methods. |
Disclaimer/Publisher’s Note: The statements, opinions and data contained in all publications are solely those of the individual author(s) and contributor(s) and not of MDPI and/or the editor(s). MDPI and/or the editor(s) disclaim responsibility for any injury to people or property resulting from any ideas, methods, instructions or products referred to in the content. |
© 2025 by the authors. Licensee MDPI, Basel, Switzerland. This article is an open access article distributed under the terms and conditions of the Creative Commons Attribution (CC BY) license (https://creativecommons.org/licenses/by/4.0/).
Share and Cite
Gonciarz, A.; Pich, R.; Bogdanowicz, K.A.; Pellowski, W.; Miedziak, J.; Lalik, S.; Szczepaniak, M.; Marzec, M.; Iwan, A. Review of Current Achievements in Dendrimers and Nanomaterials for Potential Detection and Remediation of Chemical, Biological, Radiological and Nuclear Contamination—Integration with Artificial Intelligence and Remote Sensing Technologies. Nanomaterials 2025, 15, 1395. https://doi.org/10.3390/nano15181395
Gonciarz A, Pich R, Bogdanowicz KA, Pellowski W, Miedziak J, Lalik S, Szczepaniak M, Marzec M, Iwan A. Review of Current Achievements in Dendrimers and Nanomaterials for Potential Detection and Remediation of Chemical, Biological, Radiological and Nuclear Contamination—Integration with Artificial Intelligence and Remote Sensing Technologies. Nanomaterials. 2025; 15(18):1395. https://doi.org/10.3390/nano15181395
Chicago/Turabian StyleGonciarz, Agnieszka, Robert Pich, Krzysztof A. Bogdanowicz, Witalis Pellowski, Jacek Miedziak, Sebastian Lalik, Marcin Szczepaniak, Monika Marzec, and Agnieszka Iwan. 2025. "Review of Current Achievements in Dendrimers and Nanomaterials for Potential Detection and Remediation of Chemical, Biological, Radiological and Nuclear Contamination—Integration with Artificial Intelligence and Remote Sensing Technologies" Nanomaterials 15, no. 18: 1395. https://doi.org/10.3390/nano15181395
APA StyleGonciarz, A., Pich, R., Bogdanowicz, K. A., Pellowski, W., Miedziak, J., Lalik, S., Szczepaniak, M., Marzec, M., & Iwan, A. (2025). Review of Current Achievements in Dendrimers and Nanomaterials for Potential Detection and Remediation of Chemical, Biological, Radiological and Nuclear Contamination—Integration with Artificial Intelligence and Remote Sensing Technologies. Nanomaterials, 15(18), 1395. https://doi.org/10.3390/nano15181395




















