Magnetocaloric Effect in 3D Gd(III)-Oxalate Coordination Framework
Abstract
1. Introduction
2. Materials and Methods
3. Results
3.1. Synthetic Strategy
3.2. Crystal Structures
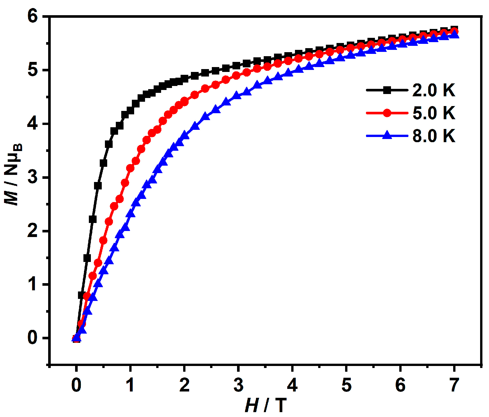
3.3. Magnetic Properties
| Compound | H (T) | T (K) | −ΔSm (J kg−1 K−1) | −ΔSv (mJ cm−3 K−1) | RCP (J kg−1) | Ref. |
|---|---|---|---|---|---|---|
| Gd-3D | 1 | 2 | 8.32 | 16.91 | 23.71 | this work |
| Gd-3D | 2 | 2 | 20.22 | 41.09 | 68.45 | this work |
| Gd-3D | 3 | 2 | 28.37 | 57.65 | 112.01 | this work |
| Gd-3D | 4 | 2 | 31.96 | 64.94 | 146.25 | this work |
| Gd-3D | 5 | 2 | 33.44 | 67.95 | 171.17 | this work |
| Gd-3D | 6 | 2 | 35.27 | 71.67 | 188.99 | this work |
| Gd-3D | 7 | 2 | 36.67 | 74.47 | 198.25 | this work |
| 3D (NH4)[Gd(C2O4)(SO4)(H2O)] | 7 | 2 | 42.4 | 137 | ― | [29] |
| 3D [Gd(C2O4)0.5(CO3)(H2O)] | 7 | 2 | 50.7 | 165 | ― | [29] |
| 3D (H6edte)0.5[Gd(C2O4)2(H2O)] | 9 | 2 | 36.8 | 84.4 | ― | [28] |
| 2D [Gd2(C2O4)3(H2O)6•0.6H2O] | 7 | 2 | 46.6 | 139.9 | ― | [26] |
| 2D [Gd(C2O4)(H2O)3Cl] | 7 | 2.2 | 48.0 | 144 | ― | [25] |
| Gd3Ga5O12 (GGG) | 3 | 1.2 | 24 | 173 | ― | [35,36] |
| Gd(HCOO)3 | 2 | 1.1 | 43.6 | 168.5 | 135.47 | [23] |
| [{Gd(OAc)3(H2O)2}2]•4H2O | 2 | 0.9 | 32.6 | 66.5 | 104.41 | [37] |
| [Gd(HCOO)(OAc)2(H2O)2] | 2 | 0.9 | 37.0 | 88.9 | 118.6 | [24] |
| Gd2(fum)3(H2O)4•3H2O | 2 | 1.0 | 18.0 | 45.3 | 43.2 | [16] |
| Gd3Ga5O12 (GGG) | 2 | 1.2 | 20.4 | 145 | 67.58 | [1] |
4. Conclusions
Supplementary Materials
Author Contributions
Funding
Data Availability Statement
Acknowledgments
Conflicts of Interest
References
- Tishin, A.M.; Spichkin, Y.I. The Magnetocaloric Effect and Its Applications; CRC Press: Boca Raton, FL, USA, 2016. [Google Scholar]
- Liu, J.-L.; Chen, Y.-C.; Guo, F.-S.; Tong, M.-L. Recent Ddvances in the Design of Magnetic Molecules for Use as Cryogenic Magnetic Coolants. Coord. Chem. Rev. 2014, 281, 26–49. [Google Scholar] [CrossRef]
- Zheng, Y.Z.; Zhou, G.J.; Zheng, Z.; Winpenny, R.E. Molecule-based magnetic coolers. Chem. Soc. Rev. 2014, 43, 1462–1475. [Google Scholar] [CrossRef] [PubMed]
- Zheng, X.Y.; Kong, X.J.; Zheng, Z.; Long, L.S.; Zheng, L.S. High-nuclearity Lanthanide-Containing Clusters as Potential Molecular Magnetic Coolers. Acc. Chem. Res. 2018, 51, 517–525. [Google Scholar] [CrossRef]
- Liu, J.L.; Chen, Y.C.; Tong, M.L. Molecular Design for Cryogenic Magnetic Coolants. Chem. Rec. 2016, 16, 825–834. [Google Scholar] [CrossRef]
- Zheng, X.-Y.; Peng, J.-B.; Kong, X.-J.; Long, L.-S.; Zheng, L.-S. Mixed-Anion Templated Cage-like Lanthanide Clusters: Gd27 and Dy27. Inorg. Chem. Front. 2016, 3, 320–325. [Google Scholar] [CrossRef]
- Lu, T.Q.; Xu, H.; Cheng, L.T.; Wang, X.T.; Chen, C.; Cao, L.; Zhuang, G.L.; Zheng, J.; Zheng, X.Y. Family of Nanoclusters, Ln33 (Ln = Sm/Eu) and Gd32, Exhibiting Magnetocaloric Effects and Fluorescence Sensing for MnO4−. Inorg. Chem. 2022, 61, 8861–8869. [Google Scholar] [CrossRef]
- Wu, M.; Jiang, F.; Kong, X.; Yuan, D.; Long, L.; Al-Thabaiti, S.A.; Hong, M. Two Polymeric 36-Metal Pure Lanthanide Nanosize Clusters. Chem. Sci. 2013, 4, 3104–3109. [Google Scholar] [CrossRef]
- Zhou, Y.; Zheng, X.Y.; Cai, J.; Hong, Z.F.; Yan, Z.H.; Kong, X.J.; Ren, Y.P.; Long, L.S.; Zheng, L.S. Three Giant Lanthanide Clusters Ln37 (Ln = Gd, Tb, and Eu) Featuring A Double-Cage Structure. Inorg. Chem. 2017, 56, 2037–2041. [Google Scholar] [CrossRef] [PubMed]
- Guo, F.S.; Chen, Y.C.; Mao, L.L.; Lin, W.Q.; Leng, J.D.; Tarasenko, R.; Orendáč, M.; Prokleška, J.; Sechovský, V.; Tong, M.L. Anion—Templated Assembly and Magnetocaloric Properties of A Nanoscale {Gd38} Cage Versus a {Gd48} Barrel. Chem. Eur. J. 2013, 19, 14876–14885. [Google Scholar] [CrossRef] [PubMed]
- Luo, X.M.; Hu, Z.B.; Lin, Q.F.; Cheng, W.; Cao, J.P.; Cui, C.H.; Mei, H.; Song, Y.; Xu, Y. Exploring the Performance Improvement of Magnetocaloric Effect Based Gd-exclusive Cluster Gd60. J. Am. Chem. Soc. 2018, 140, 11219–11222. [Google Scholar] [CrossRef]
- Peng, J.B.; Kong, X.J.; Zhang, Q.C.; Orendac, M.; Prokleska, J.; Ren, Y.P.; Long, L.S.; Zheng, Z.; Zheng, L.S. Beauty, Symmetry, and Magnetocaloric Effect-Four-Shell Keplerates with 104 Lanthanide Atoms. J. Am. Chem. Soc. 2014, 136, 17938–17941. [Google Scholar] [CrossRef]
- Zheng, X.Y.; Jiang, Y.H.; Zhuang, G.L.; Liu, D.P.; Liao, H.G.; Kong, X.J.; Long, L.S.; Zheng, L.S. A Gigantic Molecular Wheel of {Gd140}: A New Member of the Molecular Wheel Family. J. Am. Chem. Soc. 2017, 139, 18178–18181. [Google Scholar] [CrossRef]
- Guo, F.S.; Leng, J.D.; Liu, J.L.; Meng, Z.S.; Tong, M.L. Polynuclear and Polymeric Gadolinium Acetate Derivatives with Large Magnetocaloric Effect. Inorg. Chem. 2012, 51, 405–413. [Google Scholar] [CrossRef]
- Biswas, S.; Adhikary, A.; Goswami, S.; Konar, S. Observation of A Large Magnetocaloric Effect in A 2D Gd(III)-Based Coordination Polymer. Dalton Trans. 2013, 42, 13331–13334. [Google Scholar] [CrossRef] [PubMed]
- Sedláková, L.; Hanko, J.; Orendáčová, A.; Orendáč, M.; Zhou, C.L.; Zhu, W.H.; Wang, B.W.; Wang, Z.M.; Gao, S. Magnetism and Magnetocaloric Effect in S=7/2 Heisenberg Antiferromagnet Gd2(fum)3(H2O)4·3H2O. J. Alloys Compd. 2009, 487, 425–429. [Google Scholar] [CrossRef]
- Chen, Y.C.; Guo, F.S.; Zheng, Y.Z.; Liu, J.L.; Leng, J.D.; Tarasenko, R.; Orendac, M.; Prokleska, J.; Sechovsky, V.; Tong, M.L. Gadolinium(III)-hydroxy Ladders Trapped in Succinate Frameworks with Optimized Magnetocaloric Effect. Chem. Eur. J. 2013, 19, 13504–13510. [Google Scholar] [CrossRef]
- Jia, J.-M.; Liu, S.-J.; Cui, Y.; Han, S.-D.; Hu, T.-L.; Bu, X.-H. 3D GdIII Complex Containing Gd16 Macrocycles Exhibiting Large Magnetocaloric Effect. Cryst. Growth Des. 2013, 13, 4631–4634. [Google Scholar] [CrossRef]
- Yang, Y.; Zhang, Q.C.; Pan, Y.Y.; Long, L.S.; Zheng, L.S. Magnetocaloric Effect and Thermal Conductivity of Gd(OH)3 and Gd2O(OH)4(H2O)2. Chem. Commun. 2015, 51, 7317–7320. [Google Scholar] [CrossRef]
- Black, C.A.; Costa, J.S.; Fu, W.T.; Massera, C.; Roubeau, O.; Teat, S.J.; Aromí, G.; Gamez, P.; Reedijk, J. 3-D Lanthanide Metal-Organic Frameworks: Structure, Photoluminescence, and Magnetism. Inorg. Chem. 2009, 48, 1062–1068. [Google Scholar] [CrossRef]
- Xu, Q.; Liu, B.; Ye, M.; Zhuang, G.; Long, L.; Zheng, L. Gd(OH)F2: A Promising Cryogenic Magnetic Refrigerant. J. Am. Chem. Soc. 2022, 144, 13787–13793. [Google Scholar] [CrossRef]
- Xu, Q.F.; Chen, M.T.; Ye, M.Y.; Liu, B.L.; Zhuang, G.L.; Long, L.S.; Zheng, L.S. Accurate Prediction of the Magnetic Ordering Temperature of Ultralow-Temperature Magnetic Refrigerants. ACS Appl. Mater. Interfaces 2024, 16, 32394–32401. [Google Scholar] [CrossRef] [PubMed]
- Lorusso, G.; Sharples, J.W.; Palacios, E.; Roubeau, O.; Brechin, E.K.; Sessoli, R.; Rossin, A.; Tuna, F.; McInnes, E.J.; Collison, D.; et al. A Dense Metal-Organic Framework for Enhanced Magnetic Refrigeration. Adv. Mater. 2013, 25, 4653–4656. [Google Scholar] [CrossRef] [PubMed]
- Lorusso, G.; Palacios, M.A.; Nichol, G.S.; Brechin, E.K.; Roubeau, O.; Evangelisti, M. Increasing the Dimensionality of Cryogenic Molecular Coolers: Gd-based Polymers and Metal-Organic Frameworks. Chem. Commun. 2012, 48, 7592–7594. [Google Scholar] [CrossRef]
- Chen, Y.-C.; Qin, L.; Meng, Z.-S.; Yang, D.-F.; Wu, C.; Fu, Z.; Zheng, Y.-Z.; Liu, J.-L.; Tarasenko, R.; Orendáč, M.; et al. Study of a Magnetic-Cooling Material Gd(OH)CO3. J. Mater. Chem. A 2014, 2, 9851–9858. [Google Scholar] [CrossRef]
- Sibille, R.; Didelot, E.; Mazet, T.; Malaman, B.; François, M. Magnetocaloric Effect in Gadolinium-Oxalate Framework Gd2(C2O4)3(H2O)6⋅(0.6H2O). APL Mater. 2014, 2, 124402. [Google Scholar] [CrossRef]
- Meng, Y.; Chen, Y.C.; Zhang, Z.M.; Lin, Z.J.; Tong, M.L. Gadolinium Oxalate Derivatives with Enhanced Magnetocaloric Effect via Ionothermal Synthesis. Inorg. Chem. 2014, 53, 9052–9057. [Google Scholar] [CrossRef] [PubMed]
- Akhtar, M.N.; Chen, Y.-C.; AlDamen, M.A.; Tong, M.-L. 3D Oxalato-Bridged Lanthanide(III) Mofs with Magnetocaloric, Magnetic and Photoluminescence Properties. Dalton Trans. 2017, 46, 116–124. [Google Scholar] [CrossRef]
- Li, J.-H.; Liu, A.-J.; Ma, Y.-J.; Han, S.-D.; Hu, J.-X.; Wang, G.-M. A Large Magnetocaloric Effect in Two Hybrid Gd-Complexes: The Synergy of Inorganic and Organic Ligands Towards Excellent Cryo-Magnetic Coolants. J. Mater. Chem. C 2019, 7, 6352–6358. [Google Scholar] [CrossRef]
- Sheldrick, G. Crystal Structure Refinement with Shelxl. Acta Crystallogr. Sect. C 2015, 71, 3–8. [Google Scholar] [CrossRef] [PubMed]
- Dolomanov, O.V.; Bourhis, L.J.; Gildea, R.J.; Howard, J.A.K.; Puschmann, H. Olex2: A Complete Structure Solution, Refinement and Analysis Program. J. Appl. Crystallogr. 2009, 42, 339–341. [Google Scholar] [CrossRef]
- Sheldrick, G. Shelxt-Integrated Space-Group and Crystal-Structure Determination. Acta Crystallogr. Sect. A 2015, 71, 3–8. [Google Scholar] [CrossRef] [PubMed]
- Evangelisti, M.; Brechin, E.K. Recipes for Enhanced Molecular Cooling. Dalton Trans. 2010, 39, 4672–4676. [Google Scholar] [CrossRef]
- Wood, M.E.; Potter, W.H. General Analysis of Magnetic Refrigeration and Its Optimization Using a New Concept: Maximization of Refrigerant Capacity. Cryogenics 1985, 25, 667–683. [Google Scholar] [CrossRef]
- Daudin, B.; Lagnier, R.; Salce, B. Thermodynamic Properties of the Gadolinium Gallium Garnet, Gd3Ga5O12, between 0.05 and 25 K. J. Magn. Magn. Mater. 1982, 27, 315–322. [Google Scholar] [CrossRef]
- Slack, G.A.; Oliver, D. Thermal Conductivity of Garnets and Phonon Scattering by Rare-Earth Ions. Phys. Rev. B 1971, 4, 592. [Google Scholar] [CrossRef]
- Evangelisti, M.; Roubeau, O.; Palacios, E.; Camon, A.; Hooper, T.N.; Brechin, E.K.; Alonso, J.J. Cryogenic Magnetocaloric Effect in a Ferromagnetic Molecular Dimer. Angew. Chem. Int. Ed. 2011, 50, 6606–6609. [Google Scholar] [CrossRef] [PubMed]




Disclaimer/Publisher’s Note: The statements, opinions and data contained in all publications are solely those of the individual author(s) and contributor(s) and not of MDPI and/or the editor(s). MDPI and/or the editor(s) disclaim responsibility for any injury to people or property resulting from any ideas, methods, instructions or products referred to in the content. |
© 2024 by the authors. Licensee MDPI, Basel, Switzerland. This article is an open access article distributed under the terms and conditions of the Creative Commons Attribution (CC BY) license (https://creativecommons.org/licenses/by/4.0/).
Share and Cite
Lv, F.-W.; Hong, M.-X.; Wang, X.-T.; Tian, H.; Wang, C.-C.; Zheng, X.-Y. Magnetocaloric Effect in 3D Gd(III)-Oxalate Coordination Framework. Nanomaterials 2025, 15, 32. https://doi.org/10.3390/nano15010032
Lv F-W, Hong M-X, Wang X-T, Tian H, Wang C-C, Zheng X-Y. Magnetocaloric Effect in 3D Gd(III)-Oxalate Coordination Framework. Nanomaterials. 2025; 15(1):32. https://doi.org/10.3390/nano15010032
Chicago/Turabian StyleLv, Fang-Wen, Mei-Xin Hong, Xue-Ting Wang, Haiquan Tian, Chun-Chang Wang, and Xiu-Ying Zheng. 2025. "Magnetocaloric Effect in 3D Gd(III)-Oxalate Coordination Framework" Nanomaterials 15, no. 1: 32. https://doi.org/10.3390/nano15010032
APA StyleLv, F.-W., Hong, M.-X., Wang, X.-T., Tian, H., Wang, C.-C., & Zheng, X.-Y. (2025). Magnetocaloric Effect in 3D Gd(III)-Oxalate Coordination Framework. Nanomaterials, 15(1), 32. https://doi.org/10.3390/nano15010032

