Abstract
With the growing severity of air pollution, monitoring harmful gases that pose risks to both human health and the ecological environment has become a focal point of research. Titanium dioxide (TiO2) demonstrates significant potential for application in SO2 gas detection. However, the performance of pure TiO2 is limited. In this study, TiO2 nanospheres and MoSe2 nanosheets were synthesized using a hydrothermal method, and the gas-sensing properties of TiO2/MoSe2 nanostructures for SO2 detection were investigated. The TiO2/MoSe2 composites (with a TiO2-to-MoSe2 volume ratio of 2:1) were characterized by scanning electron microscopy (SEM), transmission electron microscopy (TEM), X-ray photoelectron spectroscopy (XPS), and X-ray diffraction (XRD). The TiO2/MoSe2 sensor exhibited high sensitivity to SO2; the response to 100 ppm of SO2 reached as high as 59.3, with a significantly shorter response and recovery time (15 s/13 s), as well as excellent repeatability, selectivity, and long-term stability. The experimental results suggest that the enhanced SO2 adsorption capacity of the TiO2/MoSe2 composite can be attributed to the formation of an n-n heterojunction and the unique microstructural features of TiO2/MoSe2. Therefore, the TiO2/MoSe2 sensor represents a promising candidate for rapid SO2 detection, providing a theoretical foundation for the development and application of high-performance SO2 sensors.
1. Introduction
Air pollution, particularly from toxic gases, poses a significant threat to both ecological systems and human health [1,2]. As a major atmospheric pollutant, sulfur dioxide (SO2) is classified as toxic by the World Health Organization (WHO) [3,4,5]. It is primarily emitted from the burning of fossil fuels in power plants, industrial activities, and natural sources like volcanic eruptions and forest fires [6,7,8]. Long-term exposure to high SO2 concentrations can irritate the eyes, respiratory system, and skin, leading to conditions such as asthma, bronchitis, and even lung failure [9,10]. Additionally, SO2 contributes to acid rain formation, further damaging ecosystems [11,12]. Consequently, there is an urgent need for high-sensitivity, low-cost SO2 sensors to monitor and mitigate its environmental and health impacts. However, unlike many other gases, SO2 molecules exhibit strong interactions with the surface of sensing materials, which may result in slow adsorption and desorption processes. Additionally, SO2 can react with metal oxide surfaces to form sulfuric acid or sulfite species, leading to changes in the surface morphology and chemical state of the material, which can impact the stability and long-term performance of the sensor. Moreover, due to the low concentration of SO2 in ambient air (typically in the ppb range), sensors are required to have high sensitivity. The rapid and reversible adsorption of SO2 necessitates materials with optimized electronic properties and fast charge transport mechanisms to ensure quick response and recovery times. These challenges highlight the need for the development of novel materials to enhance the performance of SO2 sensors.
In recent years, metal–semiconductor oxide (MOS) gas sensors have found widespread application in detecting toxic, harmful, flammable, and explosive gases due to their simple structure, ease of preparation, low cost, high practicality, and excellent sensing performance [13,14,15]. Among these, binary metal oxides are characterized by relatively simple and stable crystal structures, and their surfaces often exhibit chemical activity, which facilitates effective interaction with gas molecules [16,17,18]. Titanium dioxide (TiO2), a typical binary metal oxide, is an n-type semiconductor with a work function of 4.3 eV. It is extensively used in various gas detection applications because of its simple crystal structure, excellent stability, wide bandgap, surface chemical activity, and redox properties [19]. Shooshtari et al. synthesized a titanium dioxide nanowire-based ethanol gas sensor and conducted an in-depth study on the effects of temperature and humidity, two key factors, on the sensor’s performance at four different temperatures and under various morphologies. They discussed the optimal growth and testing conditions for gas sensing to minimize the impact of humidity and temperature [20]. Zeng et al. developed a room-temperature SO2 gas sensor based on TiO2/rGO, providing a novel approach for miniaturized, integrated, and high-performance SO2 gas sensors. However, the sensor exhibits a response of only 3.46% to 20 ppm SO2, which is relatively moderate, and the response recovery time is excessively long, reaching 456 s/134 s [21]. Thangamani et al. reported that a PVF/TiO2 nanofilm gas sensor exhibited a high response of 83.75% to 600 ppm SO2 at 150 °C, along with excellent selectivity and outstanding long-term stability; however, the response recovery time is similarly excessive, reaching 66 s/107 s [22]. The microstructure and morphology of nanomaterials can be optimized and tailored through effective methods such as hydrothermal, electrospinning, and sol–gel techniques, which significantly enhance the gas-sensitive properties of these materials [23]. Among these techniques, TiO2 nanomaterials synthesized via the hydrothermal method are particularly effective for SO2 detection [24].
To enhance the response, recovery, and reversibility of MOS-based SO2 sensors, various strategies have been developed, including doping MOS nanomaterials with other sensing materials to form heterostructures, such as 2D materials and graphene [25]. MoSe2, a 2D transition metal disulfide, has garnered attention due to its atomic thickness, which increases its surface area and contact with gas molecules, enhancing sensitivity. Additionally, MoSe2 possesses a band gap of 1.52 eV, high electron mobility, good electrical conductivity, and effective adsorption/desorption properties, making it a popular choice for gas sensors [26]. For instance, Pan et al. synthesized MoSe2-decorated α-FeO nanocomposites via a hydrothermal method, where the formation of an n-n heterojunction between MoSe2 and α-FeO hollow nanospheres significantly enhanced H2S sensing performance [27]. Similarly, Liu et al. prepared CuO/MoSe2 nanocomposites, achieving up to 20% response to 20 ppm H2S, showing potential for high-performance H2S sensors [28]. To address the issues of low sensitivity and long response recovery time in traditional SO2 sensors, we propose a highly sensitive TiO2/MoSe2 composite material sensor with fast response and recovery.
In this study, TiO2/MoSe2 composites were successfully synthesized using a simple hydrothermal method for SO2 sensing applications. The TiO2/MoSe2 sensor exhibited significantly improved response compared to single-material sensors. Additionally, the composite demonstrated fast response, strong selectivity, and long-term stability. The sensing mechanism of the TiO2/MoSe2 composite was further explored, focusing on the n-n heterojunction and the active sites on the material’s surface.
2. Experiments
2.1. Materials
Titanium sulfate (Ti(SO4)2, 99.9%), urea (CO(NH2)2, 99%), and sodium borohydride (NaBH4, 96%) were from Sinopharm Chemical Reagent Co., Ltd. (Shanghai, China). Sodium molybdate dihydrate (Na2MoO4·2H2O, 99%) and selenium powder (Se, 99.9%) was from Macklin Biochemical Co., Ltd. (Shanghai, China). Ethanol (C2H6O, 99.7%) was from Titan Scientific Co., Ltd. (Shanghai, China). Hydrazine hydrate (N2H4·H2O, 80%) was from Beilian Fine Chemicals Development Co., Ltd. (Tianjin, China).
2.2. Sensor Fabrication
First, 12 g of Ti(SO4)2 was weighed and dissolved with 6 g of urea in 100 mL of deionized water. After stirring for 1.5 h and ultrasonic treatment for 0.5 h, a uniformly dispersed solution was obtained. After that, the solution was sealed in a reactor and kept at 180 °C for 3 h. After heating and cooling, a TiO2 solution without impurities was obtained by centrifugal washing with deionized water several times. Finally, the solution was dried at 60 °C to obtain a high-purity TiO2 powder.
For the preparation of MoSe2, 0.1 g of NaBH4 and 0.6 g of Na2MoO4·2H2O were weighed, dissolved in 100 mL of deionized water, and then stirred. At the same time, 0.493 g of Se powder and 10 mL of hydrazine hydrate were evenly mixed, then continuously injected into the mixed solution prepared in the first step, stirred for 1 h, and underwent ultrasonic treatment for 1 h. The blended solution was kept at 200 °C for 48 h. After cooling, the solution was alternately centrifuged with deionized water and ethanol, and the obtained solution was dried in a vacuum environment. The most important step is to place the dried powder in a 700 °C calcination furnace under the protection of Ar gas for 2 h to obtain the required MoSe2. Figure 1 describes the preparation process of the TiO2 and MoSe2 nanomaterials and the preparation of the TiO2/MoSe2 sensors.
Figure 1.
Synthesis process of TiO2/MoSe2 composite sensor.
During the experiment, the laboratory temperature is maintained at 25 °C with a relative humidity of 45% RH. Because humidity affects the conductivity of materials, typically causing a change in electrical resistance when moisture is absorbed, the electrical conductivity decreases as the moisture content increases. In a dry environment, as moisture decreases, the resistance increases. The sensor is placed in a sealed chamber of the automatic gas mixing system, where both temperature and humidity are kept constant, matching the environmental conditions of the laboratory. Unless otherwise specified, the temperature is maintained at 25 °C and the humidity at 45% RH. To detect sulfur dioxide (SO2) gas concentrations ranging from 0.5 to 100 ppm, the corresponding SO2 concentration is pre-calculated and injected into the first gas chamber. After measuring the data at the specified SO2 concentration, the automatic gas mixing system introduces argon gas into the first gas chamber to purge any residual SO2 gas, allowing the sensor to recover. Each exposure and recovery period lasts for 100 s. The sensor response, denoted as S, is defined as the ratio of Ra to Rg, where Ra is the resistance of the sensor in air and Rg is the resistance in SO2 gas.
3. Results and Discussion
3.1. Characterization
The crystal structures of TiO2, MoSe2, and TiO2/MoSe2 were characterized using transmission electron microscopy (TEM) (JEOL JEM-2100, Beijing, China), with the lattice spacing of TiO2/MoSe2 determined by high-resolution TEM. The surface morphology of the sensor material was examined using a scanning electron microscope (SEM, Hitachi S-4800, Beijing, China). The internal structures of the materials were analyzed by XRD (Rigaku D/Max-2550, Beijing, China) with Cu Kα radiation (k = 0.15418 nm). The chemical composition was determined using an Al-Kα X-ray excitation source and XPS characterization with thermal science instruments.
The microscopic morphology of TiO2 and MoSe2 prepared by SEM was studied. Figure 2c show the TEM images of the TiO2/MoSe2 composite. TiO2 nanoparticles are attached to the surface of MoSe2 nanosheets and are in good contact with each other without any aggregation, indicating the successful preparation of the TiO2/MoSe2 composite. The SEM image of MoSe2 is shown in Figure 2b, where the MoSe2 exhibits irregular and fragmented sheet-like structures due to ultrasonic treatment. Figure 2a shows SEM images of TiO2 nanoparticles, confirming the successful preparation of the TiO2 material. The HRTEM image of the TiO2/MoSe2 composite in Figure 2d reveals lattice fringes. From the image, the TiO2 (101) plane corresponds to a lattice spacing of 0.353 nm, while the MoSe2 lattice spacing is 0.65 nm, corresponding to the (002) plane [29].
Figure 2.
SEM images of (a) TiO2 nanocomposite and (b) MoSe2 nanocomposite; (c) TEM images of TiO2/MoSe2 nanocomposite; (d) HRTEM images of TiO2/MoSe2 nanocomposite.
The crystal surfaces of TiO2, MoSe2, and TiO2/MoSe2 nanomaterials were characterized by XRD. Figure 3a describes the XRD patterns of the TiO2, MoSe2, and TiO2/MoSe2 nanomaterials in the scanning range of 10–70°. In the XRD pattern of TiO2, characteristic peaks appeared at 25.26°, 37.65°, 47.95°, 53.74°, 54.87°, 62.91°, 68.85°, 70.14°, and 74.96°, which were indexed to (101), (004), (200), (105), (211), (204), (116), (220), and (215), which is coincident with the standard card (JCPDS card No. 89-4921) [30]. The diffraction peaks of MoSe2 nanomaterials at 2θ are 13.20°, 25.26°, 31.85°, 37.65°, 55.99°, and 65.65°, corresponding to the (002), (004), (100), (103), (110), and (200) crystal planes, respectively. The obtained XRD pattern conforms to the standard card (JPCDS card No. 29-0914) [31]. The XRD patterns of the TiO2/MoSe2 composites show the diffraction peaks of the MoSe2 and TiO2 nanomaterials, which indicates the successful synthesis of TiO2/MoSe2 composites. In addition, there are no additional diffraction peaks observed in the XRD pattern, which indicates that there are no impurities in the prepared composite samples.
Figure 3.
(a) XRD patterns of TiO2/MoSe2, TiO2, and MoSe2 nanocomposites; XPS spectra of TiO2/MoSe2 nanocomposite: (b) survey spectrum, (c) Ti 2p, (d) O 1s, (e) Mo 4d, and (f) Se 3d.
The elemental composition and valence states of the TiO2/MoSe2 composite samples were further determined by XPS. For the XPS data analysis of the TiO2/MoSe2 composite material, we performed the fitting using version 5.9 of the Avantage software, employing Gaussian–Lorentzian line shape fitting and Shirley background subtraction methods, as shown in Figure 3b–f. Figure 3b shows the total spectrum of TiO2/MoSe2 composites, indicating that there are Ti, O, Mo, and Se elements in the composites. Figure 3c shows the XPS spectrum of Ti 2p. The characteristic peaks at 458.01 eV and 463.71 eV are caused by Ti 2p3/2 and Ti 2p1/2 in TiO2. For the XPS spectrum of O 1s (Figure 3d), the characteristic peak at 531.26 eV is attributed to the adsorbed oxygen (Oads) formed on the sensitive material’s surface, while the characteristic peak at 529.71 eV is caused by lattice oxygen (Olattice) in TiO2 [30]. Figure 3e shows the XPS spectrum of Mo 3d, whose characteristic peaks can be observed at 229.01 eV and 232.25 eV due to the presence of Mo 3d3/2 and Mo 3d5/2 in Mo4+. In Figure 3f, there are two significant characteristic peaks in the XPS spectrum of Se 3d. The characteristic peak at 54.77 eV corresponds to Se 3d5/2, while the characteristic peak at 56.07 eV corresponds to Se 3d3/2 [32].
3.2. SO2 Sensing Properties
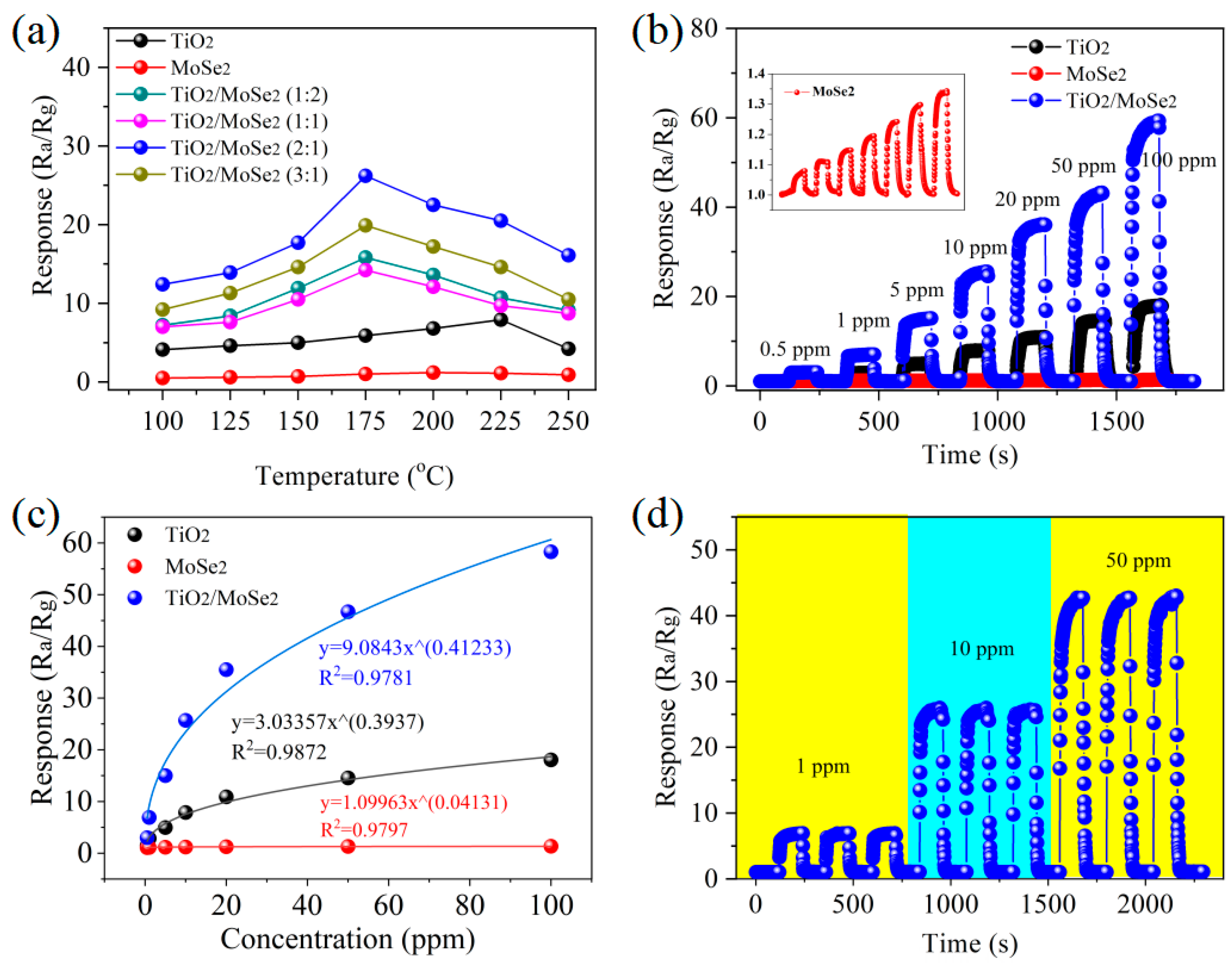
Gas sensors with diverse volume-doping proportions differ greatly at disparate test temperatures. Several groups of experiments are conducted to study the performances of each sensor. First, TiO2, MoSe2, and TiO2/MoSe2 (1:2, 1:1, 2:1, and 3:1) composites sensors with different volume-doping ratios were prepared. When the test environment is selected as 10 ppm SO2, it can be found that the TiO2/MoSe2 (2:1) sensor has the highest response. Meanwhile, the operating temperature also exerts a significant influence on the performance of the sensor. With the increase in the test temperature, the response of the sensor experiences an increase followed by a decrease. The TiO2/MoSe2 (2:1) sensor has the highest response at each working temperature, so the sensor with this doping ratio is selected for the study of gas-sensitive performance. The optimal working temperature is 175 °C, as shown in Figure 4a. The TiO2/MoSe2 (2:1) composite exhibits optimal response at 175 °C, primarily attributed to the synergistic interaction between the two materials. TiO2, as a wide-bandgap semiconductor, possesses excellent charge separation characteristics, while MoSe2, with its high electronic conductivity, facilitates efficient charge transfer. The interaction between TiO2 and MoSe2 effectively reduces charge recombination, thereby enhancing the sensor performance. Moreover, the combination of TiO2 and MoSe2 increases the specific surface area of the composite, exposing more active sites and enhancing the interaction with gas molecules. Additionally, MoSe2 acts as a catalyst, promoting gas reactions, while TiO2 provides a stable matrix, ensuring the long-term stability of the material. The electronic properties of the composite are also optimized, forming a favorable heterojunction that further improves the gas-sensing performance. Figure 4b reveals the response of the TiO2, MoSe2, and TiO2/MoSe2 sensors in SO2 gas with different concentrations. The response of the TiO2/MoSe2 sensor is drastically higher than that for the TiO2 and MoSe2 sensors. The TiO2/MoSe2 sensor responds up to 59 to 100 ppm SO2, which is 45 times better than the MoSe2 sensor. It can also be observed in Figure 4b that the MoSe2 material sensor, although exhibiting different responses in various concentrations of SO2 gas, shows only minor changes in the response values, with no significant differences. Figure 4c illustrates the fitting relationship between the response value (y) of the TiO2, MoSe2, and TiO2/MoSe2 sensors and the gas concentration (x), corresponding to y = 3.03357x0.3937, y = 1.09963x0.04131, and y = 9.0843x0.41233, respectively. Among them, the fitting coefficient of the TiO2/MoSe2 sensor is 0.9781, indicating that the curve has a high degree of fitting. Moreover, the response of the TiO2/MoSe2 sensor in 1, 10, and 50 ppm SO2 gas environments were tested. As shown in Figure 4d, the numerical response does not change much in the three repeated cycles, and the error remained within 1–2%, showing that the sensor has good repetition performance. The detection limit (dl) of the TiO2/MoSe2 sensor is evaluated using the formula 3[SO2]/((R − R0)/σ) [33], where σ represents the fluctuation in the electrical signal. The detection limit of the TiO2/MoSe2 sensor is calculated to be 0.25 ppm.
Figure 4.
(a) The responses of the TiO2/MoSe2 sensor with different volume ratios to 10 ppm SO2 at various temperatures; (b) SO2 gas-sensing response toward different concentrations; (c) fitting curves of TiO2, MoSe2, and TiO2/MoSe2 sensors with different SO2 concentrations; (d) repeatability of the TiO2/MoSe2 sensor.
The response/recovery characteristics are an important indicator in weighing the usefulness of gas sensors. The gas sensor underwent switching between air and gas environments with different concentrations of SO2 to calibrate its recovery and response ability. As shown in Figure 5a, the TiO2/MoSe2 sensor was placed in 0.5, 1, 5, 10, 20, 50, and 100 ppm SO2 to test its response/recovery characteristics. From this, one can infer that the TiO2/MoSe2 sensor can basically recover to its initial resistance value in an air environment. And, the sensor has an obvious response gap in different concentrations of SO2, showing that the sensor has excellent response/recovery characteristics. Figure 5b shows the response/recovery time of the gas sensor. The fast response of the sensor can effectively avoid the harm of toxic and harmful gases. The TiO2/MoSe2 sensor has a response time of 15 s and a recovery time of 13 s for 100 ppm SO2. Compared to 24 s/32 s for the TiO2 sensor, the response time and recovery time for the composite sensor is reduced. The results show that the synergy effect between two diverse materials improves the performance of the composite sensor. Figure 5c shows the response of the TiO2/MoSe2 sensor to the target gas and the interfering gas. It is tested under 20 ppm of different gas environments, such as formaldehyde (HCHO), methane (CH4), hydrogen (H2), hydrogen sulfide (H2S), and ethanol (C2H6O). SO2 is a common harmful gas typically found in industrial emissions and vehicle exhaust. In environments such as power plants, petrochemical factories, and urban areas with heavy traffic, SO2 often coexists with other gases, including formaldehyde (HCHO), methane (CH4), ethanol (C2H6O), hydrogen (H2), and hydrogen sulfide (H2S). Therefore, when investigating the selectivity of the sensor, we selected these interfering gases for comparison with SO2. It can be found that the response of the TiO2/MoSe2 sensor to the target gas is much higher than that of the interference gas, which is seven times the interference gas response. SO2 molecules possess a high electron affinity, which facilitates their ability to accept electrons when interacting with the TiO2/MoSe2 sensor surface, thereby enhancing the adsorption and activation of SO2. The heterojunction structure of the TiO2/MoSe2 composite promotes efficient charge transfer and provides favorable adsorption sites, leading to a significant interaction between SO2 and the sensor surface, resulting in a stronger sensor response. Compared to other gases, the difference in electron affinity of SO2 enables the sensor to exhibit higher selectivity and sensitivity toward SO2, while effectively resisting interference from gases such as HCHO, CH4, H2, H2S, and C2H6O. As shown in Figure 5d, the response of the TiO2/MoSe2 sensor to SO2 gas with different concentrations within 50 days was tested. The response numerical of the sensor at the same concentration showed no obvious change trend, indicating that the long-term stability of the TiO2/MoSe2 sensor was good.
Figure 5.
(a) Real-time response of TiO2/MoSe2 sensor upon 0.5–100 ppm SO2; (b) response and recovery time of TiO2 and TiO2/MoSe2 sensors to 100 ppm SO2; (c) selectivity and (d) stability of the TiO2/MoSe2 sensor.
Table 1 shows the performance comparison between the TiO2/MoSe2 sensor and the reported SO2 gas sensor, such as their preparation methods, response/recovery times, optimal operating temperatures, and response values [34,35,36,37]. The SO2 gas sensor based on the TiO2/MoSe2 composite has better sensing performance than other SO2 gas sensors.
Table 1.
Performance comparison of this work with the reported SO2 sensors.
3.3. Sensing Mechanism of SO2
Based on the gas-sensitive property test results of the TiO2/MoSe2 sensor, it has an outstanding gas-sensitive response to SO2. Figure 6 shows the 3D schematic of the TiO2/MoSe2 composite sensor’s gas sensitive mechanism and energy band structure. Figure 6a shows the 3D diagram of the TiO2/MoSe2 sensor in an air environment and SO2 gas, which mainly describes the molecular changes in the TiO2/MoSe2 sensor in the response process. In air, O2 is very easily adsorbed on the surface of TiO2- and MoSe2-sensitive materials to become adsorbed oxygen. At the optimum working temperature of 175 °C, the adsorbed oxygen on the surface of sensitive materials will form O−. When the sensor is switched from an air environment to SO2, SO2 molecules will combine with O− to produce a reaction, forming some electrons and SO3 gas molecules. The above reaction can be reduced to the following formula [38]:
O2(gas)→O2(ads)
O2(ads) + 2e−→2O−
SO2 + O−→SO3 + e−
Figure 6.
(a) Illustration of the TiO2/MoSe2 sensor-sensing mechanism; energy band structure of the TiO2/MoSe2 sensor (b) in air and (c) in SO2.
Compared with a TiO2 gas sensor, the performance of the TiO2/MoSe2 sensor has improved a lot. The performance improvement can be summarized as follows. First, as shown in the band structure diagram of Figure 6b,c, the n-n heterojunction will be composed between TiO2 and MoSe2. The work function of TiO2 is 4.3 eV and that of MoSe2 is 5.1 eV. When materials with different work functions contact each other, electron transfer will be generated [39]. Therefore, when the sensitive material TiO2 is in contact with MoSe2, electrons will flow from TiO2 with high Fermi level to MoSe2, so that the Fermi level reaches equilibrium, forming an electron depletion layer at TiO2 and an electron accumulation layer at MoSe2. When the TiO2/MoSe2 sensor is placed in an air environment, the adsorbed oxygen on the surface of the sensitive material can further obtain its electrons and generate O− [40], which widens the electron depletion layer at the sensitive material TiO2, thus increasing the resistance of the sensor and leaving it in a state of high resistance. When the TiO2/MoSe2 sensor is converted from the air environment to SO2, SO2 will combine with O− on the surface of the sensitive material, releasing some electrons, which will return to the sensitive material, narrowing the depletion layer and reducing the resistance of the gas sensor in this process. The existence of a heterojunction between MoSe2 and TiO2 speeds up the rate of electron transfer and shortens the response/recovery time. Moreover, the presence of a heterojunction will reduce the resistance base value of the composite sensor and cause a large change in the resistance value in the response process, thus improving the performance of the TiO2/MoSe2 sensor [41]. Second, according to the various characterizations above, TiO2 in the sensitive film had good contact with MoSe2, and TiO2 nanospheres were evenly scattered among the surface of MoSe2. The unique nanostructure of the spherical and sheet composite not only reduces the agglomeration of the sensitive material itself but also has more gas adsorption sites and diffusion channels, which improves the sensing properties of the TiO2/MoSe2 sensor towards SO2 gas.
4. Conclusions
In conclusion, micro-spheroidal TiO2 and MoSe2 nanosheets were synthesized via a hydrothermal method, and TiO2/MoSe2 nanofilms were subsequently used for SO2 gas sensing. The morphology of the materials was characterized by SEM, while TEM, XRD, and XPS confirmed the lattice structure, crystallinity, and elemental and valence states of TiO2/MoSe2, respectively. The TiO2/MoSe2 sensor demonstrated excellent sensitivity to SO2 (59.3% at 100 ppm), with fast and reversible response. Additionally, the sensor exhibited strong selectivity for SO2, as well as good repeatability and long-term stability. The enhanced gas-sensing performance of the composite sensor can be attributed to the formation of an n-n heterojunction; effective material contact; and the sheet-like structure, which provides numerous bonding sites for gas molecules. Therefore, the SO2 sensor developed in this study shows promising potential for future applications in environmental monitoring.
Author Contributions
Conceptualization, C.N.; Methodology, D.Z.; Software, H.Z.; Validation, T.W.; Formal analysis, G.J.; Investigation, L.Z., C.N., H.Z. and G.J.; Data curation, L.Z. and T.W.; Writing—original draft, L.Z.; Writing—review & editing, D.Z.; Visualization, C.N.; Project administration, D.Z.; Funding acquisition, D.Z. All authors have read and agreed to the published version of the manuscript.
Funding
This research was funded by the National Natural Science Foundation of China (52475580); the Special Foundation of the Taishan Scholar Project (tsqn202211077); the Shandong Provincial Natural Science Foundation (ZR2023ME118); the Natural Science Foundation of Qingdao City (23-2-1-219-zyyd-jch); the Open Project of State Key Laboratory of Chemical Safety (SKLCS-2024020); the Fundamental Research Funds for the Central Universities (No. 24CX02014A); and the Fund of State Key Laboratory of Deep Oil and Gas, China University of Petroleum (East China).
Data Availability Statement
Data are contained within the article.
Conflicts of Interest
The authors declare no competing financial interest.
References
- Velasco, R.P.; Jarosińska, D. Update of the WHO global air quality guidelines: Systematic reviews—An introduction. Environ. Int. 2022, 170, 107556. [Google Scholar] [CrossRef] [PubMed]
- Feng, Q.X.; Huang, B.Y.; Li, X.G. Graphene-Based heterostructure composite sensing materials for detection of nitrogen-containing. Adv. Funct. Mater. 2021, 31, 2104058. [Google Scholar] [CrossRef]
- Campbell-Lendrum, D.; Prüss-Ustün, A. Climate change, air pollution and noncommunicable diseases. Bull. World Health Organ. 2019, 97, 160–161. [Google Scholar] [CrossRef]
- Chen, J.; Hoek, G. Long-term exposure to PM and all-cause and cause-specific mortality: A systematic review and meta-analysis. Environ. Int. 2020, 143, 105974. [Google Scholar] [CrossRef]
- Jia, X.; Qiao, P.; Wang, X.; Yan, M.; Chen, Y.; An, B.-L.; Hu, P.; Lu, B.; Xu, J.; Xue, Z.; et al. Building feedback-regulation system through atomic design for highly active SO2 sensing. Nano-Micro Lett. 2024, 16, 136. [Google Scholar] [CrossRef] [PubMed]
- Hou, Y.; Chen, Y.; He, X.; Wang, F.; Cai, Q.; Shen, B. Insights into the adsorption of CO2, SO2 and NOx in flue gas by carbon materials: A critical review. Chem. Eng. J. 2024, 490, 151424. [Google Scholar] [CrossRef]
- Orellano, P.; Reynoso, J.; Quaranta, N. Short-term exposure to sulphur dioxide (SO2) and all-cause and respiratory mortality: A systematic review and meta-analysis. Environ. Int. 2021, 150, 106434. [Google Scholar] [CrossRef] [PubMed]
- Gang, S.-Q.; Liu, Z.-Y.; Wu, S.-X.; Yang, S.; Wang, R.; Du, J.-L. A stable Zr(IV)-MOF for efficient removal of trace SO2 from flue gas in dry and humid conditions. J. Hazard. Mater. 2024, 470, 134180. [Google Scholar] [CrossRef]
- Liu, Y.; Xu, X.; Chen, Y.; Zhang, Y.; Gao, X.G.; Xu, P.C.; Li, X.X.; Fang, J.H.; Wen, W.J. An integrated micro-chip with Ru/Al2O3/ZnO as sensing material for SO2 detection. Sens. Actuators B Chem. 2018, 262, 26–342. [Google Scholar] [CrossRef]
- Guan, L.; Chen, Z.; Liu, Y.; Wang, R.; Yan, K.; Xu, Z.; Li, J.; Liu, Z.; Li, J.; Liu, H. Engineering sulfur-rich MoS2 adsorbent with abundant unsaturated coordination sulfur sites for gaseous mercury capture from high-concentration SO2 smelting flue gas. Chem. Eng. J. 2024, 483, 149122. [Google Scholar] [CrossRef]
- Xu, H.Y.; Li, J.Z.; Li, P.D.; Shi, J.J.; Gao, X.W.; Luo, W.B. Highly efficient SO2 sensing by light-assisted Ag/PANI/SnO2 at room temperature and the sensing mechanism. ACS Appl. Mater. Interfaces 2021, 13, 49194–49205. [Google Scholar] [CrossRef] [PubMed]
- Zhang, D.; Sun, Y.; Wang, Z.; Liu, F.; Zhang, X. Switchable biomimetic nanochannels for on-demand SO2 detection by light-controlled photochromism. Nat. Commun. 2023, 14, 1901. [Google Scholar] [CrossRef] [PubMed]
- Wang, D.; Han, C.; Zheng, C.; Fang, H.; Xu, D.; Zhao, H. Fabrication of a ppb-level NO2 gas sensor by sensitizing nanobundles assembled by In2O3 nanotubes with TiO2 quantum dots. Sens. Actuators B Chem. 2023, 387, 133833. [Google Scholar] [CrossRef]
- Wang, Z.; Zhang, D.; Tang, M.; Chen, Q.; Zhang, H.; Shao, X. Construction of ultra-fast hydrogen sensor for dissolved gas detection in oil-immersed transformers based on titanium dioxide quantum dots modified tin dioxide nanosheets. Sens. Actuators B Chem. 2023, 393, 134141. [Google Scholar] [CrossRef]
- Zhang, H.; Zhang, D.; Yang, Y.; Zhou, L.; Liu, Y.; Liu, W.; Sun, Y.; Guo, Y.; Ji, Y. Eco-friendly triboelectric nanogenerator for self-powering stacked In2O3 nanosheets/PPy nanoparticles-based NO2 gas sensor. Nano Energy 2024, 128, 109978. [Google Scholar] [CrossRef]
- Zhang, H.; Zhang, X.; Qiu, C.; Jia, P.; An, F.; Zhou, L.; Zhu, L.; Zhang, D. Polyaniline/ZnO heterostructure-based ammonia sensor self-powered by electrospinning of PTFE-PVDF/MXene piezo-tribo hybrid nanogenerator. Chem. Eng. J. 2024, 496, 154226. [Google Scholar] [CrossRef]
- Liu, C.; Zou, Q.-Q.; Liu, B.; Zhang, Y. A visible-light-assisted Pd/TiO2 gas sensor with carbon nanotubes electrodes for trace formaldehyde detection. Rare Met. 2024, 43, 257–266. [Google Scholar] [CrossRef]
- Tasyurek, L.B.; Isik, E.; Isik, I.; Kilinc, N. Enhancing the performance of TiO2 nanotube-based hydrogen sensors through crystal structure and metal electrode. Int. J. Hydrogen Energy 2024, 54, 678–690. [Google Scholar] [CrossRef]
- Zhang, R.; Hu, D.; Fu, Y.; Feng, Q.; Mu, C.; Gao, K.; Ma, H.; Liu, M.; Zhang, M. Triazine-based multicomponent metallacages with tunable structures for SO2 selective capture and conversion. Aggregate 2023, 5, e408. [Google Scholar] [CrossRef]
- Shooshtari, M.; Salehi, A.; Vollebregt, S. Effect of temperature and humidity on the sensing performance of TiO2 nanowire-based ethanol vapor sensors. Nanotechnology 2021, 32, 325501. [Google Scholar] [CrossRef]
- Zeng, S.M.; Zhang, Y.; Zhang, Y.; Li, Y.I.; Tang, C.G.; Li, K.; Sun, J.Y.; Deng, T. A novel room temperature SO2 gas sensor based on TiO2/rGO buried-gate FET. Microelectron. Eng. 2022, 263, 111841. [Google Scholar] [CrossRef]
- Thangamani, G.; Pasha, S. Titanium dioxide (TiO2) nanoparticles reinforced polyvinyl formal (PVF) nanocomposites as chemiresistive gas sensor for sulfur dioxide (SO2) monitoring. Chemosphere 2021, 25, 129960. [Google Scholar] [CrossRef] [PubMed]
- He, Z.-K.; Zhao, J.; Li, K.; Zhao, J.; He, H.; Gao, Z.; Song, Y.-Y. Rational integration of SnMOF/SnO2 hybrid on TiO2 nanotube arrays: An effective strategy for accelerating formaldehyde sensing performance at room temperature. ACS Sens. 2023, 8, 4189–4197. [Google Scholar] [CrossRef]
- Jiang, B.; Wang, T.; Li, F.; Li, D.; Yang, Y.; Yu, H.; Dong, X. Polyoxometalate as pivotal interface in SnO2@PW12@TiO2 coaxial nanofibers: From heterojunction design to photocatalytic and gas sensing applications. Sens. Actuators B Chem. 2023, 390, 133928. [Google Scholar] [CrossRef]
- Qiu, P.; Qin, Y.; Xia, Q. Ultrasensitive gas sensor developed from SnS/TiO2-based memristor for dilute methanol detection at room temperature. Sens. Actuators B Chem. 2023, 392, 134038. [Google Scholar] [CrossRef]
- Kumar, S.; Mirzaei, A.; Kumar, A.; Lee, M.H.; Ghahremani, Z.; Kim, T.-U.; Kim, J.-Y.; Kwoka, M.; Kumar, M.; Kim, S.S.; et al. Nanoparticles anchored strategy to develop 2D MoS2 and MoSe2 based room temperature chemiresistive gas sensors. Coord. Chem. Rev. 2024, 503, 215657. [Google Scholar] [CrossRef]
- Pan, W.; Zhang, Y.; Yu, S.; Liu, X.; Zhang, D. Hydrogen sulfide gas sensing properties of metal organic framework-derived α-Fe2O3 hollow nanospheres decorated with MoSe2 nanoflowers. Sens. Actuators B Chem. 2021, 344, 130221. [Google Scholar] [CrossRef]
- Liu, X.; Wang, J.; Zhang, Y.; Zhang, D. Hydrogen sulfide gas sensing characteristics based on copper oxide/molybdenum diselenide heterojunction. J. Alloys Compd. 2023, 963, 171197. [Google Scholar] [CrossRef]
- Zhang, D.; Wang, M.; Zhang, W.; Li, Q. Flexible humidity sensing and portable applications based on MoSe2 nanoflowers/copper tungstate nanoparticles. Sens. Actuators B Chem. 2020, 304, 127234. [Google Scholar] [CrossRef]
- Sun, X.; Lan, Q.; Geng, J.; Yu, M.; Li, Y.; Li, X.; Chen, L. Polyoxometalate as electron acceptor in dye/TiO2 films to accelerate room-temperature NO2 gas sensing. Sens. Actuators B Chem. 2023, 374, 132795. [Google Scholar] [CrossRef]
- Singh, S.; Deb, J.; Singh, J.V.; Sarkar, U.; Sharma, S. Highly selective ethyl mercaptan sensing using a MoSe2/SnO2 composite at room temperature. ACS Appl. Mater. Interfaces 2022, 14, 23916–23927. [Google Scholar] [CrossRef]
- Singh, S.; Deb, J.; Kumar, S.; Sarkar, U.; Sharma, S. Selective N, N-dimethylformamide vapor sensing using MoSe2/Multiwalled carbon nanotube composites at room temperature. ACS Appl. Nano Mater. 2022, 5, 3913–3924. [Google Scholar] [CrossRef]
- Freddi, S.; Marzuoli, C.; Pagliara, S.; Drera, G.; Sangaletti, L. Targeting biomarkers in the gas phase through a chemoresistive electronic nose based on graphene functionalized with metal phthalocyanines. RSC Adv. 2023, 13, 251–263. [Google Scholar] [CrossRef]
- Liu, L.; Zhou, P.; Su, X.; Liu, Y.; Sun, Y.; Yang, H.; Fu, H.; Qu, X.; Liu, S.; Zheng, S. Synergistic Ni single atoms and oxygen vacancies on SnO2 nanorods toward promoting SO2 gas sensing. Sens. Actuators B Chem. 2022, 351, 130983. [Google Scholar] [CrossRef]
- He, X.; Ying, Z.; Wen, F.; Li, L.; Zheng, X.; Zheng, P.; Wang, G. MoS2-doped spherical SnO2 for SO2 sensing under UV light at room temperature. Mater. Sci. Semicond. Process. 2021, 134, 105997. [Google Scholar] [CrossRef]
- Khan, M.A.H.; Thomson, B.; Yu, J.; Debnath, R.; Motayed, A.; Rao, M.V. Scalable metal oxide functionalized GaN nanowire for precise SO2 detection. Sens. Actuators B Chem. 2020, 318, 128223. [Google Scholar] [CrossRef]
- Fu, Y.; Li, J.; Xu, H. SnO2 recycled from tin slime for enhanced SO2 sensing properties by NiO surface decoration. Mater. Sci. Semicond. Process. 2020, 114, 105073. [Google Scholar] [CrossRef]
- Li, A.; Zhao, S.; Bai, J.; Gao, S.; Wei, D.; Shen, Y.; Yuan, Z.; Meng, F. Optimal construction and gas sensing properties of SnO2@TiO2 heterostructured nanorods. Sens. Actuators B Chem. 2022, 355, 131261. [Google Scholar] [CrossRef]
- Wu, K.D.; Chai, H.F.; Xu, K.C.; Debliquy, M.; Zhang, C. Effect of {010} crystal facets of Bi2MoO6 and 1D/2D heterostructures for conductometric room temperature NH3 gas sensors. Sens. Actuators B Chem. 2023, 376, 132983. [Google Scholar] [CrossRef]
- Kumar, U.; Yang, Y.-H.; Deng, Z.-Y.; Lee, M.-W.; Huang, W.-M.; Wu, C.-H. In situ growth of ternary metal sulfide based quantum dots to detect dual gas at extremely low levels with theoretical investigations. Sens. Actuators B Chem. 2022, 353, 131192. [Google Scholar] [CrossRef]
- Fan, G.; Nie, L.; Wang, H.; Zhang, L.; Chai, S.; Wang, A.; Guan, J.; Han, N.; Chen, Y. Ce doped SnO/SnO2 heterojunctions for highly formaldehyde gas sensing at low temperature. Sens. Actuators B Chem. 2022, 373, 132640. [Google Scholar] [CrossRef]
Disclaimer/Publisher’s Note: The statements, opinions and data contained in all publications are solely those of the individual author(s) and contributor(s) and not of MDPI and/or the editor(s). MDPI and/or the editor(s) disclaim responsibility for any injury to people or property resulting from any ideas, methods, instructions or products referred to in the content. |
© 2024 by the authors. Licensee MDPI, Basel, Switzerland. This article is an open access article distributed under the terms and conditions of the Creative Commons Attribution (CC BY) license (https://creativecommons.org/licenses/by/4.0/).





