Enhancement of ZT in Bi0.5Sb1.5Te3 Thin Film through Lattice Orientation Management
Abstract
1. Introduction
2. Materials and Methods
2.1. Preparation of the Bulk BST Sputtering Target
2.2. Film Deposition and Annealing
2.3. Film Characterizations
2.4. Thermal Conductivity Measurements Using the 3ω Technique
3. Results and Discussion
3.1. Film Growth Process and Structural Characterization
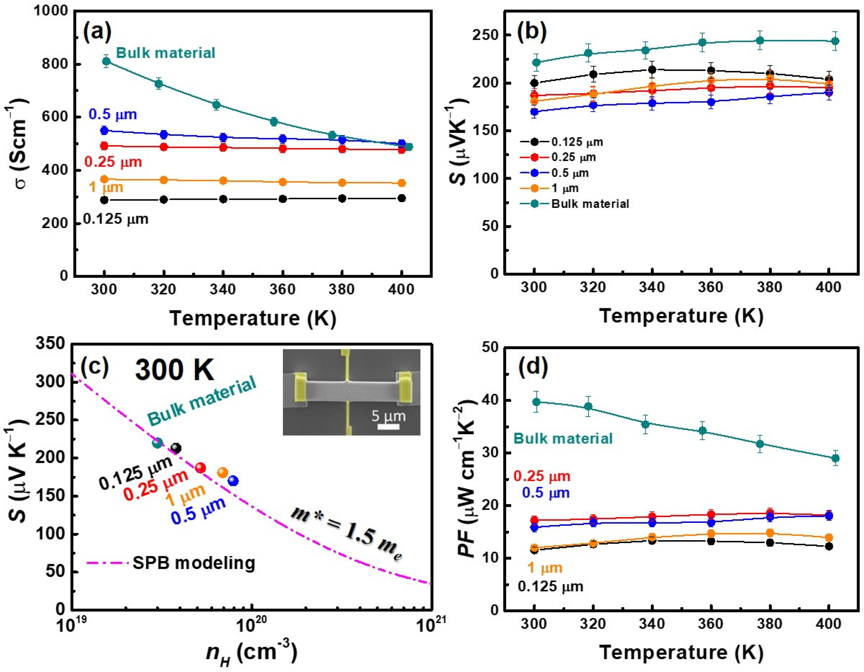
3.2. Electrical Conductivity and Seebeck Coefficient Measurements
3.3. Thermal Conductivity Measurements of Film
3.4. Microstructures and Thermoelectric ZT of Films
4. Conclusions
Author Contributions
Funding
Data Availability Statement
Acknowledgments
Conflicts of Interest
References
- Suarez, F.; Nozariasbmarz, A.; Vashaee, D.; Ozturk, M.C. Designing thermoelectric generators for self-powered wearable electronics. Energy Environ. Sci. 2016, 9, 2099–2113. [Google Scholar] [CrossRef]
- Hou, S.H.; Liu, Y.J.; Luo, Y.; Wang, X.D.; Yin, L.; Sun, X.Y.; Wu, Z.X.; Wang, J.; Li, M.C.; Chen, Z.Y.; et al. High-performance, thin-film thermoelectric generator with self-healing ability for body-heat harvesting. Cell Rep. Phys. Sci. 2022, 3, 101146. [Google Scholar] [CrossRef]
- Han, Y.; Wei, H.X.; Du, Y.J.; Li, Z.G.; Feng, S.P.; Huang, B.L.; Xu, D.Y. Ultrasensitive flexible thermal sensor arrays based on high-thermopower ionic thermoelectric hydrogel. Adv. Sci. 2023, 10, 2302685. [Google Scholar] [CrossRef] [PubMed]
- Liu, J.; Liu, Q.T.; Lin, S.P.; Leung, M.Y.; Ma, Y.; Tao, X.M. Wearable thermoelectric generators: Materials, structures, fabrications, and applications. Phys. Status Solidi (RRL)–Rapid Res. Lett. 2023, 17, 2200502. [Google Scholar] [CrossRef]
- Snyder, G.J.; Toberer, E.S. Complex thermoelectric materials. Nat. Mater. 2008, 7, 105–114. [Google Scholar] [CrossRef] [PubMed]
- Zhu, T.J.; Liu, Y.T.; Fu, C.G.; Heremans, J.P.; Snyder, J.G.; Zhao, X.B. Compromise and synergy in high-efficiency thermoelectric materials. Adv. Mater. 2017, 29, 1605884. [Google Scholar] [CrossRef]
- Jin, Q.; Jiang, S.; Zhao, Y.; Wang, D.; Qiu, J.H.; Tang, D.M.; Tan, J.; Sun, D.M.; Hou, P.X.; Chen, X.Q.; et al. Flexible layer-structured Bi2Te3 thermoelectric on a carbon nanotube scaffold. Nat. Mater. 2019, 18, 62–68. [Google Scholar] [CrossRef] [PubMed]
- Chen, C.L.; Wang, T.H.; Yu, Z.G.; Hutabalian, Y.; Vankayala, R.K.; Chen, C.C.; Hsieh, W.P.; Jeng, H.T.; Wei, D.H.; Chen, Y.Y. Modulation Doping Enables Ultrahigh Power Factor and Thermoelectric ZT in n-Type Bi2Te2.7Se0.3. Adv. Sci. 2022, 9, 2201353. [Google Scholar] [CrossRef]
- Kim, S.I.; Lee, K.H.; Mun, H.A.; Kim, H.S.; Hwang, S.W.; Roh, J.W.; Yang, D.J.; Shin, W.H.; Li, X.S.; Lee, Y.H.; et al. Dense dislocation arrays embedded in grain boundaries for high-performance bulk thermoelectrics. Science 2015, 348, 109–114. Available online: https://www.science.org/doi/10.1126/science.aaa4166 (accessed on 3 April 2015). [CrossRef]
- Schumacher, C.; Reinsberg, K.G.; Rostek, R.; Akinsinde, L.; Baessler, S.; Zastrow, S.; Rampelberg, G.; Woias, P.; Detavernier, C.; Broekaert, J.A.C.; et al. Optimizations of pulsed plated p and n-type Bi2Te3-based ternary compounds by annealing in different ambient atmospheres. Adv. Energy Mater. 2013, 3, 95–104. [Google Scholar] [CrossRef]
- Jiang, J.; Chen, L.D.; Bai, S.Q.; Yao, Q.; Wang, Q. Thermoelectric properties of p-type (Bi2Te3)x(Sb2Te3)1−x crystals prepared via zone melting. J. Cryst. Growth 2005, 277, 258–263. [Google Scholar] [CrossRef]
- Taylor, A.; Mortensen, C.; Rostek, R.; Nguyen, N.; Johnson, D.C. vapor annealing as a post-processing technique to control carrier concentrations of Bi2Te3 thin films. J. Electron. Mater. 2010, 39, 1981–1986. [Google Scholar] [CrossRef]
- Rostek, R.; Sklyarenko, V.; Woias, P. Influence of vapor annealing on the thermoelectric properties of electrodeposited Bi2Te3. J. Mater. Res. 2011, 26, 1785–1790. [Google Scholar] [CrossRef]
- Lu, L.; Yi, W.; Zhang, D.L. 3 omega method for specific heat and thermal conductivity measurements. Rev. Sci. Instrum. 2001, 72, 2996–3003. [Google Scholar] [CrossRef]
- Li, G.; Liang, D.; Qiu, R.L.J.; Gao, X.P.A. Thermal conductivity measurement of individual Bi2Se3 nano-ribbon by self-heating three-ω method. Appl. Phys. Lett. 2013, 102, 043104. [Google Scholar] [CrossRef]
- Tan, M.; Hao, Y.; Deng, Y.; Yan, D.; Wu, Z. Tilt-structure and high-performance of hierarchical Bi1.5Sb0.5Te3 nanopillar arrays. Sci. Rep. 2018, 8, 6384. [Google Scholar] [CrossRef]
- Shen, H.; Lee, S.; Kang, J.G.; Eom, T.Y.; Lee, H.; Han, S. Thickness dependence of the electrical and thermoelectric properties of co-evaporated Sb2Te3 films. Appl. Surf. Sci. 2018, 429, 115–120. [Google Scholar] [CrossRef]
- Itagaki, N.; Nakamura, Y.; Narishige, R.; Takeda, K.; Kamataki, K.; Koga, K.; Hori, M.; Shiratani, M. Growth of single crystalline films on lattice-mismatched substrates through 3D to 2D mode transition. Sci. Rep. 2020, 10, 4669. [Google Scholar] [CrossRef]
- Pei, Y.; LaLonde, A.D.; Wang, H.; Snyder, G.J. Low effective mass leading to high thermoelectric performance. Energy Environ. Sci. 2012, 5, 7963–7969. [Google Scholar] [CrossRef]
- Cahill, D.G. Thermal-conductivity measurement from 30-K to 750-K—The 3-omega method. Rev. Sci. Instrum. 1990, 61, 802–808. [Google Scholar] [CrossRef]
- Lee, P.C.; Chen, H.C.; Tseng, C.M.; Lai, W.C.; Lee, C.H.; Chang, C.S.; Chen, Y.Y. Thermoelectric Properties of an individual Bi1.75Sb0.25Te2.02 nanowire. Chin. J. Phys. 2013, 51, 854–861. [Google Scholar] [CrossRef]
- Rocci, M.; Demontis, V.; Prete, D.; Ercolani, D.; Sorba, L.; Beltram, F.; Pennelli, G.; Roddaro, S.; Rossella, F. Suspended InAs nanowire-based devices for thermal conductivity measurement using the 3 method. J. Mater. Eng. Perform. 2018, 27, 6299–6305. [Google Scholar] [CrossRef]
- Lee, K.M.; Choi, T.Y.; Lee, S.K.; Poulikakos, D. Focused ion beam-assisted manipulation of single and double beta-SiC nanowires and their thermal conductivity measurements by the four-point-probe 3-omega method. Nanotechnology 2010, 21, 125301. [Google Scholar] [CrossRef] [PubMed]
- Ou, M.N.; Harutyunyan, S.R.; Lai, S.J.; Chen, C.D.; Yang, T.J.; Chen, Y.Y. Thermal and electrical transport properties of a single nickel nanowire. Phys. Status Solidi (B) 2007, 244, 4512–4517. [Google Scholar] [CrossRef]
- Asai, J.; Bumrungpon, M.; Tsubochi, T.; Kanaya, T.; Tachii, M.; Maeda, T.; Iwamoto, T.; Kanda, C.; Hasezaki, K. Experimental estimation of the Lorenz number and scattering parameter for p-type bismuth antimony telluride via multiple doping under constant temperature conditions. Ceram. Int. 2022, 48, 12520–12528. [Google Scholar] [CrossRef]
- Mizuno, H.; Mossa, S.; Barrat, J.L. Beating the amorphous limit in thermal conductivity by superlattices design. Sci. Rep. 2015, 5, 14116. [Google Scholar] [CrossRef]
- Zhang, H.Y.; Wen, H.H.; Liu, Z.W.; Zhang, Q.; Xie, H.M. TEM nano-Moire evaluation for an invisible lattice structure near the grain interface. Nanoscale 2017, 9, 15923–15933. [Google Scholar] [CrossRef] [PubMed]
- Lwin, M.L.; Dharmaiah, P.; Yoon, S.M.; Song, S.H.; Kim, H.S.; Lee, J.H.; Ghomashchi, R.; Hong, S.J. Correlation with the composition of the different parts of Bi0.5Sb1.5Te3 sintered bulks and their thermoelectric characteristics. J. Alloys Compd. 2020, 845, 156114. [Google Scholar] [CrossRef]
- Choi, H.; Kim, S.J.; Kim, Y.; We, J.H.; Oh, M.W.; Cho, B.J. Enhanced thermoelectric properties of screen-printed Bi0.5Sb1.5Te3 and Bi2Te2.7Se0.3 thick films using a post annealing process with mechanical pressure. J. Mater. Chem. C 2017, 5, 8559–8565. [Google Scholar] [CrossRef]
- Park, N.W.; Lee, W.Y.; Yoon, Y.S.; Kim, G.S.; Yoon, Y.G.; Lee, S.K. Achieving out-of-plane thermoelectric figure of merit ZT = 1.44 in a p-Type Bi2Te3/Bi0.5Sb1.5Te3 Superlattice Film with Low Interfacial Resistance. ACS Appl. Mater. Interfaces 2019, 11, 38247–38254. [Google Scholar] [CrossRef]
- Tan, M.; Deng, Y.; Hao, Y.M. Enhanced thermoelectric properties and superlattice structure of a Bi2Te3/ZrB2 film prepared by ion-beam-assisted deposition. J. Phys. Chem. C 2013, 117, 20415–20420. [Google Scholar] [CrossRef]






Disclaimer/Publisher’s Note: The statements, opinions and data contained in all publications are solely those of the individual author(s) and contributor(s) and not of MDPI and/or the editor(s). MDPI and/or the editor(s) disclaim responsibility for any injury to people or property resulting from any ideas, methods, instructions or products referred to in the content. |
© 2024 by the authors. Licensee MDPI, Basel, Switzerland. This article is an open access article distributed under the terms and conditions of the Creative Commons Attribution (CC BY) license (https://creativecommons.org/licenses/by/4.0/).
Share and Cite
Tsai, W.-H.; Chen, C.-L.; Vankayala, R.K.; Lo, Y.-H.; Hsieh, W.-P.; Wang, T.-H.; Huang, S.-Y.; Chen, Y.-Y. Enhancement of ZT in Bi0.5Sb1.5Te3 Thin Film through Lattice Orientation Management. Nanomaterials 2024, 14, 747. https://doi.org/10.3390/nano14090747
Tsai W-H, Chen C-L, Vankayala RK, Lo Y-H, Hsieh W-P, Wang T-H, Huang S-Y, Chen Y-Y. Enhancement of ZT in Bi0.5Sb1.5Te3 Thin Film through Lattice Orientation Management. Nanomaterials. 2024; 14(9):747. https://doi.org/10.3390/nano14090747
Chicago/Turabian StyleTsai, Wei-Han, Cheng-Lung Chen, Ranganayakulu K. Vankayala, Ying-Hsiang Lo, Wen-Pin Hsieh, Te-Hsien Wang, Ssu-Yen Huang, and Yang-Yuan Chen. 2024. "Enhancement of ZT in Bi0.5Sb1.5Te3 Thin Film through Lattice Orientation Management" Nanomaterials 14, no. 9: 747. https://doi.org/10.3390/nano14090747
APA StyleTsai, W.-H., Chen, C.-L., Vankayala, R. K., Lo, Y.-H., Hsieh, W.-P., Wang, T.-H., Huang, S.-Y., & Chen, Y.-Y. (2024). Enhancement of ZT in Bi0.5Sb1.5Te3 Thin Film through Lattice Orientation Management. Nanomaterials, 14(9), 747. https://doi.org/10.3390/nano14090747

