Boosting Second Harmonic Generation Efficiency and Nonlinear Susceptibility via Metasurfaces Featuring Split-Ring Resonators and Bowtie Nanoantennas
Abstract
1. Introduction
2. Materials and Methods
3. Results
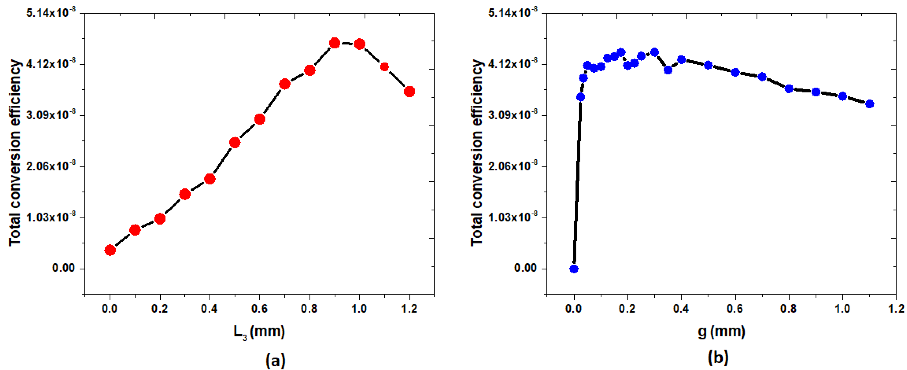
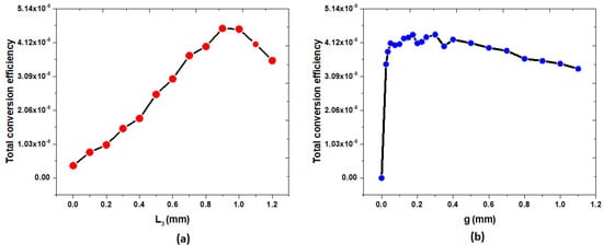
3.1. Frequency Domain Results
3.2. Time Domain Results
4. Conclusions
Funding
Data Availability Statement
Acknowledgments
Conflicts of Interest
References
- Liu, B.; Song, K.; Xiao, J. Two-Dimensional Optical Metasurfaces: From Plasmons to Dielectrics. Adv. Condens. Matter Phys. 2019, 2019, 2329168. [Google Scholar] [CrossRef]
- Long, A.; Xie, Z.; Wu, H.; Zeng, Q.; Zhong, P.; Liu, J.; Ye, H.; Fan, D.; Chen, S. Switchable optical differentiator using Fano resonance metasurface. Opt. Commun. 2024, 550, 129954. [Google Scholar] [CrossRef]
- Liu, J.; Guan, C.; Chen, H.; Liu, B.; Cheng, T.; Yang, J.; Shi, J.; Yuan, L. Dual-core optical fiber tweezers based on all-dielectric metasurface. Opt. Commun. 2023, 531, 129232. [Google Scholar] [CrossRef]
- Zhou, C.-D.; Lu, P.; Yue, Z.; Xu, J.; Teng, S. Polarization-Encoded Structured Light Generation Based on Holographic Metasurface. Plasmonics 2023, 18, 653–659. [Google Scholar] [CrossRef]
- Yao, J.; Lin, R.; Chen, M.K.; Tsai, D.P. Integrated-resonant metadevices: A review. Adv. Photonics 2023, 5, 024001. [Google Scholar] [CrossRef]
- Ullah, N.; Zhao, R.; Huang, L. Recent Advancement in Optical Metasurface: Fundament to Application. Micromachines 2022, 13, 1025. [Google Scholar] [CrossRef] [PubMed]
- Fan, Y.; Yao, J.; Tsai, D.P. Advance of large-area achromatic flat lenses. Light Sci. Appl. 2023, 12, 51. [Google Scholar] [CrossRef]
- Tang, D.; Wang, C.; Zhao, Z.; Wang, Y.; Pu, M.; Li, X.; Gao, P.; Luo, X. Ultrabroadband superoscillatory lens composed by plasmonic metasurfaces for subdiffraction light focusing. Laser Photonics Rev. 2015, 9, 713–719. [Google Scholar] [CrossRef]
- Su, V.-C.; Chu, C.H.; Sun, G.; Tsai, D.P. Advances in optical metasurfaces: Fabrication and applications [Invited]. Opt. Express 2018, 26, 13148–13182. [Google Scholar] [CrossRef] [PubMed]
- Kim, K.-H. Asymmetric Second-Harmonic Generation with High Efficiency from a Non-chiral Hybrid Bilayer Complementary Metasurface. Plasmonics 2021, 16, 77–82. [Google Scholar] [CrossRef]
- Wang, X.; Wang, X.; Xin, J.; Li, J.; Ren, Q.; Cai, H.; Lang, Y.; Lan, Z.; Jia, Y.; Jin, R.; et al. Tailoring the bound states in the multi-channel nonlinear plasmonic metasurfaces. Opt. Commun. 2023, 549, 129834. [Google Scholar] [CrossRef]
- Zheludev, N.I.; Kivshar, Y.S. From metamaterials to metadevices. Nat. Mater. 2012, 11, 917–924. [Google Scholar] [CrossRef] [PubMed]
- Neufeld, O.; Cohen, O. Optical Chirality in Nonlinear Optics: Application to High Harmonic Generation. Phys. Rev. Lett. 2018, 120, 133206. [Google Scholar] [CrossRef]
- Li, G.; Zhang, S.; Zentgraf, T. Nonlinear photonic metasurfaces. Nat. Rev. Mater. 2017, 2, 17010. [Google Scholar] [CrossRef]
- Krasnok, A.; Tymchenko, M.; Alù, A. Nonlinear metasurfaces: A paradigm shift in nonlinear optics. Mater. Today 2018, 21, 8–21. [Google Scholar] [CrossRef]
- Franken, P.A.; Hill, A.E.; Peters, C.W.; Weinreich, G. Generation of Optical Harmonics. Phys. Rev. Lett. 1961, 7, 118–119. [Google Scholar] [CrossRef]
- Chou Chau, Y.-F. Enhancing imaging capabilities with a high-sensitivity multichannel optical filter. Micro Nanostructures 2024, 186, 207732. [Google Scholar] [CrossRef]
- Chou Chau, Y.-F. Multiple-Mode Bowtie Cavities for Refractive Index and Glucose Sensors Working in Visible and Near-infrared Wavelength Ranges. Plasmonics 2021, 16, 1633–1644. [Google Scholar] [CrossRef]
- Visser, D.; Basuvalingam, S.B.; Désières, Y.; Anand, S. Optical properties and fabrication of dielectric metasurfaces based on amorphous silicon nanodisk arrays. Opt. Express 2019, 27, 5353–5367. [Google Scholar] [CrossRef] [PubMed]
- Chou Chau, Y.-F.; Lim, C.M.; Chiang, C.-Y.; Voo, N.Y.; Muhammad Idris, N.S.i.; Chai, S.U. Tunable silver-shell dielectric core nano-beads array for thin-film solar cell application. J. Nanoparticle Res. 2016, 18, 88. [Google Scholar] [CrossRef]
- Rocco, D.; Camacho Morales, R.; Xu, L.; Zilli, A.; Vinel, V.; Finazzi, M.; Celebrano, M.; Leo, G.; Rahmani, M.; Jagadish, C.; et al. Second order nonlinear frequency generation at the nanoscale in dielectric platforms. Adv. Phys. X 2022, 7, 2022992. [Google Scholar] [CrossRef]
- Yao, J.; Yin, Y.; Ye, L.; Cai, G.; Liu, Q. Enhancing third-harmonic generation by mirror-induced electric quadrupole resonance in a metal–dielectric nanostructure. Opt. Lett. 2020, 45, 5864. [Google Scholar] [CrossRef] [PubMed]
- Zubyuk, V.; Carletti, L.; Shcherbakov, M.; Kruk, S. Resonant dielectric metasurfaces in strong optical fields. APL Mater. 2021, 9, 060701. [Google Scholar] [CrossRef]
- Gonçalves, M.R.; Minassian, H.; Melikyan, A. Plasmonic resonators: Fundamental properties and applications. J. Phys. D Appl. Phys. 2020, 53, 443002. [Google Scholar] [CrossRef]
- Shaoxin, S.; Meng, L.; Zhang, Y.; Han, J.; Ma, Z.; Hu, S.; He, Y.; Li, J.; Ren, B.; Shih, T.-M.; et al. Plasmon-Enhanced Second-Harmonic Generation Nanorulers with Ultrahigh Sensitivities. Nano Lett. 2015, 15, 6716–6721. [Google Scholar] [CrossRef]
- Bonacina, L.; Brevet, P.-F.; Finazzi, M.; Celebrano, M. Harmonic generation at the nanoscale. J. Appl. Phys. 2020, 127, 230901. [Google Scholar] [CrossRef]
- Liu, Y.; Zhu, S.; Zhou, Q.; Cao, Y.; Fu, Y.; Gao, L.; Chen, H.; Xu, Y. Enhanced third-harmonic generation induced by nonlinear field resonances in plasmonic-graphene metasurfaces. Opt. Express 2020, 28, 13234–13242. [Google Scholar] [CrossRef] [PubMed]
- Hou, Y.; Li, J.; Li, B.; Yuan, Q.; Gan, W. Combined Second Harmonic Generation and Fluorescence Analyses of the Structures and Dynamics of Molecules on Lipids Using Dual-Probes: A Review. Molecules 2022, 27, 3778. [Google Scholar] [CrossRef]
- Chou Chao, C.-T.; Chou Chau, Y.-F. Enhancing second harmonic generation efficiency and effective nonlinear susceptibility via metasurfaces employing split-ring resonators. Opt. Commun. 2024, 562, 130568. [Google Scholar] [CrossRef]
- Boroviks, S.; Kiselev, A.; Achouri, K.; Martin, O.J.F. Demonstration of a Plasmonic Nonlinear Pseudodiode. Nano Lett. 2023, 23, 3362–3368. [Google Scholar] [CrossRef]
- Celebrano, M.; Wu, X.; Baselli, M.; Großmann, S.; Biagioni, P.; Locatelli, A.; De Angelis, C.; Cerullo, G.; Osellame, R.; Hecht, B.; et al. Mode matching in multiresonant plasmonic nanoantennas for enhanced second harmonic generation. Nat. Nanotechnol. 2015, 10, 412–417. [Google Scholar] [CrossRef] [PubMed]
- Schlickriede, C.; Waterman, N.; Reineke, B.; Georgi, P.; Li, G.; Zhang, S.; Zentgraf, T. Imaging through Nonlinear Metalens Using Second Harmonic Generation. Adv. Mater. 2018, 30, 1703843. [Google Scholar] [CrossRef]
- Klein, M.W.; Enkrich, C.; Wegener, M.; Linden, S. Second-Harmonic Generation from Magnetic Metamaterials. Science 2006, 313, 502–504. [Google Scholar] [CrossRef] [PubMed]
- Klein, M.W.; Wegener, M.; Feth, N.; Linden, S. Experiments on second- and third-harmonic generation from magnetic metamaterials. Opt. Express 2007, 15, 5238–5247. [Google Scholar] [CrossRef]
- Shi, J.; Liang, W.-Y.; Raja, S.R.; Sang, Y.; Zhang, X.-Q.; Chen, C.-A.; Wang, Y.; Yang, X.; Lee, Y.-H.; Ahn, H.; et al. Plasmonic Enhancement and Manipulation of Optical Nonlinearity in Monolayer Tungsten Disulfide. Laser Photonics Rev. 2018, 12, 1800188. [Google Scholar] [CrossRef]
- Han, A.; Dineen, C.; Babicheva, V.E.; Moloney, J.V. Second harmonic generation in metasurfaces with multipole resonant coupling. Nanophotonics 2020, 9, 3545–3556. [Google Scholar] [CrossRef]
- Abe, S.; Kajikawa, K. Linear and nonlinear optical properties of gold nanospheres immobilized on a metallic surface. Phys. Rev. B 2006, 74, 035416. [Google Scholar] [CrossRef]
- Neacsu, C.C.; Reider, G.A.; Raschke, M.B. Second-harmonic generation from nanoscopic metal tips: Symmetry selection rules for single asymmetric nanostructures. Phys. Rev. B 2005, 71, 201402. [Google Scholar] [CrossRef]
- Kim, E.; Wang, F.; Wu, W.; Yu, Z.; Shen, Y.R. Nonlinear optical spectroscopy of photonic metamaterials. J. Phys. Rev. B 2008, 78, 113102. [Google Scholar] [CrossRef]
- Feth, N.; Linden, S.; Klein, M.W.; Decker, M.; Niesler, F.B.P.; Zeng, Y.; Hoyer, W.; Liu, J.; Koch, S.W.; Moloney, J.V.; et al. Second-harmonic generation from complementary split-ring resonators. Opt. Lett. 2008, 33, 1975–1977. [Google Scholar] [CrossRef]
- Larciprete, M.C.; Belardini, A.; Cappeddu, M.G.; de Ceglia, D.; Centini, M.; Fazio, E.; Sibilia, C.; Bloemer, M.J.; Scalora, M. Second-harmonic generation from metallodielectric multilayer photonic-band-gap structures. Phys. Rev. A 2008, 77, 013809. [Google Scholar] [CrossRef]
- Kujala, S.; Canfield, B.K.; Kauranen, M.; Svirko, Y.; Turunen, J. Multipolar analysis of second-harmonic radiation from gold nanoparticles. Opt. Express 2008, 16, 17196–17208. [Google Scholar] [CrossRef] [PubMed]
- Suresh, S.; Reshef, O.; Alam, M.Z.; Upham, J.; Karimi, M.; Boyd, R.W. Enhanced nonlinear optical responses of layered epsilon-near-zero metamaterials at visible frequencies. Acs Photonics 2020, 8, 125–129. [Google Scholar] [CrossRef]
- Zeng, Y.; Hoyer, W.; Liu, J.; Koch, S.W.; Moloney, J.V. Classical theory for second-harmonic generation from metallic nanoparticles. Phys. Rev. B 2009, 79, 235109. [Google Scholar] [CrossRef]
- Rithesh Raj, D.; Prasanth, S.; Sudarsanakumar, C. Development of LSPR-Based Optical Fiber Dopamine Sensor Using L-Tyrosine-Capped Silver Nanoparticles and Its Nonlinear Optical Properties. Plasmonics 2017, 12, 1227–1234. [Google Scholar] [CrossRef]
- Li, C.; Xin, J.; Tang, D.; Hao, F. Control of Group Velocity Based on Nonlinear Kerr Effect in a Plasmonic Superlattice. Plasmonics 2015, 10, 1593–1596. [Google Scholar] [CrossRef]
- Yao, L.; Zeng, Z.; Cai, C.; Xu, P.; Gu, H.; Gao, L.; Han, J.; Zhang, X.; Wang, X.; Wang, X.; et al. Strong Second- and Third-Harmonic Generation in 1D Chiral Hybrid Bismuth Halides. J. Am. Chem. Soc. 2021, 143, 16095–16104. [Google Scholar] [CrossRef] [PubMed]
- Armitage, N.P.; Tediosi, R.; Lévy, F.; Giannini, E.; Forro, L.; van der Marel, D. Infrared Conductivity of Elemental Bismuth under Pressure: Evidence for an Avoided Lifshitz-Type Semimetal-Semiconductor Transition. Phys. Rev. Lett. 2010, 104, 237401. [Google Scholar] [CrossRef]
- Hasegawa, Y.; Ishikawa, Y.; Saso, T.; Shirai, H.; Morita, H.; Komine, T.; Nakamura, H. A method for analysis of carrier density and mobility in polycrystalline bismuth. Phys. B Condens. Matter 2006, 382, 140–146. [Google Scholar] [CrossRef]
- Petrocelli, G.; Martellucci, S.; Richetta, M. Bismuth induced enhancement of the second-harmonic generation efficiency in bismuth-substituted yttrium iron garnet films. Appl. Phys. Lett. 1993, 63, 3402–3404. [Google Scholar] [CrossRef]
- Koseva, R.; Mönch, I.; Schumann, J.; Arndt, K.F.; Schmidt, O.G. Bismuth Hall probes: Preparation, properties and application. Thin Solid Film. 2010, 518, 4847–4851. [Google Scholar] [CrossRef]
- Kumar, N.; Strikwerda, A.C.; Fan, K.; Zhang, X.; Averitt, R.D.; Planken, P.C.M.; Adam, A.J.L. THz near-field Faraday imaging in hybrid metamaterials. Opt. Express 2012, 20, 11277–11287. [Google Scholar] [CrossRef] [PubMed]
- Zhang, H.C.; Fan, Y.; Guo, J.; Fu, X.; Cui, T.J. Second-Harmonic Generation of Spoof Surface Plasmon Polaritons Using Nonlinear Plasmonic Metamaterials. ACS Photonics 2016, 3, 139–146. [Google Scholar] [CrossRef]
- Wen, Y.; Zhou, J. Artificial Nonlinearity Generated from Electromagnetic Coupling Metamolecule. Phys. Rev. Lett. 2017, 118, 167401. [Google Scholar] [CrossRef] [PubMed]
- Lapine, M.; Shadrivov, I.V.; Kivshar, Y.S. Colloquium: Nonlinear metamaterials. Rev. Mod. Phys. 2014, 86, 1093–1123. [Google Scholar] [CrossRef]
- Storm, K.; Halvardsson, F.; Heurlin, M.; Lindgren, D.; Gustafsson, A.; Wu, P.M.; Monemar, B.; Samuelson, L. Spatially resolved Hall effect measurement in a single semiconductor nanowire. J. Nat. Nanotechnol. 2012, 7, 718–722. [Google Scholar] [CrossRef]
- Jian, S.; Jürgen, K. Finite-Element Modelling and Analysis of Hall Effect and Extraordinary Magnetoresistance Effect. In Finite Element Analysis; Farzad, E., Ed.; IntechOpen: Rijeka, Italy, 2012; Chapter 10. [Google Scholar]
- Ordal, M.A.; Long, L.L.; Bell, R.J.; Bell, S.E.; Bell, R.R.; Alexander, R.W., Jr.; Ward, C.A. Optical properties of the metals Al, Co, Cu, Au, Fe, Pb, Ni, Pd, Pt, Ag, Ti, and W in the infrared and far infrared. Appl. Opt. 1983, 22, 1099–1119. [Google Scholar] [CrossRef]
- Hora, H. YR Shen, The Principles of Nonlinear Optics, John Wiley & Sons, New York, 1984, 576 pages. Laser Part. Beams 1986, 4, 318–319. [Google Scholar] [CrossRef]
- Chau, Y.-F.; Yeh, H.-H.; Tsai, D.P. Significantly Enhanced Birefringence of Photonic Crystal Fiber Using Rotational Binary Unit Cell in Fiber Cladding. Jpn. J. Appl. Phys. 2007, 46, L1048. [Google Scholar] [CrossRef]
- Chau, Y.-F.C.; Chao, C.T.C.; Huang, H.J.; Wang, Y.-C.; Chiang, H.-P.; Idris, M.N.S.i.M.; Masri, Z.; Lim, C.M. Strong and tunable plasmonic field coupling and enhancement generating from the protruded metal nanorods and dielectric cores. Results Phys. 2019, 13, 102290. [Google Scholar] [CrossRef]
- Chou Chau, Y.-F.; Chou Chao, C.-T.; Chiang, H.-P. Ultra-broad bandgap metal-insulator-metal waveguide filter with symmetrical stubs and defects. Results Phys. 2020, 17, 103116. [Google Scholar] [CrossRef]
- Zundel, L.; Deop-Ruano, J.R.; Martinez-Herrero, R.; Manjavacas, A. Lattice Resonances Excited by Finite-Width Light Beams. ACS Omega 2022, 7, 31431–31441. [Google Scholar] [CrossRef] [PubMed]
- Alici, K.B.; Bilotti, F.; Vegni, L.; Ozbay, E. Miniaturized negative permeability materials. Appl. Phys. Lett. 2007, 91, 071121. [Google Scholar] [CrossRef]
- Serebryannikov, A.E.; Gokkavas, M.; Gundogdu, T.F.; Volski, V.; Vandenbosch, G.A.E.; Vasylchenko, A.; Ozbay, E. Ultraminiature Antennas Combining Subwavelength Resonators and a Very-High-ε Uniform Substrate: The Case of Lithium Niobate. IEEE Trans. Antennas Propag. 2020, 68, 5071–5081. [Google Scholar] [CrossRef]







| Name | Symbol | Value |
|---|---|---|
| the length of the rectangular Ag ring | L1 | 3.4 mm |
| the length of the Bi bar | L2 | 2.3 mm |
| the bottom length of the Ag bowtie | L3 | 2.2 mm |
| the height of the Ag bowtie | h | 0.65 mm |
| thickness of Ag | tAg | 30 μm |
| thickness of Bi | tBi | 100 nm |
| thickness of FR-4 | tFR-4 | 1 mm |
| the gap between the rectangular Ag ring and the Bi bar, and the gap between the Bi bar and Ag bowtie | d | 0.05 mm |
| the width of the rectangular Ag ring | w1 | 0.45 mm |
| the width of the Bi bar | w2 | 0.5 mm |
| the gap between the rectangular Ag cut-wire segment | g | 0.1 mm |
| the period of the metasurface array | P | 3.6 mm |
Disclaimer/Publisher’s Note: The statements, opinions and data contained in all publications are solely those of the individual author(s) and contributor(s) and not of MDPI and/or the editor(s). MDPI and/or the editor(s) disclaim responsibility for any injury to people or property resulting from any ideas, methods, instructions or products referred to in the content. |
© 2024 by the author. Licensee MDPI, Basel, Switzerland. This article is an open access article distributed under the terms and conditions of the Creative Commons Attribution (CC BY) license (https://creativecommons.org/licenses/by/4.0/).
Share and Cite
Chou Chau, Y.-F. Boosting Second Harmonic Generation Efficiency and Nonlinear Susceptibility via Metasurfaces Featuring Split-Ring Resonators and Bowtie Nanoantennas. Nanomaterials 2024, 14, 664. https://doi.org/10.3390/nano14080664
Chou Chau Y-F. Boosting Second Harmonic Generation Efficiency and Nonlinear Susceptibility via Metasurfaces Featuring Split-Ring Resonators and Bowtie Nanoantennas. Nanomaterials. 2024; 14(8):664. https://doi.org/10.3390/nano14080664
Chicago/Turabian StyleChou Chau, Yuan-Fong. 2024. "Boosting Second Harmonic Generation Efficiency and Nonlinear Susceptibility via Metasurfaces Featuring Split-Ring Resonators and Bowtie Nanoantennas" Nanomaterials 14, no. 8: 664. https://doi.org/10.3390/nano14080664
APA StyleChou Chau, Y.-F. (2024). Boosting Second Harmonic Generation Efficiency and Nonlinear Susceptibility via Metasurfaces Featuring Split-Ring Resonators and Bowtie Nanoantennas. Nanomaterials, 14(8), 664. https://doi.org/10.3390/nano14080664
