Effect of Deposition Working Power on Physical Properties of RF-Sputtered CdTe Thin Films for Photovoltaic Applications
Abstract
1. Introduction
2. Materials and Methods
3. Results
3.1. Structural Analysis by XRD
3.2. Morphological Investigation by SEM
3.3. Surface Topography Analysis by AFM
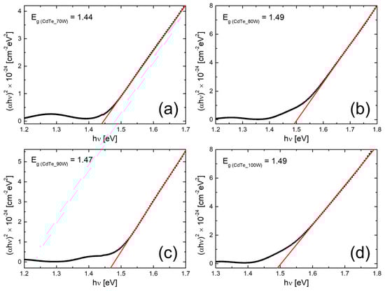
3.4. Optical Characterisation by UV–VIS Spectroscopy
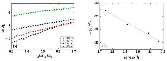
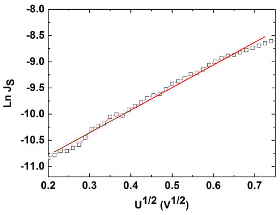
3.5. Electrical Characterisations
4. Discussions
5. Conclusions
Author Contributions
Funding
Data Availability Statement
Acknowledgments
Conflicts of Interest
References
- National Renewable Energy Laboratory (NREL, USA). Best Research-Cell Efficiency Chart. Available online: https://www.nrel.gov/pv/cell-efficiency.html (accessed on 24 January 2024).
- Sinha, T.; Lilhare, D.; Khare, A. A review on the improvement in performance of CdTe/CdS thin-film solar cells through optimization of structural parameters. J. Mater. Sci. 2019, 54, 12189–12205. [Google Scholar] [CrossRef]
- Clover, I. First Solar Raises Bar for CdTe with 21.5% Efficiency Record. 2015. Available online: https://www.pv-magazine.com/2015/02/06/first-solar-raises-bar-for-cdte-with-21-5-efficiency-record_100018069/ (accessed on 24 January 2024).
- Duenow, J.N.; Metzger, W.K. Back-surface recombination, electron reflectors and paths to 28% efficiency for thin-film photovoltaics: A CdTe case study. J. Appl. Phys. 2019, 125, 053101. [Google Scholar] [CrossRef]
- Metzger, W.K.; Grover, S.; Lu, D.; Colegrove, E.; Moseley, J.; Perkins, C.L.; Li, X.; Mallick, R.; Zhang, W.; Malik, R.; et al. Exceeding 20% efficiency with in situ group V doping in polycrystalline CdTe solar cells. Nat. Energy 2019, 4, 837–845. [Google Scholar] [CrossRef]
- Krasikov, D.; Sankin, I. Defect interactions and the role of complexes in the CdTe solar cell absorber. J. Mater. Chem. A 2017, 5, 3503–3513. [Google Scholar] [CrossRef]
- Kuciauskas, D.; Farrell, S.; Dippo, P.; Moseley, J.; Moutinho, H.; Li, J.V.; Allende Motz, A.M.; Kanevce, A.; Zaunbrecher, K.; Gessert, T.A.; et al. Charge-carrier transport and recombination in heteroepitaxial CdTe. J. Appl. Phys. 2014, 116, 123108. [Google Scholar] [CrossRef]
- Scarpulla, M.A.; McCandless, B.; Phillips, A.B.; Yan, Y.; Heben, M.J.; Wolden, C.; Xiong, G.; Metzger, W.K.; Mao, D.; Krasikov, D.; et al. CdTe-based thin film photovoltaics: Recent advances, current challenges and future prospects. Sol. Energy Mat. Sol. C 2023, 255, 112289. [Google Scholar] [CrossRef]
- Hall, R.S.; Lamb, D.; Irvine, S.J.C. Back contacts materials used in thin film CdTe solar cells—A review. Energy Sci. Eng. 2021, 9, 606–632. [Google Scholar] [CrossRef]
- Gorai, P.; Krasikov, D.; Grover, S.; Xiong, G.; Metzger, W.K.; Stevanovic, V. A search for new back contacts for CdTe solar cells. Sci. Adv. 2023, 9, 1–12. [Google Scholar] [CrossRef]
- Narayanan, V.; Rajni, K.S. CdTe photovoltaics in superstrate geometry–back contact materials: A review. ACS Appl. Energy Mater. 2023, 6, 8644–8659. [Google Scholar] [CrossRef]
- Rahman, M.F.; Hossain, J.; Kuddus, A.; Tabassum, S.; Rubel, M.H.K.; Rahman, M.M.; Moriya, Y.; Shirai, H.; Ismail, A.B.M. A novel CdTe ink-assisted direct synthesis of CdTe thin films for the solution-processed CdTe solar cells. J. Mater. Sci. 2020, 55, 7715–7730. [Google Scholar] [CrossRef]
- Mazur, T.M.; Mazur, M.P.; Vakaliuk, I.V. Solar cells based on CdTe thin films (II Part). Phys. Chem. Solid State 2023, 1, 134–145. [Google Scholar] [CrossRef]
- Toma, O.; Ion, L.; Girtan, M.; Antohe, S. Optical, morphological and electrical studies of thermally vacuum evaporated CdTe thin films for photovoltaic applications. Sol. Energy 2014, 108, 51–60. [Google Scholar] [CrossRef]
- Manaf, N.A.A.; Salim, H.I.; Madugu, M.L.; Olusola, O.I.; Dharmadasa, I.M. Electro-plating and characterisation of CdTe thin films using CdCl2 as the cadmium source. Energies 2015, 8, 10883–10903. [Google Scholar] [CrossRef]
- Takamoto, T.; Agui, T.; Kurita, H.; Ohmori, M. Improved junction formation procedure for low temperature deposited CdS/CdTe solar cells. Sol. Energy Mat. Sol. C 1997, 49, 219–225. [Google Scholar] [CrossRef]
- Shao, M.; Fischer, A.; Grecu, D.; Jayamahu, U.; Bykov, E.; Contreras-Puente, G.; Bohn, R.G.; Compaan, A.D. Radio-frequency magnetron sputtered CdS/CdTe solar cells on soda-lime glass. Appl. Phys. Lett. 1996, 69, 3045–3047. [Google Scholar] [CrossRef]
- Patel, H.S.; Rathod, J.R.; Patel, K.D.; Pathak, V.M. Structural and surface studies of vacuum evaporated cadmium telluride thin films. Am. J. Mater. Sci. Technol. 2012, 1, 11–21. [Google Scholar] [CrossRef]
- Lahwd, M.J.; Jarallah, A.K. Effect of thickness and annealing temperature on the structural, morphological and optical properties of CdTe nano thin films. AIP Conf. Proc. 2023, 2591, 040024. [Google Scholar] [CrossRef]
- Antohe, S.; Ion, L.; Antohe, V.A.; Ghenescu, M.; Alexandru, H. Defects induced by ionizing radiations in AII-BVI polycrystalline thin films used as solar cell materials. J. Optoelectron. Adv. Mat. 2007, 9, 1382–1394. [Google Scholar]
- Chander, S.; Dhaka, M.S. Optimization of physical properties of vacuum evaporated CdTe thin films with the application of thermal treatment for solar cells. Mat. Sci. Semicond. Proc. 2015, 40, 708–712. [Google Scholar] [CrossRef]
- Kumari, S.; Suthar, D.; Himanshu, K.N.; Dhaka, M.S. Understanding grain growth mechanism in vacuum evaporated CdTe thin films by different halide treatments: An evolution of ion size impact on pysical properties for solar cell applications. Comment. Inorg. Chem. 2023, 43, 429–464. [Google Scholar] [CrossRef]
- Boone, J.L.; Van Doren, T.P.; Berry, A.K. Deposition of CdTe by spray pyrolysis. Thin Solid Films 1982, 87, 259–264. [Google Scholar] [CrossRef]
- Bhattacharya, P.; Bose, D.N. Pulsed laser deposition of CdTe thin films for heterojunction on silicon. Semicond. Sci. Tech. 1999, 6, 384–394. [Google Scholar] [CrossRef]
- Pandeya, S.K.; Tiwara, U.; Raman, R.; Prakash, C.; Krishna, V.; Dutta, V.; Zimik, K. Growth of cubic and hexagonal CdTe thin films by pulsed laser deposition. Thin Solid Films 2005, 473, 54–57. [Google Scholar] [CrossRef]
- He, S.; Lu, H.; Li, B.; Zhang, J.; Zeng, G.; Wu, L.; Li, W.; Wang, W.; Feng, L. Study of CdTe/ZnTe composite absorbing layer deposited by pulsed laser deposition for CdS/CdTe solar cell. Mater. Sci. Semicond. Process 2017, 67, 41–45. [Google Scholar] [CrossRef]
- Kamel, N.S.; Aadim, K.A.; Kadhim, A. Study of the caracterization of CdTe thin films prepared by the pulsed laser deposition technique with different laser energies. Adv. Nat. Sci. Nanosci. Nanotechnol. 2023, 14, 025015. [Google Scholar] [CrossRef]
- Golgovici, F.; Visan, T. Electrodeposition behavior of cadmium telluride from chlorine chloride-urea ion liquids. Chalcogenide Lett. 2012, 9, 165–174. [Google Scholar]
- Arnoult, A.; Cibert, J. Surface dynamics during CdTe growth by molecular beam epitaxy. Appl. Phys. Lett. 1995, 66, 2397–2399. [Google Scholar] [CrossRef]
- Shan, N.A.; Ali, A.; Maqsood. Characterization of CdTe thin films by close spaced sublimation technique and a study of Cu doping by ion exchange process. J. Non-Cryst. Solids 2009, 355, 1474–1478. [Google Scholar] [CrossRef]
- Williams, B.L.; Major, J.D.; Bowen, L.; Phillips, L.; Zoppi, G.; Forbes, I.; Durose, K. Challenges and prospects for developing CdS/CdTe substrate solar cells on Mo foils. Sol. Energy Mat. Sol. C 2014, 124, 31–38. [Google Scholar] [CrossRef]
- Zghaibeh, M.; Okonkwo, P.C.; Emori, W.; Ahmed, T.; Mohamed, A.M.A.; Aliyu, M.; Ogunleye, G.J. CdTe solar cells fabrication and examination techniques: A focused review. Int. J. Green. Energy 2023, 20, 555–570. [Google Scholar] [CrossRef]
- Ma, J.; Kuciauskas, D.; Albin, D.; Bhattacharya, R.; Reese, M.; Barnes, T.; Li, J.V.; Gessert, T.; Wei, S.H. Dependence of the minority-carrier lefetime on the stoichiometry of CdTe using time-resolved photoluminescence and first-principles calculations. Phys. Rev. Lett. 2013, 111, 067402. [Google Scholar] [CrossRef]
- Toma, O.; Ion, L.; Iftimie, S.; Radu, A.; Antohe, S. Structural, morphological and optical properties of rf-sputtered CdS thin films. Mater. Design 2016, 100, 198–203. [Google Scholar] [CrossRef]
- Toma, O.; Ion, L.; Iftimie, S.; Antohe, V.A.; Radu, A.; Raduta, A.M.; Antohe, S. Physical properties of rf-sputtered ZnS and ZnSe thin films used for double-heterojunction ZnS/ZnSe/CdTe photovoltaic structures. Appl. Surf. Sci. 2019, 478, 831–839. [Google Scholar] [CrossRef]
- Toma, O.; Antohe, V.A.; Panaitescu, A.M.; Iftimie, S.; Raduta, A.M.; Radu, A.; Ion, L.; Antohe, S. Effect of rf power on the physical properties of sputtered ZnSe nanostructured thin films for photovoltaic applications. Nanomaterials 2021, 11, 2841. [Google Scholar] [CrossRef]
- Panaitescu, A.M.; Antohe, I.; Raduta, A.M.; Iftimie, S.; Antohe, S.; Mihailescu, C.N.; Antohe, V.A. Morphological, optical and electrical properties of RF-sputtered zinc telluride thin films for electronic and optoelectronic applications. AIP Adv. 2022, 12, 115013. [Google Scholar] [CrossRef]
- Ghorannevis, Z.; Akbarnejad, E.; Ghorannevis, M. Effects of various deposition times and RF powers on CdTe thin film growth using magnetron sputtering. J. Theor. Appl. Phys. 2016, 10, 225–231. [Google Scholar] [CrossRef]
- Langford, J.I.; Delhez, R.; de Keijser, T.H.; Mittemeijer, E.J. Profile analysis for microcrystalline properties by the Fourier and other methods. Aust. J. Phys. 1988, 41, 173–186. [Google Scholar] [CrossRef]
- Kulkarni, R.; Rondiya, S.; Pawbake, A.; Waykar, R.; Jadhavar, A.; Jadkar, V.; Bhorde, A.; Date, A.; Pathan, H.; Jadkar, S. Structural and optical properties of CdTe thin films deposited using RF magnetron sputtering. Energy Procedia 2017, 110, 188–195. [Google Scholar] [CrossRef]
- Chandramohan, S.; Sathyamoorthy, R.; Lalitha, S.; Senthilarasu, S. Structural properties of CdTe thin films on different substrates. Sol. Energy Mat. Sol. C 2006, 90, 686–693. [Google Scholar] [CrossRef]
- Doroody, C.; Rahman, K.S.; Rosly, H.N.; Harif, M.N.; Sopian, K.; Abdullah, S.F.; Amin, N. A comprehensive comparative study of CdTe thin films grown on ultra-thin glass substrates by close-spaced sublimation and RF magnetron sputtering. Mater. Lett. 2021, 293, 129655. [Google Scholar] [CrossRef]
- Strauss, A.J. The physical properties of cadmium telluride. Rev. Phys. Appl. 1977, 12, 167–184. [Google Scholar] [CrossRef]
- Wu, S.; Chen, H.; Du, X.; Liu, Z. Effect of deposition power and pressure on rate deposition and resistivity of titanium thin films grown by DC magnetron sputtering. Spectrosc. Lett. 2016, 49, 514–519. [Google Scholar] [CrossRef]
- Gu, P.; Zhu, X.H.; Li, J.T.; Wu, H.H.; Yang, D.Y. Influence of sputtering power on structural, optical and electrical properties of CdTe thin films prepared by DC magnetron sputtering. J. Mater. Sci. Mater. 2018, 29, 14635–14642. [Google Scholar] [CrossRef]
- Ruxandra, V.; Antohe, S. The effect of the electron irradiation on the electrical properties of thin polycrystalline CdS layers. J. Appl. Phys. 1998, 84, 727–733. [Google Scholar] [CrossRef]
- Lampert, M.A.; Mark, P. Semiconductor technique: Current injection in solids. Science 1970, 170, 966–967. [Google Scholar] [CrossRef]
- Lugo, J.M.; Rosendo, E.; Romano-Trujillo, R.; Oliva, A.I.; Ladron de Guevara, H.P.; Medel-Ruiz, C.I.; Trevino-Yarce, L.; Sarmiento Arellano, J.; Morales, C.; Diaz, T. Effects of the applied power on the properties of RF-sputtered CdTe films. Mater. Res. Express 2019, 6, 076428. [Google Scholar] [CrossRef]














| Sample | Def(111) (nm) | a (Å) | |
|---|---|---|---|
| CdTe_70W | 66 | 5.1 × 10−3 | 6.491 |
| CdTe_80W | 58 | 4.7 × 10−3 | 6.492 |
| CdTe_90W | 89 | 4.5 × 10−3 | 6.493 |
| CdTe_100W | 68 | 4.5 × 10−3 | 6.489 |
| Sample | Measured Thickness (nm) |
|---|---|
| CdTe_70W | 583 ± 74 |
| CdTe_80W | 874 ± 22 |
| CdTe_90W | 958 ± 34 |
| CdTe_100W | 983 ± 21 |
| Sample | CdTe_70W | CdTe_80W | CdTe_90W | CdTe_100W | |||||||||
|---|---|---|---|---|---|---|---|---|---|---|---|---|---|
| Area | RMS (nm) | Ssk | Sku | RMS (nm) | Ssk | Sku | RMS (nm) | Ssk | Sku | RMS (nm) | Ssk | Sku | |
| 1 × 1 μm2 | 0.622 | 0.145 | −0.080 | 0.847 | 0.254 | 0.074 | 1.063 | −0.144 | −0.112 | 1.331 | 0.055 | −0.399 | |
| 5 × 5 μm2 | 0.581 | 0.300 | 0.155 | 0.708 | 0.231 | 0.114 | 0.876 | 0.093 | 0.285 | 1.007 | 0.163 | 0.190 | |
| 10 × 10 μm2 | 0.521 | 0.171 | 0.109 | 0.598 | 0.137 | 0.056 | 0.664 | 0.009 | 0.223 | 0.739 | −0.001 | −0.007 | |
| Sample | Thickness (nm) | Eg (eV) |
|---|---|---|
| CdTe_70W/optical glass | 736 ± 15 | 1.44 |
| CdTe_80W/optical glass | 941 ± 25 | 1.49 |
| CdTe_90W/optical glass | 971 ± 18 | 1.47 |
| CdTe_1000W/optical glass | 1078 ± 28 | 1.49 |
Disclaimer/Publisher’s Note: The statements, opinions and data contained in all publications are solely those of the individual author(s) and contributor(s) and not of MDPI and/or the editor(s). MDPI and/or the editor(s) disclaim responsibility for any injury to people or property resulting from any ideas, methods, instructions or products referred to in the content. |
© 2024 by the authors. Licensee MDPI, Basel, Switzerland. This article is an open access article distributed under the terms and conditions of the Creative Commons Attribution (CC BY) license (https://creativecommons.org/licenses/by/4.0/).
Share and Cite
Răduță, A.-M.; Panaitescu, A.-M.; Manica, M.; Iftimie, S.; Antohe, V.-A.; Toma, O.; Radu, A.; Ion, L.; Suchea, M.P.; Antohe, Ș. Effect of Deposition Working Power on Physical Properties of RF-Sputtered CdTe Thin Films for Photovoltaic Applications. Nanomaterials 2024, 14, 535. https://doi.org/10.3390/nano14060535
Răduță A-M, Panaitescu A-M, Manica M, Iftimie S, Antohe V-A, Toma O, Radu A, Ion L, Suchea MP, Antohe Ș. Effect of Deposition Working Power on Physical Properties of RF-Sputtered CdTe Thin Films for Photovoltaic Applications. Nanomaterials. 2024; 14(6):535. https://doi.org/10.3390/nano14060535
Chicago/Turabian StyleRăduță, Ana-Maria, Ana-Maria Panaitescu, Marina Manica, Sorina Iftimie, Vlad-Andrei Antohe, Ovidiu Toma, Adrian Radu, Lucian Ion, Mirela Petruta Suchea, and Ștefan Antohe. 2024. "Effect of Deposition Working Power on Physical Properties of RF-Sputtered CdTe Thin Films for Photovoltaic Applications" Nanomaterials 14, no. 6: 535. https://doi.org/10.3390/nano14060535
APA StyleRăduță, A.-M., Panaitescu, A.-M., Manica, M., Iftimie, S., Antohe, V.-A., Toma, O., Radu, A., Ion, L., Suchea, M. P., & Antohe, Ș. (2024). Effect of Deposition Working Power on Physical Properties of RF-Sputtered CdTe Thin Films for Photovoltaic Applications. Nanomaterials, 14(6), 535. https://doi.org/10.3390/nano14060535

