Pd-Based Bimetallic Electrocatalysts for Hydrogen Oxidation Reaction in 0.1 M KOH Solution
Abstract
1. Introduction
2. Materials and Methods
2.1. Synthesis of the Catalytic Powders
2.2. Physicochemical Characterization of the Catalytic Powders
2.3. Working Electrode Preparation and Electrochemical Characterization
3. Results and Discussion
3.1. Effect of Transition Metal M on the HOR Activity of Pd-M Electrocatalysts
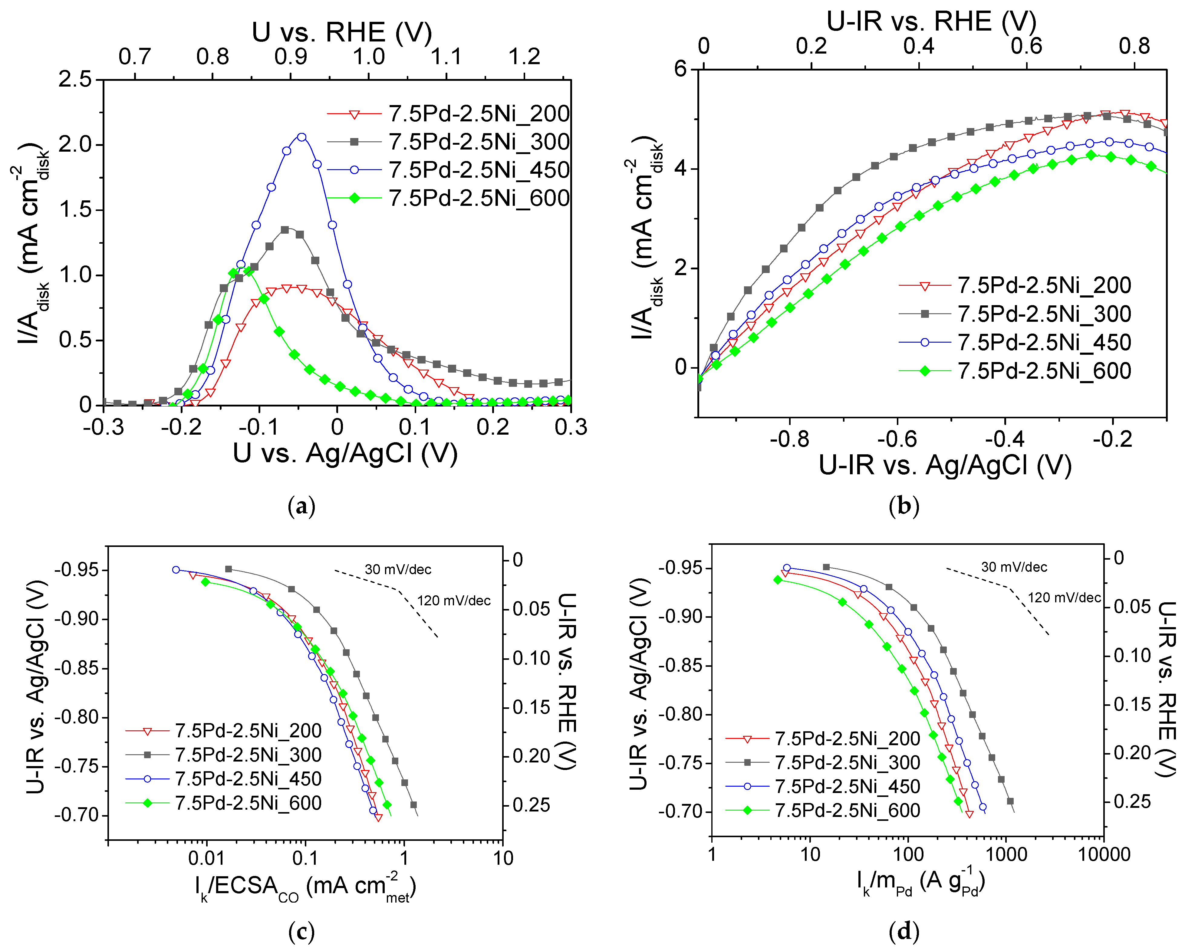
3.2. Effect of Reduction Temperature of 7.5 wt.% Pd-2.5 wt.% Ni/C Catalyst on the HOR Activity
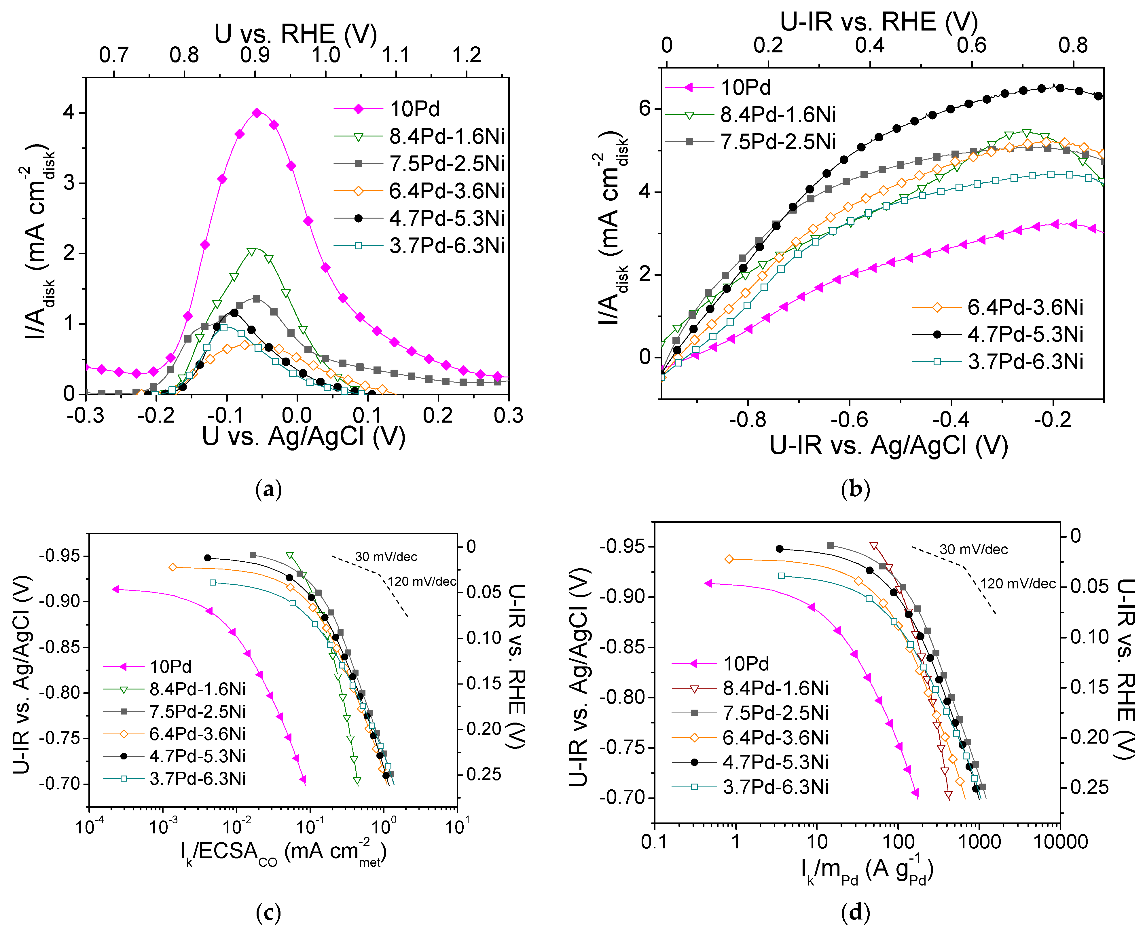
3.3. Effect of the Pd:Ni Ratio on the HOR Activity of 10 wt.% Pd-Ni/C Electrocatalysts
4. Conclusions
Author Contributions
Funding
Data Availability Statement
Conflicts of Interest
References
- Zheng, J.; Zhou, S.; Gu, S.; Xu, B.; Yan, Y. Size-Dependent Hydrogen Oxidation and Evolution Activities on Supported Palladium Nanoparticles in Acid and Base. J. Electrochem. Soc. 2016, 163, F499–F506. [Google Scholar] [CrossRef]
- Gasteiger, H.A.; Kocha, S.S.; Sompalli, B.; Wagner, F.T. Activity benchmarks and requirements for Pt, Pt-alloy, and non-Pt oxygen reduction catalysts for PEMFCs. Appl. Catal. B Environ. 2005, 56, 9–35. [Google Scholar] [CrossRef]
- Sheng, W.; Gasteiger, H.A.; Shao-Horn, Y. Hydrogen Oxidation and Evolution Reaction Kinetics on Platinum: Acid vs Alkaline Electrolytes. J. Electrochem. Soc. 2010, 157, B1529–B1536. [Google Scholar] [CrossRef]
- Nie, Y.; Li, L.; Wei, Z. Recent advancements in Pt and Pt-free catalysts for oxygen reduction reaction. Chem. Soc. Rev. 2015, 44, 2168–2201. [Google Scholar] [CrossRef]
- Stacy, J.; Regmi, Y.N.; Leonard, B.; Fan, M. The recent progress and future of oxygen reduction reaction catalysis: A review. Renew. Sustain. Energy Rev. 2017, 69, 401–414. [Google Scholar] [CrossRef]
- Setzler, B.P.; Zhuang, Z.; Wittkopf, J.A.; Yan, Y. Activity targets for nanostructured platinum-group-metal-free catalysts in hydroxide exchange membrane fuel cells. Nat. Nanotechnol. 2016, 11, 1020–1025. [Google Scholar] [CrossRef]
- He, Q.; Cairns, E.J. Review—Recent Progress in Electrocatalysts for Oxygen Reduction Suitable for Alkaline Anion Exchange Membrane Fuel Cells. J. Electrochem. Soc. 2015, 162, F1504–F1539. [Google Scholar] [CrossRef]
- Ge, X.; Sumboja, A.; Wuu, D.; An, T.; Li, B.; Goh, F.W.T.; Hor, T.S.A.; Zong, Y.; Liu, Z. Oxygen Reduction in Alkaline Media: From Mechanisms to Recent Advances of Catalysts. ACS Catal. 2015, 5, 4643–4667. [Google Scholar] [CrossRef]
- Chung, H.T.; Won, J.H.; Zelenay, P. Active and stable carbon nanotube/nanoparticle composite electrocatalyst for oxygen reduction. Nat. Commun. 2013, 4, 1922. [Google Scholar] [CrossRef]
- Piana, M.; Boccia, M.; Filpi, A.; Flammia, E.; Miller, H.A.; Orsini, M.; Salusti, F.; Santiccioli, S.; Ciardelli, F.; Pucci, A. H2/air alkaline membrane fuel cell performance and durability, using novel ionomer and non-platinum group metal cathode catalyst. J. Power Sources 2010, 195, 5875–5881. [Google Scholar] [CrossRef]
- Sa, Y.J.; Park, C.; Jeong, H.Y.; Park, S.-H.; Lee, Z.; Kim, K.T.; Park, G.-G.; Joo, S.H. Carbon Nanotubes/Heteroatom-Doped Carbon Core–Sheath Nanostructures as Highly Active, Metal-Free Oxygen Reduction Electrocatalysts for Alkaline Fuel Cells. Angew. Chem. Int. Ed. 2014, 53, 4102–4106. [Google Scholar] [CrossRef]
- Wu, G.; Zelenay, P. Nanostructured Nonprecious Metal Catalysts for Oxygen Reduction Reaction. Acc. Chem. Res. 2013, 46, 1878–1889. [Google Scholar] [CrossRef]
- Zhu, H.; Zhang, S.; Huang, Y.-X.; Wu, L.; Sun, S. Monodisperse MxFe3−xO4 (M = Fe, Cu, Co, Mn) Nanoparticles and Their Electrocatalysis for Oxygen Reduction Reaction. Nano Lett. 2013, 13, 2947–2951. [Google Scholar] [CrossRef]
- Cong, Y.; Yi, B.; Song, Y. Hydrogen oxidation reaction in alkaline media: From mechanism to recent electrocatalysts. Nano Energy 2018, 44, 288–303. [Google Scholar] [CrossRef]
- Durst, J.; Siebel, A.; Simon, C.; Hasché, F.; Herranz, J.; Gasteiger, H.A. New insights into the electrochemical hydrogen oxidation and evolution reaction mechanism. Energy Environ. Sci. 2014, 7, 2255–2260. [Google Scholar] [CrossRef]
- Zheng, J.; Sheng, W.; Zhuang, Z.; Xu, B.; Yan, Y. Universal dependence of hydrogen oxidation and evolution reaction activity of platinum-group metals on pH and hydrogen binding energy. Sci. Adv. 2016, 2, e1501602. [Google Scholar] [CrossRef]
- Elbert, K.; Hu, J.; Ma, Z.; Zhang, Y.; Chen, G.; An, W.; Liu, P.; Isaacs, H.S.; Adzic, R.R.; Wang, J.X. Elucidating Hydrogen Oxidation/Evolution Kinetics in Base and Acid by Enhanced Activities at the Optimized Pt Shell Thickness on the Ru Core. ACS Catal. 2015, 5, 6764–6772. [Google Scholar] [CrossRef]
- Rheinländer, P.J.; Herranz, J.; Durst, J.; Gasteiger, H.A. Kinetics of the Hydrogen Oxidation/Evolution Reaction on Polycrystalline Platinum in Alkaline Electrolyte Reaction Order with Respect to Hydrogen Pressure. J. Electrochem. Soc. 2014, 161, F1448–F1457. [Google Scholar] [CrossRef]
- Strmcnik, D.; Uchimura, M.; Wang, C.; Subbaraman, R.; Danilovic, N.; van der Vliet, D.; Paulikas, A.P.; Stamenkovic, V.R.; Markovic, N.M. Improving the hydrogen oxidation reaction rate by promotion of hydroxyl adsorption. Nat. Chem. 2013, 5, 300–306. [Google Scholar] [CrossRef]
- Alesker, M.; Page, M.; Shviro, M.; Paska, Y.; Gershinsky, G.; Dekel, D.R.; Zitoun, D. Palladium/nickel bifunctional electrocatalyst for hydrogen oxidation reaction in alkaline membrane fuel cell. J. Power Sources 2016, 304, 332–339. [Google Scholar] [CrossRef]
- Alia, S.M.; Pivovar, B.S.; Yan, Y. Platinum-Coated Copper Nanowires with High Activity for Hydrogen Oxidation Reaction in Base. J. Am. Chem. Soc. 2013, 135, 13473–13478. [Google Scholar] [CrossRef]
- Montero, M.A.; de Chialvo, M.R.G.; Chialvo, A.C. Kinetics of the hydrogen oxidation reaction on nanostructured rhodium electrodes in alkaline solution. J. Power Sources 2015, 283, 181–186. [Google Scholar] [CrossRef]
- Montero, M.A.; de Chialvo, M.R.G.; Chialvo, A.C. Evaluation of the kinetic parameters of the hydrogen oxidation reaction on nanostructured iridium electrodes in alkaline solution. J. Electroanal. Chem. 2016, 767, 153–159. [Google Scholar] [CrossRef]
- Rau, M.S.; Quaino, P.M.; de Chialvo, M.R.G.; Chialvo, A.C. Hydrogen oxidation reaction: Evidences of different electrocatalytic activity between α and β Pd-H. Electrochem. Commun. 2008, 10, 208–212. [Google Scholar] [CrossRef]
- Sheng, W.; Zhuang, Z.; Gao, M.; Zheng, J.; Chen, J.G.; Yan, Y. Correlating hydrogen oxidation and evolution activity on platinum at different pH with measured hydrogen binding energy. Nat. Commun. 2015, 6, 5848. [Google Scholar] [CrossRef]
- St. John, S.; Atkinson, R.W.; Unocic, R.R.; Zawodzinski, T.A.; Papandrew, A.B. Ruthenium-Alloy Electrocatalysts with Tunable Hydrogen Oxidation Kinetics in Alkaline Electrolyte. J. Phys. Chem. C 2015, 119, 13481–13487. [Google Scholar] [CrossRef]
- Wang, Y.; Wang, G.; Li, G.; Huang, B.; Pan, J.; Liu, Q.; Han, J.; Xiao, L.; Lu, J.; Zhuang, L. Pt–Ru catalyzed hydrogen oxidation in alkaline media: Oxophilic effect or electronic effect? Energy Environ. Sci. 2015, 8, 177–181. [Google Scholar] [CrossRef]
- Zhang, L.; Chang, Q.; Chen, H.; Shao, M. Recent advances in palladium-based electrocatalysts for fuel cell reactions and hydrogen evolution reaction. Nano Energy 2016, 29, 198–219. [Google Scholar] [CrossRef]
- Su, L.; Gong, D.; Jin, Y.; Wu, D.; Luo, W. Recent advances in alkaline hydrogen oxidation reaction. J. Energy Chem. 2022, 66, 107–122. [Google Scholar] [CrossRef]
- Mu, X.; Liu, S.; Chen, L.; Mu, S. Alkaline Hydrogen Oxidation Reaction Catalysts: Insight into Catalytic Mechanisms, Classification, Activity Regulation and Challenges. Small Struct. 2023, 4, 2200281. [Google Scholar] [CrossRef]
- Campos-Roldán, C.A.; Alonso-Vante, N. Understanding the oxophilic effect on the hydrogen electrode reaction through PtM nanostructures. J. Solid State Electrochem. 2021, 25, 187–194. [Google Scholar] [CrossRef]
- Alia, S.M.; Yan, Y. Palladium Coated Copper Nanowires as a Hydrogen Oxidation Electrocatalyst in Base. J. Electrochem. Soc. 2015, 162, F849–F853. [Google Scholar] [CrossRef]
- Campos-Roldán, C.A.; González-Huerta, R.G.; Alonso-Vante, N. The oxophilic and electronic effects on anchored platinum nanoparticles on sp2 carbon sites: The hydrogen evolution and oxidation reactions in alkaline medium. Electrochim. Acta 2018, 283, 1829–1834. [Google Scholar] [CrossRef]
- Danilovic, N.; Subbaraman, R.; Strmcnik, D.; Chang, K.-C.; Paulikas, A.P.; Stamenkovic, V.R.; Markovic, N.M. Enhancing the Alkaline Hydrogen Evolution Reaction Activity through the Bifunctionality of Ni(OH)2/Metal Catalysts. Angew. Chem. Int. Ed. 2012, 51, 12495–12498. [Google Scholar] [CrossRef] [PubMed]
- Qin, B.; Yu, H.; Chi, J.; Jia, J.; Gao, X.; Yao, D.; Yi, B.; Shao, Z. A novel Ir/CeO2–C nanoparticle electrocatalyst for the hydrogen oxidation reaction of alkaline anion exchange membrane fuel cells. RSC Adv. 2017, 7, 31574–31581. [Google Scholar] [CrossRef]
- Kundu, M.K.; Bhowmik, T.; Mishra, R.; Barman, S. Platinum Nanostructure/Nitrogen-Doped Carbon Hybrid: Enhancing its Base Media HER/HOR Activity through Bifunctionality of the Catalyst. ChemSusChem 2018, 11, 2388–2401. [Google Scholar] [CrossRef] [PubMed]
- Miller, H.A.; Vizza, F.; Marelli, M.; Zadick, A.; Dubau, L.; Chatenet, M.; Geiger, S.; Cherevko, S.; Doan, H.; Pavlicek, R.K.; et al. Highly active nanostructured palladium-ceria electrocatalysts for the hydrogen oxidation reaction in alkaline medium. Nano Energy 2017, 33, 293–305. [Google Scholar] [CrossRef]
- Ohyama, J.; Sato, T.; Yamamoto, Y.; Arai, S.; Satsuma, A. Size Specifically High Activity of Ru Nanoparticles for Hydrogen Oxidation Reaction in Alkaline Electrolyte. J. Am. Chem. Soc. 2013, 135, 8016–8021. [Google Scholar] [CrossRef]
- Durst, J.; Simon, C.; Hasché, F.; Gasteiger, H.A. Hydrogen Oxidation and Evolution Reaction Kinetics on Carbon Supported Pt, Ir, Rh, and Pd Electrocatalysts in Acidic Media. J. Electrochem. Soc. 2015, 162, F190–F203. [Google Scholar] [CrossRef]
- Zheng, J.; Zhuang, Z.; Xu, B.; Yan, Y. Correlating Hydrogen Oxidation/Evolution Reaction Activity with the Minority Weak Hydrogen-Binding Sites on Ir/C Catalysts. ACS Catal. 2015, 5, 4449–4455. [Google Scholar] [CrossRef]
- Ohyama, J.; Sato, T.; Satsuma, A. High performance of Ru nanoparticles supported on carbon for anode electrocatalyst of alkaline anion exchange membrane fuel cell. J. Power Sources 2013, 225, 311–315. [Google Scholar] [CrossRef]
- Lu, S.; Zhuang, Z. Investigating the Influences of the Adsorbed Species on Catalytic Activity for Hydrogen Oxidation Reaction in Alkaline Electrolyte. J. Am. Chem. Soc. 2017, 139, 5156–5163. [Google Scholar] [CrossRef]
- Liu, D.; Lu, S.; Xue, Y.; Guan, Z.; Fang, J.; Zhu, W.; Zhuang, Z. One-pot synthesis of IrNi@Ir core-shell nanoparticles as highly active hydrogen oxidation reaction electrocatalyst in alkaline electrolyte. Nano Energy 2019, 59, 26–32. [Google Scholar] [CrossRef]
- Bakos, I.; Paszternák, A.; Zitoun, D. Pd/Ni Synergestic Activity for Hydrogen Oxidation Reaction in Alkaline Conditions. Electrochim. Acta 2015, 176, 1074–1082. [Google Scholar] [CrossRef]
- Henning, S.; Herranz, J.; Gasteiger, H.A. Bulk-Palladium and Palladium-on-Gold Electrocatalysts for the Oxidation of Hydrogen in Alkaline Electrolyte. J. Electrochem. Soc. 2014, 162, F178–F189. [Google Scholar] [CrossRef]
- Wang, G.; Li, W.; Wu, N.; Huang, B.; Xiao, L.; Lu, J.; Zhuang, L. Unraveling the composition-activity relationship of PtRu binary alloy for hydrogen oxidation reaction in alkaline media. J. Power Sources 2019, 412, 282–286. [Google Scholar] [CrossRef]
- Ohyama, J.; Kumada, D.; Satsuma, A. Improved hydrogen oxidation reaction under alkaline conditions by ruthenium–iridium alloyed nanoparticles. J. Mater. Chem. A 2016, 4, 15980–15985. [Google Scholar] [CrossRef]
- Marković, N.M.; Sarraf, S.T.; Gasteiger, H.A.; Ross, P.N., Jr. Hydrogen electrochemistry on platinum low-index single-crystal surfaces in alkaline solution. J. Chem. Soc. Faraday Trans. 1996, 92, 3719–3725. [Google Scholar] [CrossRef]
- Scofield, M.E.; Zhou, Y.; Yue, S.; Wang, L.; Su, D.; Tong, X.; Vukmirovic, M.B.; Adzic, R.R.; Wong, S.S. Role of Chemical Composition in the Enhanced Catalytic Activity of Pt-Based Alloyed Ultrathin Nanowires for the Hydrogen Oxidation Reaction under Alkaline Conditions. ACS Catal. 2016, 6, 3895–3908. [Google Scholar] [CrossRef]
- Davydova, E.S.; Mukerjee, S.; Jaouen, F.; Dekel, D.R. Electrocatalysts for Hydrogen Oxidation Reaction in Alkaline Electrolytes. ACS Catal. 2018, 8, 6665–6690. [Google Scholar] [CrossRef]
- Poudel, M.B.; Logeshwaran, N.; Kim, A.R.; Karthikeyan, S.C.; Vijayapradeep, S.; Yoo, D.J. Integrated core-shell assembly of Ni3S2 nanowires and CoMoP nanosheets as highly efficient bifunctional electrocatalysts for overall water splitting. J. Alloys Compd. 2023, 960, 170678. [Google Scholar] [CrossRef]
- Bampos, G.; Tsatsos, S.; Kyriakou, G.; Bebelis, S. Pd-based bimetallic electrocatalysts for hydrogen oxidation reaction in acidic medium. J. Electroanal. Chem. 2023, 928, 117008. [Google Scholar] [CrossRef]
- Bampos, G.; Bebelis, S.; Kondarides, D.I.; Verykios, X. Comparison of the Activity of Pd–M (M: Ag, Co, Cu, Fe, Ni, Zn) Bimetallic Electrocatalysts for Oxygen Reduction Reaction. Top. Catal. 2017, 60, 1260–1273. [Google Scholar] [CrossRef]
- Bampos, G.; Sygellou, L.; Bebelis, S. Oxygen reduction reaction activity of Pd-based bimetallic electrocatalysts in alkaline medium. Catal. Today 2019, 355, 685–697. [Google Scholar] [CrossRef]
- Bampos, G.; Kondarides, D.I.; Bebelis, S. Pd–Zn/C bimetallic electrocatalysts for oxygen reduction reaction. J. Appl. Electrochem. 2018, 48, 675–689. [Google Scholar] [CrossRef]
- Mayrhofer, K.J.J.; Strmcnik, D.; Blizanac, B.B.; Stamenkovic, V.; Arenz, M.; Markovic, N.M. Measurement of oxygen reduction activities via the rotating disc electrode method: From Pt model surfaces to carbon-supported high surface area catalysts. Electrochim. Acta 2008, 53, 3181–3188. [Google Scholar] [CrossRef]
- Strmcnik, D.; Kodama, K.; van der Vliet, D.; Greeley, J.; Stamenkovic, V.R.; Marković, N.M. The role of non-covalent interactions in electrocatalytic fuel-cell reactions on platinum. Nat. Chem. 2009, 1, 466–472. [Google Scholar] [CrossRef]
- Weber, D.J.; Janssen, M.; Oezaslan, M. Effect of Monovalent Cations on the HOR/HER Activity for Pt in Alkaline Environment. J. Electrochem. Soc. 2019, 166, F66–F73. [Google Scholar] [CrossRef]
- Rüetschi, P. Solubility and Diffusion of Hydrogen in Strong Electrolytes and the Generation and Consumption of Hydrogen in Sealed Primary Batteries. J. Electrochem. Soc. 1967, 114, 301. [Google Scholar] [CrossRef]
- Eliaz, N.; Gileadi, E. Physical Electrochemistry: Fundamentals, Techniques and Applications, 2nd ed.; WILEY-VCH: Weinheim, Germany, 2018; Chapter 4; p. 42. [Google Scholar]
- Zhang, J.; Qu, X.; Shen, L.; Li, G.; Zhang, T.; Zheng, J.; Ji, L.; Yan, W.; Han, Y.; Cheng, X.; et al. Engineering the Near-Surface of PtRu3 Nanoparticles to Improve Hydrogen Oxidation Activity in Alkaline Electrolyte. Small 2021, 17, 2006698. [Google Scholar] [CrossRef]
- Long, C.; Wang, K.; Shi, Y.; Yang, Z.; Zhang, X.; Zhang, Y.; Han, J.; Bao, Y.; Chang, L.; Liu, S.; et al. Tuning the electronic structure of PtRu bimetallic nanoparticles for promoting the hydrogen oxidation reaction in alkaline media. Inorg. Chem. Front. 2019, 6, 2900–2905. [Google Scholar] [CrossRef]
- Strasser, P.; Koh, S.; Anniyev, T.; Greeley, J.; More, K.; Yu, C.; Liu, Z.; Kaya, S.; Nordlund, D.; Ogasawara, H.; et al. Lattice-strain control of the activity in dealloyed core-shell fuel cell catalysts. Nat. Chem. 2010, 2, 454–460. [Google Scholar] [CrossRef] [PubMed]
- Shao, M.; Chang, Q.; Dodelet, J.-P.; Chenitz, R. Recent Advances in Electrocatalysts for Oxygen Reduction Reaction. Chem. Rev. 2016, 116, 3594–3657. [Google Scholar] [CrossRef]
- Mote, V.D.; Purushotham, Y.; Dole, B.N. Williamson-Hall analysis in estimation of lattice strain in nanometer-sized ZnO particles. J. Theor. Appl. Phys. 2012, 6, 1–8. [Google Scholar] [CrossRef]
- Qiu, Y.; Xin, L.; Li, Y.; McCrum, I.T.; Guo, F.; Ma, T.; Ren, Y.; Liu, Q.; Zhou, L.; Gu, S.; et al. BCC-Phased PdCu Alloy as a Highly Active Electrocatalyst for Hydrogen Oxidation in Alkaline Electrolytes. J. Am. Chem. Soc. 2018, 140, 16580–16588. [Google Scholar] [CrossRef]
- Hammer, B.; Nørskov, J.K. Theoretical surface science and catalysis—Calculations and concepts. Adv. Catal. 2000, 45, 71–129. [Google Scholar] [CrossRef]
- Nørskov, J.K.; Abild-Pedersen, F.; Studt, F.; Bligaard, T. Density functional theory in surface chemistry and catalysis. Proc. Natl. Acad. Sci. USA 2011, 108, 937–943. [Google Scholar] [CrossRef] [PubMed]
- Xu, C.; Hou, J.; Pang, X.; Li, X.; Zhu, M.; Tang, B. Nanoporous PtCo and PtNi alloy ribbons for methanol electrooxidation. Int. J. Hydrogen Energy 2012, 37, 10489–10498. [Google Scholar] [CrossRef]
- Greeley, J.; Mavrikakis, M. Alloy catalysts designed from first principles. Nat. Mater. 2004, 3, 810–815. [Google Scholar] [CrossRef]
- Stamenkovic, V.R.; Fowler, B.; Mun, B.S.; Wang, G.; Ross, P.N.; Lucas, C.A.; Marković, N.M. Improved Oxygen Reduction Activity on Pt3Ni(111) via Increased Surface Site Availability. Science 2007, 315, 493–497. [Google Scholar] [CrossRef]
- Oshchepkov, A.G.; Braesch, G.; Bonnefont, A.; Savinova, E.R.; Chatenet, M. Recent Advances in the Understanding of Nickel-Based Catalysts for the Oxidation of Hydrogen-Containing Fuels in Alkaline Media. ACS Catal. 2020, 10, 7043–7068. [Google Scholar] [CrossRef]
- An, L.; Zhao, X.; Zhao, T.; Wang, D. Atomic-level insight into reasonable design of metal-based catalysts for hydrogen oxidation in alkaline electrolytes. Energy Environ. Sci. 2021, 14, 2620–2638. [Google Scholar] [CrossRef]
- Wang, Y.-H.; Wang, X.-T.; Ze, H.; Zhang, X.-G.; Radjenovic, P.M.; Zhang, Y.-J.; Dong, J.-C.; Tian, Z.-Q.; Li, J.-F. Spectroscopic Verification of Adsorbed Hydroxy Intermediates in the Bifunctional Mechanism of the Hydrogen Oxidation Reaction. Angew. Chem. Int. Ed. 2021, 60, 5708–5711. [Google Scholar] [CrossRef]
- Li, J.; Ghoshal, S.; Bates, M.K.; Miller, T.E.; Davies, V.; Stavitski, E.; Attenkofer, K.; Mukerjee, S.; Ma, Z.-F.; Jia, Q. Experimental Proof of the Bifunctional Mechanism for the Hydrogen Oxidation in Alkaline Media. Angew. Chem. Int. Ed. 2017, 56, 15594–15598. [Google Scholar] [CrossRef] [PubMed]
- Sun, Y.; Dai, Y.; Liu, Y.; Chen, S. A rotating disk electrode study of the particle size effects of Pt for the hydrogen oxidation reaction. Phys. Chem. Chem. Phys. 2012, 14, 2278–2285. [Google Scholar] [CrossRef]
- Wang, H.; Abruña, H.D. Rh and Rh Alloy Nanoparticles as Highly Active H2 Oxidation Catalysts for Alkaline Fuel Cells. ACS Catal. 2019, 9, 5057–5062. [Google Scholar] [CrossRef]
- Kepp, K.P. A Quantitative Scale of Oxophilicity and Thiophilicity. Inorg. Chem. 2016, 55, 9461–9470. [Google Scholar] [CrossRef]
- Ross, J.R.H. Catalyst Characterization. In Contemporary Catalysis: Fundamentals and Current Applications; Elsevier B.V.: Amsterdam, The Netherlands, 2019; Chapter 5; p. 132. [Google Scholar] [CrossRef]









| Notation | Composition | SSA (m2 g−1) | Average Metal Particle Size (nm) | ECSACO (m2 g−1) |
|---|---|---|---|---|
| C | 100 wt.% Vulcan XC72R | 216 1 | - | - |
| 10 Pt | 10 wt.% Pt/C | 123 1 | 2.1 ± 0.7 1 | 15.0 2 |
| 10 Pd | 10 wt.% Pd/C | 143 1 | 4.0 ± 1.6 1 | 20.4 2 |
| 7.5 Pd-2.5 Ag | 7.5 wt.% Pd-2.5 wt.% Ag/C | 171 1 | 5.0 ± 2.0 1 | 14.0 2 |
| 7.5 Pd-2.5 Ca | 7.5 wt.% Pd-2.5 wt.% Ca/C | 62 2 | Not measured | 5.0 2 |
| 7.5 Pd-2.5 Co | 7.5 wt.% Pd-2.5 wt.% Co/C | 104 1 | Not measured | 3.9 2 |
| 7.5 Pd-2.5 Cu | 7.5 wt.% Pd-2.5 wt.% Cu/C | 119 1 | 5.2 ± 3.4 1 | 4.4 2 |
| 7.5 Pd-2.5 Fe | 7.5 wt.% Pd-2.5 wt.% Fe/C | 117 1 | Not measured | 4.7 2 |
| 7.5 Pd-2.5 Ni | 7.5 wt.% Pd-2.5 wt.% Ni/C | 118 1 | 3.0 ± 0.7 1 | 6.7 2 |
| 7.5 Pd-2.5 Ru | 7.5 wt.% Pd-2.5 wt.% Ru/C | 125 3 | 13.0 ± 1.7 3 | 5.5 |
| 7.5 Pd-2.5 Sn | 7.5 wt.% Pd-2.5 wt.% Sn/C | 141 2 | 8.5 ± 5.2 2 | 8.3 2 |
| 7.5 Pd-2.5 Zn | 7.5 wt.% Pd-2.5 wt.% Zn/C | 102 1 | 5.1 ± 1.9 1 | 4.9 2 |
| Notation | Reduction Temperature (°C) | SSA (m2 g−1) | Pd Crystallite Size (nm) | ECSACO (m2 g−1) |
|---|---|---|---|---|
| 7.5 Pd-2.5 Ni_200 | 200 | 98 | 0.8 ± 1.2 | 5.8 |
| 7.5 Pd-2.5 Ni_300 | 300 | 118 1 | 2.9 ± 0.5 | 6.7 2 |
| 7.5 Pd-2.5 Ni_450 | 450 | 120 | 3.2 ± 0.1 | 9.0 |
| 7.5 Pd-2.5 Ni_600 | 600 | 134 | 7.9 ± 0.2 | 3.6 |
| Notation | Composition | Pd:Ni Atomic Ratio | SSA (m2 g−1) | Pd Crystallite Size (nm) | ECSACO (m2 g−1) |
|---|---|---|---|---|---|
| 10 Pd | 10 wt.% Pd/C | - | 143 1 | 3.9 ± 0.9 | 20.4 2 |
| 8.4 Pd-1.6 Ni | 8.4 wt.% Pd-1.6 wt.% Ni/C | 3:1 | 141 | 2.5 ± 0.1 | 12.3 |
| 7.5 Pd-2.5 Ni | 7.5 wt.% Pd-2.5 wt.% Ni/C | 2:1 | 118 1 | 2.9 ± 0.5 | 6.7 2 |
| 6.4 Pd-3.6 Ni | 6.4 wt.% Pd-3.6 wt.% Ni/C | 1:1 | 112 | 4.9 ± 0.3 | 3.8 |
| 4.7 Pd-5.3 Ni | 4.7 wt.% Pd-5.3 wt.% Ni/C | 1:2 | 123 | 22.8 ± 2.1 | 4.0 |
| 3.7 Pd-6.3 Ni | 3.7 wt.% Pd-6.3 wt.% Ni/C | 1:3 | 155 | 16.7 ± 0.7 | 1.7 |
Disclaimer/Publisher’s Note: The statements, opinions and data contained in all publications are solely those of the individual author(s) and contributor(s) and not of MDPI and/or the editor(s). MDPI and/or the editor(s) disclaim responsibility for any injury to people or property resulting from any ideas, methods, instructions or products referred to in the content. |
© 2024 by the authors. Licensee MDPI, Basel, Switzerland. This article is an open access article distributed under the terms and conditions of the Creative Commons Attribution (CC BY) license (https://creativecommons.org/licenses/by/4.0/).
Share and Cite
Bampos, G.; Bebelis, S. Pd-Based Bimetallic Electrocatalysts for Hydrogen Oxidation Reaction in 0.1 M KOH Solution. Nanomaterials 2024, 14, 500. https://doi.org/10.3390/nano14060500
Bampos G, Bebelis S. Pd-Based Bimetallic Electrocatalysts for Hydrogen Oxidation Reaction in 0.1 M KOH Solution. Nanomaterials. 2024; 14(6):500. https://doi.org/10.3390/nano14060500
Chicago/Turabian StyleBampos, Georgios, and Symeon Bebelis. 2024. "Pd-Based Bimetallic Electrocatalysts for Hydrogen Oxidation Reaction in 0.1 M KOH Solution" Nanomaterials 14, no. 6: 500. https://doi.org/10.3390/nano14060500
APA StyleBampos, G., & Bebelis, S. (2024). Pd-Based Bimetallic Electrocatalysts for Hydrogen Oxidation Reaction in 0.1 M KOH Solution. Nanomaterials, 14(6), 500. https://doi.org/10.3390/nano14060500

