Progress in the Elimination of Organic Contaminants in Wastewater by Activation Persulfate over Iron-Based Metal–Organic Frameworks
Abstract
1. Introduction
2. Preparation and Modification of MOFs Catalysts
2.1. Synthesis of Fe-MOFs
2.1.1. Synthesis of MIL-Fe
Hydrothermal Method/Solvothermal Method
Microwave-Assisted Synthesis
Dry-Gel Conversion (DGC) Technology
2.1.2. Synthesis of ZIF-Fe
Hydrothermal Method
2.2. Modification of Fe-MOFs
2.2.1. Ionic Doping
2.2.2. Combining Functional Materials
Combining GO Material
Combining Biomass
2.2.3. Molecular Imprinting Technology (MIT)
3. Removal Performance of Pollutants
3.1. Removal Antibiotics
3.1.1. Removal of Sulfonamides
3.1.2. Removal of Tetracycline
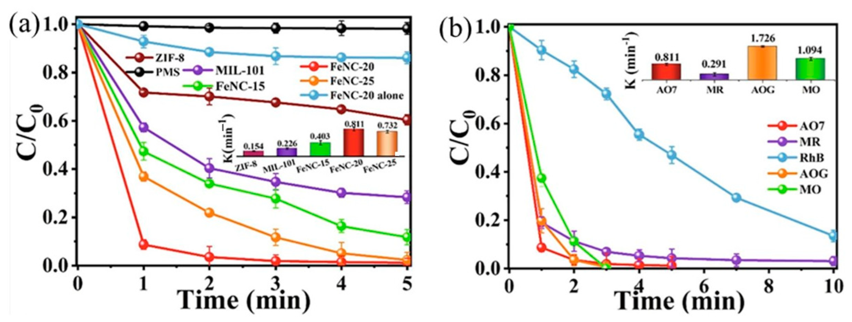
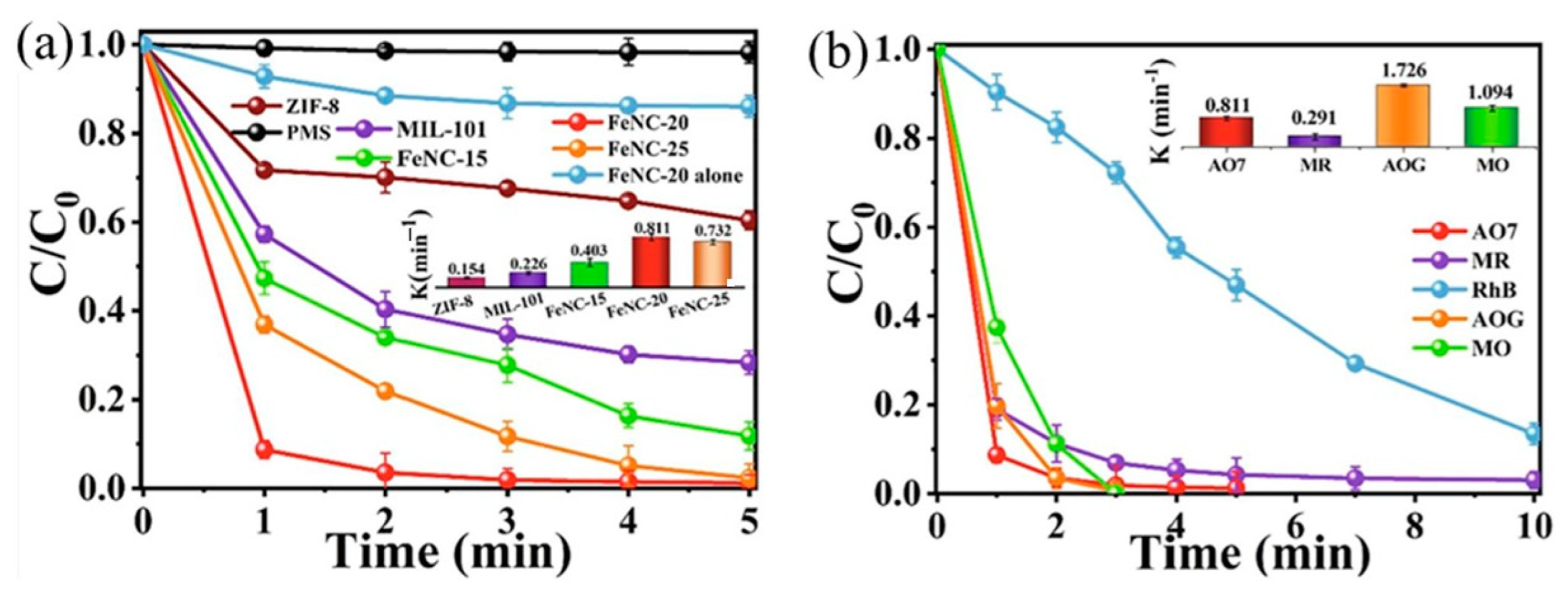
3.2. Removal of Organic Dyes
3.3. Removal of Phenols
3.4. The Comparison of Fe-MOFs with Other MOFs, and Materials
4. Degradation Mechanisms of Fe-MOFs/PS
4.1. Radical Pathway
4.2. Non-Radical Pathways
5. Conclusions
Author Contributions
Funding
Data Availability Statement
Conflicts of Interest
References
- Dong, Y.-D.; Shi, Y.; He, Y.-L.; Yang, S.-R.; Yu, S.-Y.; Xiong, Z.; Zhang, H.; Yao, G.; He, C.-S.; Lai, B. Synthesis of Fe–Mn-Based Materials and Their Applications in Advanced Oxidation Processes for Wastewater Decontamination: A Review. Ind. Eng. Chem. Res. 2023, 62, 10828–10848. [Google Scholar] [CrossRef]
- Liu, X.; Lu, S.; Guo, W.; Xi, B.; Wang, W. Antibiotics in the aquatic environments: A review of lakes, China. Sci. Total Environ. 2018, 627, 1195–1208. [Google Scholar] [CrossRef] [PubMed]
- Anh, H.Q.; Le, T.P.Q.; Da Le, N.; Lu, X.X.; Duong, T.T.; Garnier, J.; Rochelle-Newall, E.; Zhang, S.; Oh, N.-H.; Oeurng, C.; et al. Antibiotics in surface water of East and Southeast Asian countries: A focused review on contamination status, pollution sources, potential risks, and future perspectives. Sci. Total Environ. 2021, 764, 142865. [Google Scholar] [CrossRef] [PubMed]
- Delpiano, G.R.; Tocco, D.; Medda, L.; Magner, E.; Salis, A. Adsorption of Malachite Green and Alizarin Red S Dyes Using Fe-BTC Metal Organic Framework as Adsorbent. Int. J. Mol. Sci. 2021, 22, 788. [Google Scholar] [CrossRef] [PubMed]
- Li, Y.; Zhou, K.; He, M.; Yao, J. Synthesis of ZIF-8 and ZIF-67 using mixed-base and their dye adsorption. Microporous Mesoporous Mater. 2016, 234, 287–292. [Google Scholar] [CrossRef]
- Wang, Y.; Guo, W.; Li, X. Activation of persulfates by ferrocene–MIL-101(Fe) heterogeneous catalyst for degradation of bisphenol A. RSC Adv. 2018, 8, 36477–36483. [Google Scholar] [CrossRef] [PubMed]
- Yan, S.; Zhang, X.; Shi, Y.; Zhang, H. Natural Fe-bearing manganese ore facilitating bioelectro-activation of peroxymonosulfate for bisphenol A oxidation. Chem. Eng. J. 2018, 354, 1120–1131. [Google Scholar] [CrossRef]
- Naveira, C.; Rodrigues, N.; Santos, F.S.; Santos, L.N.; Neves, R.A.F. Acute toxicity of Bisphenol A (BPA) to tropical marine and estuarine species from different trophic groups. Environ. Pollut. 2021, 268, 115911. [Google Scholar] [CrossRef]
- Nazir, M.A.; Najam, T.; Shahzad, K.; Wattoo, M.A.; Hussain, T.; Tufail, M.K.; Shah, S.S.A.; Rehman, A.u. Heterointerface engineering of water stable ZIF-8@ZIF-67: Adsorption of rhodamine B from water. Surf. Interfaces 2022, 34, 102324. [Google Scholar] [CrossRef]
- Siew, W.Y.; Abu Bakar, N.H.H.; Abu Bakar, M.; Zainal Abidin, A. Influence of various Cu/Fe ratios on the surface properties of green synthesized Cu-Fe-BTC and it‘s relation to methylene blue adsorption. J. Hazard. Mater. 2021, 416, 125846. [Google Scholar] [CrossRef]
- Liu, Z.; He, W.; Zhang, Q.; Shapour, H.; Bakhtari, M.F. Preparation of a GO/MIL-101(Fe) Composite for the Removal of Methyl Orange from Aqueous Solution. ACS Omega 2021, 6, 4597–4608. [Google Scholar] [CrossRef] [PubMed]
- Li, J.; Wang, L.; Liu, Y.; Zeng, P.; Wang, Y.; Zhang, Y. Removal of Berberine from Wastewater by MIL-101(Fe): Performance and Mechanism. ACS Omega 2020, 5, 27962–27971. [Google Scholar] [CrossRef] [PubMed]
- Zhou, Y.; Fang, F.; Lv, Q.; Zhang, Y.; Li, X.; Li, J. Simultaneous removal of tetracycline and norfloxacin from water by iron-trimesic metal-organic frameworks. J. Environ. Chem. Eng. 2022, 10, 107403. [Google Scholar] [CrossRef]
- Zhang, S.; Wang, J.; Zhang, Y.; Ma, J.; Huang, L.; Yu, S.; Chen, L.; Song, G.; Qiu, M.; Wang, X. Applications of water-stable metal-organic frameworks in the removal of water pollutants: A review. Environ. Pollut. 2021, 291, 118076. [Google Scholar] [CrossRef] [PubMed]
- Xie, M.W.; Ma, Y.; Lin, D.M.; Xu, C.G.; Xie, F.Y.; Zeng, W. Bimetal-organic framework MIL-53(Co-Fe): An efficient and robust electrocatalyst for the oxygen evolution reaction. Nanoscale 2020, 12, 67–71. [Google Scholar] [CrossRef] [PubMed]
- Du, C.Y.; Zhang, Y.; Zhang, Z.; Zhou, L.; Yu, G.L.; Wen, X.F.; Chi, T.Y.; Wang, G.L.; Su, Y.H.; Deng, F.F.; et al. Fe-based metal organic frameworks (Fe-MOFs) for organic pollutants removal via photo-Fenton: A review. Chem. Eng. J. 2022, 431, 133932. [Google Scholar] [CrossRef]
- Mphuthi, L.E.; Erasmus, E.; Langner, E.H.G. Metal Exchange of ZIF-8 and ZIF-67 Nanoparticles with Fe(II) for Enhanced Photocatalytic Performance. ACS Omega 2021, 6, 31632–31645. [Google Scholar] [CrossRef]
- Sun, J.; Wan, J.; Wang, Y.; Yan, Z.; Ma, Y.; Ding, S.; Tang, M.; Xie, Y. Modulated construction of Fe-based MOF via formic acid modulator for enhanced degradation of sulfamethoxazole: Design, degradation pathways, and mechanism. J. Hazard. Mater. 2022, 429, 128299. [Google Scholar] [CrossRef]
- Liu, J.; Peng, C.; Shi, X. Preparation, characterization, and applications of Fe-based catalysts in advanced oxidation processes for organics removal: A review. Environ. Pollut. 2022, 293, 118565. [Google Scholar] [CrossRef]
- Martínez, F.; Leo, P.; Orcajo, G.; Díaz-García, M.; Sanchez-Sanchez, M.; Calleja, G. Sustainable Fe-BTC catalyst for efficient removal of mehylene blue by advanced fenton oxidation. Catal. Today 2018, 313, 6–11. [Google Scholar] [CrossRef]
- Lin, Y.; Zhang, Q.; Lou, Y.; Liu, G.; Li, S.; Chen, L.; Yuan, B.; Zou, D.; Chen, J. Efficient degradation of nizatidine by a Fe(II)/persulfate system activated with zero-valent iron. Chem. Eng. Res. Des. 2023, 193, 447–459. [Google Scholar] [CrossRef]
- Song, X.; Mo, J.; Fang, Y.; Luo, S.; Xu, J.; Wang, X. Synthesis of magnetic nanocomposite Fe3O4@ZIF-8@ZIF-67 and removal of tetracycline in water. Environ. Sci. Pollut. Res. 2022, 29, 35204–35216. [Google Scholar] [CrossRef]
- Wang, Y.; Gao, C.-Y.; Zhang, Y.-Z.; Leung, M.K.H.; Liu, J.-W.; Huang, S.-Z.; Liu, G.-L.; Li, J.-F.; Zhao, H.-Z. Bimetal-organic framework derived CoFe/NC porous hybrid nanorods as high-performance persulfate activators for bisphenol a degradation. Chem. Eng. J. 2021, 421, 127800. [Google Scholar] [CrossRef]
- Naik Shreyanka, S.; Theerthagiri, J.; Lee, S.J.; Yu, Y.; Choi, M.Y. Multiscale design of 3D metal–organic frameworks (M−BTC, M: Cu, Co, Ni) via PLAL enabling bifunctional electrocatalysts for robust overall water splitting. Chem. Eng. J. 2022, 446, 137045. [Google Scholar] [CrossRef]
- Xu, M.; Liu, D.; Yang, J.; Zhu, Q.; Wang, Y.; Sha, J. MIL-100(Fe) Metal–Organic Framework Nanospheres Embedded in Graphene Matrixes for Xanthine Fluorescence Sensing. ACS Appl. Nano Mater. 2021, 4, 7172–7181. [Google Scholar] [CrossRef]
- Li, H.; Eddaoudi, M.; O’Keeffe, M.; Yaghi, O.M. Design and synthesis of an exceptionally stable and highly porous metal-organic framework. Nature 1999, 402, 276–279. [Google Scholar] [CrossRef]
- Trung, T.K.; Ramsahye, N.A.; Trens, P.; Tanchoux, N.; Serre, C.; Fajula, F.; Férey, G. Adsorption of C5–C9 hydrocarbons in microporous MOFs MIL-100(Cr) and MIL-101(Cr): A manometric study. Microporous Mesoporous Mater. 2010, 134, 134–140. [Google Scholar] [CrossRef]
- Bajwa, R.A.; Farooq, U.; Ullah, S.; Salman, M.; Haider, S.; Hussain, R. Metal-organic framework (MOF) attached and their derived metal oxides (Co, Cu, Zn and Fe) as anode for lithium ion battery: A review. J. Energy Storage 2023, 72, 108708. [Google Scholar] [CrossRef]
- Ren, W.; Cheng, C.; Shao, P.; Luo, X.; Zhang, H.; Wang, S.; Duan, X. Origins of Electron-Transfer Regime in Persulfate-Based Nonradical Oxidation Processes. Environ. Sci. Technol. 2022, 56, 78–97. [Google Scholar] [CrossRef]
- Maklavany, D.M.; Rouzitalab, Z.; Bazmi, M.; Askarieh, M.; Nabavi-Pelesaraei, A. Eco-Environmental Analysis of Different Routes for the Synthesis of MIL-53(Fe): An Integrated Life Cycle Assessment and Life Cycle Cost Approaches. ACS Sustain. Chem. Eng. 2023, 11, 9816–9832. [Google Scholar] [CrossRef]
- Gu, A.; Chen, J.; Gao, Q.; Khan, M.M.; Wang, P.; Jiao, Y.; Zhang, Z.; Liu, Y.; Yang, Y. The preparation of Ag/ZIF-8@ZIF-67 core-shell composites as excellent catalyst for degradation of the nitroaromatic compounds. Appl. Surf. Sci. 2020, 516, 146160. [Google Scholar] [CrossRef]
- Ayoub, G.; Islamoglu, T.; Goswami, S.; Friščić, T.; Farha, O.K. Torsion Angle Effect on the Activation of UiO Metal–Organic Frameworks. ACS Appl. Mater. Interfaces 2019, 11, 15788–15794. [Google Scholar] [CrossRef] [PubMed]
- Al-Kutubi, H.; Gascon, J.; Sudhölter, E.J.R.; Rassaei, L. Electrosynthesis of Metal–Organic Frameworks: Challenges and Opportunities. ChemElectroChem 2015, 2, 462–474. [Google Scholar] [CrossRef]
- Kang, F.-Y.; Su, Y.-J.; Huang, X.-Z.; Zhao, Z.-L.; Liu, F.-Q. Microstructure and bactericidal properties of Cu-MOF, Zr-MOF and Fe-MOF. J. Central South Univ. 2023, 30, 3237–3247. [Google Scholar] [CrossRef]
- Moran, C.M.; Joshi, J.N.; Marti, R.M.; Hayes, S.E.; Walton, K.S. Structured Growth of Metal-Organic Framework MIL-53(Al) from Solid Aluminum Carbide Precursor. J. Am. Chem. Soc. 2018, 140, 9148–9153. [Google Scholar] [CrossRef]
- Kollmannsberger, K.L.; Kronthaler, L.; Jinschek, J.R.; Fischer, R.A. Defined metal atom aggregates precisely incorporated into metal-organic frameworks. Chem. Soc. Rev. 2022, 51, 9933–9959. [Google Scholar] [CrossRef]
- Zhang, H.; Hu, X.; Li, T.; Zhang, Y.; Xu, H.; Sun, Y.; Gu, X.; Gu, C.; Luo, J.; Gao, B. MIL series of metal organic frameworks (MOFs) as novel adsorbents for heavy metals in water: A review. J. Hazard. Mater. 2022, 429, 128271. [Google Scholar] [CrossRef]
- Tomar, S.; Singh, V.K. Review on synthesis and application of MIL-53. Mater. Today Proc. 2021, 43, 3291–3296. [Google Scholar] [CrossRef]
- Liu, N.; Jing, C.; Li, Z.; Huang, W.; Gao, B.; You, F.; Zhang, X. Effect of synthesis conditions on the photocatalytic degradation of Rhodamine B of MIL-53 (Fe). Mater. Lett. 2019, 237, 92–95. [Google Scholar] [CrossRef]
- Darvishi, S.; Javanbakht, S.; Heydari, A.; Kazeminava, F.; Gholizadeh, P.; Mahdipour, M.; Shaabani, A. Ultrasound-assisted synthesis of MIL-88 (Fe) coordinated to carboxymethyl cellulose fibers: A safe carrier for highly sustained release of tetracycline. Int. J. Biol. Macromol. 2021, 181, 937–944. [Google Scholar] [CrossRef] [PubMed]
- Luo, Y.; Tan, B.; Liang, X.; Wang, S.; Gao, X.; Zhang, Z.; Fang, Y. Dry Gel Conversion Synthesis of Hierarchical Porous MIL-100(Fe) and Its Water Vapor Adsorption/Desorption Performance. Ind. Eng. Chem. Res. 2019, 58, 7801–7807. [Google Scholar] [CrossRef]
- Zhao, H.; Gao, Y.; Zhang, B.; Wang, Q.; Xi, Z. Synthesis and adsorption performances of MIL-100(Fe) composites for air water intake. J. Solid State Chem. 2024, 329, 124350. [Google Scholar] [CrossRef]
- Gao, X.; Zhai, M.; Guan, W.; Liu, J.; Liu, Z.; Damirin, A. Controllable Synthesis of a Smart Multifunctional Nanoscale Metal–Organic Framework for Magnetic Resonance/Optical Imaging and Targeted Drug Delivery. ACS Appl. Mater. Interfaces 2017, 9, 3455–3462. [Google Scholar] [CrossRef]
- Cai, X.; Lin, J.; Pang, M. Facile Synthesis of Highly Uniform Fe-MIL-88B Particles. Cryst. Growth Des. 2016, 16, 3565–3568. [Google Scholar] [CrossRef]
- Das, A.; Roy, D.; Erukula, K.; De, S. Synthesis of pH responsive malononitrile functionalized metal organic framework MIL-100(Fe) for efficient adsorption of uranium U(VI) from real-life alkaline leach liquor. Chemosphere 2024, 348, 140780. [Google Scholar] [CrossRef]
- Wu, W.; Decker, G.E.; Weaver, A.E.; Arnoff, A.I.; Bloch, E.D.; Rosenthal, J. Facile and Rapid Room-Temperature Electrosynthesis and Controlled Surface Growth of Fe-MIL-101 and Fe-MIL-101-NH2. ACS Central Sci. 2021, 7, 1427–1433. [Google Scholar] [CrossRef]
- Khan, S.; Guan, Q.; Liu, Q.; Qin, Z.; Rasheed, B.; Liang, X.; Yang, X. Synthesis, modifications and applications of MILs Metal-organic frameworks for environmental remediation: The cutting-edge review. Sci. Total Environ. 2022, 810, 152279. [Google Scholar] [CrossRef] [PubMed]
- Dong, W.; Liu, X.; Shi, W.; Huang, Y. Metal–organic framework MIL-53(Fe): Facile microwave-assisted synthesis and use as a highly active peroxidase mimetic for glucose biosensing. RSC Adv. 2015, 5, 17451–17457. [Google Scholar] [CrossRef]
- Amaro-Gahete, J.; Klee, R.; Esquivel, D.; Ruiz, J.R.; Jiménez-Sanchidrián, C.; Romero-Salguero, F.J. Fast ultrasound-assisted synthesis of highly crystalline MIL-88A particles and their application as ethylene adsorbents. Ultrason. Sonochem. 2019, 50, 59–66. [Google Scholar] [CrossRef] [PubMed]
- Viswanathan, V.P.; Mathew, S.V.; Dubal, D.P.; Adarsh, N.N.; Mathew, S. Exploring the Effect of Morphologies of Fe(III) Metal-Organic Framework MIL-88A(Fe) on the Photocatalytic Degradation of Rhodamine B. ChemistrySelect 2020, 5, 7534–7542. [Google Scholar] [CrossRef]
- Zango, Z.U.; Jumbri, K.; Sambudi, N.S.; Hanif Abu Bakar, N.H.; Fathihah Abdullah, N.A.; Basheer, C.; Saad, B. Removal of anthracene in water by MIL-88(Fe), NH2-MIL-88(Fe), and mixed-MIL-88(Fe) metal–organic frameworks. RSC Adv. 2019, 9, 41490–41501. [Google Scholar] [CrossRef] [PubMed]
- Chalati, T.; Horcajada, P.; Couvreur, P.; Serre, C.; Ben Yahia, M.; Maurin, G.; Gref, R. Porous metal organic framework nanoparticles to address the challenges related to busulfan encapsulation. Nanomedicine 2011, 6, 1683–1695. [Google Scholar] [CrossRef]
- Martins, V.F.D.; Seabra, R.; Silva, P.; Ribeiro, A.M.; Cho, K.H.; Lee, U.H.; Chang, J.-S.; Loureiro, J.M.; Rodrigues, A.E.; Ferreira, A. C2/C3 Hydrocarbon Separation by Pressure Swing Adsorption on MIL-100(Fe). Ind. Eng. Chem. Res. 2020, 59, 10568–10582. [Google Scholar] [CrossRef]
- Huo, S.-H.; Yan, X.-P. Metal–organic framework MIL-100(Fe) for the adsorption of malachite green from aqueous solution. J. Mater. Chem. 2012, 22, 7449–7455. [Google Scholar] [CrossRef]
- Jeremias, F.; Khutia, A.; Henninger, S.K.; Janiak, C. MIL-100(Al, Fe) as water adsorbents for heat transformation purposes—A promising application. J. Mater. Chem. 2012, 22, 10148–10151. [Google Scholar] [CrossRef]
- Fang, Y.; Wen, J.; Zeng, G.; Jia, F.; Zhang, S.; Peng, Z.; Zhang, H. Effect of mineralizing agents on the adsorption performance of metal–organic framework MIL-100(Fe) towards chromium(VI). Chem. Eng. J. 2018, 337, 532–540. [Google Scholar] [CrossRef]
- Tan, F.; Liu, M.; Li, K.; Wang, Y.; Wang, J.; Guo, X.; Zhang, G.; Song, C. Facile synthesis of size-controlled MIL-100(Fe) with excellent adsorption capacity for methylene blue. Chem. Eng. J. 2015, 281, 360–367. [Google Scholar] [CrossRef]
- Yuan, B.; Wang, X.; Zhou, X.; Xiao, J.; Li, Z. Novel room-temperature synthesis of MIL-100(Fe) and its excellent adsorption performances for separation of light hydrocarbons. Chem. Eng. J. 2019, 355, 679–686. [Google Scholar] [CrossRef]
- Rattanakit, P.; Chutimasakul, T.; Darakai, V.; Nurerk, P.; Putnin, T. Gamma irradiation-assisted synthesis of ultrafine AgNPs incorporated in MIL-100(Fe) for efficient catalytic reduction of dye. S. Afr. J. Chem. Eng. 2024, 47, 270–278. [Google Scholar] [CrossRef]
- Ahmed, I.; Jeon, J.; Khan, N.A.; Jhung, S.H. Synthesis of a Metal–Organic Framework, Iron-Benezenetricarboxylate, from Dry Gels in the Absence of Acid and Salt. Cryst. Growth Des. 2012, 12, 5878–5881. [Google Scholar] [CrossRef]
- Dong, Y.; Hu, T.; Pudukudy, M.; Su, H.; Jiang, L.; Shan, S.; Jia, Q. Influence of microwave-assisted synthesis on the structural and textural properties of mesoporous MIL-101(Fe) and NH2-MIL-101(Fe) for enhanced tetracycline adsorption. Mater. Chem. Phys. 2020, 251, 123060. [Google Scholar] [CrossRef]
- Szczęśniak, B.; Borysiuk, S.; Choma, J.; Jaroniec, M. Mechanochemical synthesis of highly porous materials. Mater. Horiz. 2020, 7, 1457–1473. [Google Scholar] [CrossRef]
- Pangestu, A.; Lestari, W.W.; Wibowo, F.R.; Larasati, L. Green Electro-Synthesized MIL-101(Fe) and Its Aspirin Detoxification Performance Compared to MOF-808. J. Inorg. Organomet. Polym. Mater. 2022, 32, 1828–1839. [Google Scholar] [CrossRef]
- Suvaci, E.; Özel, E. Hydrothermal Synthesis. In Encyclopedia of Materials: Technical Ceramics and Glasses; Pomeroy, M., Ed.; Elsevier: Oxford, UK, 2021; pp. 59–68. [Google Scholar] [CrossRef]
- Mahmoudi, F.; Amini, M.M.; Sillanpää, M. Hydrothermal synthesis of novel MIL-100(Fe)@SBA-15 composite material with high adsorption efficiency towards dye pollutants for wastewater remediation. J. Taiwan Inst. Chem. Eng. 2020, 116, 303–313. [Google Scholar] [CrossRef]
- Couzon, N.; Ferreira, M.; Duval, S.; El-Achari, A.; Campagne, C.; Loiseau, T.; Volkringer, C. Microwave-Assisted Synthesis of Porous Composites MOF–Textile for the Protection against Chemical and Nuclear Hazards. ACS Appl. Mater. Interfaces 2022, 14, 21497–21508. [Google Scholar] [CrossRef]
- Zorainy, M.Y.; Kaliaguine, S.; Gobara, M.; Elbasuney, S.; Boffito, D.C. Microwave-Assisted Synthesis of the Flexible Iron-based MIL-88B Metal–Organic Framework for Advanced Energetic Systems. J. Inorg. Organomet. Polym. Mater. 2022, 32, 2538–2556. [Google Scholar] [CrossRef]
- Chaudhary, K.; Dhiman, D.; Venkatesu, P.; Masram, D.T. Classically Synthesized ZIF-8 and Au/ZIF-8 for Biocompatibility Assessment with Hemoglobin. ACS Sustain. Chem. Eng. 2022, 10, 12962–12967. [Google Scholar] [CrossRef]
- Zhou, L.; Jin, X.; Chen, Z. Zeolite Imidazolate Framework-8 Metal–Organic Frameworks Embedded with Bimetallic Fe/Pd Nanoparticles for Reductive Dechlorination. ACS Appl. Nano Mater. 2020, 3, 8088–8095. [Google Scholar] [CrossRef]
- Ighalo, J.O.; Rangabhashiyam, S.; Adeyanju, C.A.; Ogunniyi, S.; Adeniyi, A.G.; Igwegbe, C.A. Zeolitic Imidazolate Frameworks (ZIFs) for aqueous phase adsorption—A review. J. Ind. Eng. Chem. 2022, 105, 34–48. [Google Scholar] [CrossRef]
- Wang, H.; He, Q.; Liang, S.; Li, Y.; Zhao, X.; Mao, L.; Zhan, F.; Chen, L. Advances and perspectives of ZIFs-based materials for electrochemical energy storage: Design of synthesis and crystal structure, evolution of mechanisms and electrochemical performance. Energy Storage Mater. 2021, 43, 531–578. [Google Scholar] [CrossRef]
- Khudhair, E.M.; Kareem, Y.S.; Ammar, S.H.; Mahdi, A.S. Bimetallic (Fe/Zn-ZIF-8) crystals: Fabrication and adsorptive removal activity. Mater. Today Proc. 2023, in press. [CrossRef]
- Gholinejad, M.; Naghshbandi, Z.; Sansano, J.M. Zeolitic imidazolate frameworks-67 (ZIF-67) supported PdCu nanoparticles for enhanced catalytic activity in Sonogashira-Hagihara and nitro group reduction under mild conditions. Mol. Catal. 2022, 518, 112093. [Google Scholar] [CrossRef]
- Karimi, S.; Gholinejad, M.; Khezri, R.; Sansano, J.M.; Nájera, C.; Yus, M. Gold and palladium supported on an ionic liquid modified Fe-based metal–organic framework (MOF) as highly efficient catalysts for the reduction of nitrophenols, dyes and Sonogashira–Hagihara reactions. RSC Adv. 2023, 13, 8101–8113. [Google Scholar] [CrossRef]
- Wang, H.; Zhao, R.; Qin, J.; Hu, H.; Fan, X.; Cao, X.; Wang, D. MIL-100(Fe)/Ti3C2 MXene as a Schottky Catalyst with Enhanced Photocatalytic Oxidation for Nitrogen Fixation Activities. ACS Appl. Mater. Interfaces 2019, 11, 44249–44262. [Google Scholar] [CrossRef]
- Chang, S.; Liu, C.; Sun, Y.; Yan, Z.; Zhang, X.; Hu, X.; Zhang, H. Fe3O4 Nanoparticles Coated with Ag-Nanoparticle-Embedded Metal–Organic Framework MIL-100(Fe) for the Catalytic Reduction of 4-Nitrophenol. ACS Appl. Nano Mater. 2020, 3, 2302–2309. [Google Scholar] [CrossRef]
- Muschi, M.; Serre, C. Progress and challenges of graphene oxide/metal-organic composites. Coord. Chem. Rev. 2019, 387, 262–272. [Google Scholar] [CrossRef]
- He, L.; Zhou, J.; Liu, D.; Wen, Y.; Gan, Y. Preparation of Fe3O4@GO@MIL-101 nanocomposites and efficient degradation of oxytetracycline hydrochloride by promoting charge separation during the photo-Fenton process. Mater. Sci. Semicond. Process. 2024, 172, 108050. [Google Scholar] [CrossRef]
- Wang, Z.; Fang, Y.; Yang, Y.; Qiu, B.; Li, H. Vacancies-rich MOFs-derived magnetic CoFe encapsulated in N-doped carbon nanotubes as peroxymonosulfate activator for p-arsanilic acid removal. Chem. Eng. J. 2023, 454, 140474. [Google Scholar] [CrossRef]
- Liu, J.; Li, Y.J.; Lou, Z.C. Recent Advancements in MOF/Biomass and Bio-MOF Multifunctional Materials: A Review. Sustainability 2022, 14, 5768. [Google Scholar] [CrossRef]
- Chakhtouna, H.; Benzeid, H.; Zari, N.; Qaiss, A.e.k.; Bouhfid, R. Microwave-assisted synthesis of MIL–53(Fe)/biochar composite from date palm for ciprofloxacin and ofloxacin antibiotics removal. Sep. Purif. Technol. 2023, 308, 122850. [Google Scholar] [CrossRef]
- Zhao, Y.; Shi, J.; Wang, X.; Li, W.; Wu, Y.; Jiang, Z. Biomass@MOF-Derived Carbon Aerogels with a Hierarchically Structured Surface for Treating Organic Pollutants. Ind. Eng. Chem. Res. 2020, 59, 17529–17536. [Google Scholar] [CrossRef]
- Aryee, A.A.; Ma, Y.; Wang, J.; Han, R.; Qu, L. A magnetic biomass/MOF composite as a functional material for the oxidative removal of tetracycline: Degradation mechanism and toxicity study. J. Environ. Chem. Eng. 2023, 11, 110663. [Google Scholar] [CrossRef]
- Ding, S.; Wan, J.; Ma, Y.; Wang, Y.; Li, X.; Sun, J.; Pu, M. Targeted degradation of dimethyl phthalate by activating persulfate using molecularly imprinted Fe-MOF-74. Chemosphere 2021, 270, 128620. [Google Scholar] [CrossRef]
- Guo, Z.; Xu, W.; Xu, G.; Jia, Q. An updated overview of MOF@MIP in drug carrier and drug analysis: Construction, application and prospective. TrAC Trends Anal. Chem. 2023, 167, 117275. [Google Scholar] [CrossRef]
- Kandi, M.T.S.; Meshkat, S.S.; Hosseinzadeh, S.; Behroozsarand, A. Synthesis & characterization of novel MIP with RAFT polymerization of (2-hydroxy ethyl methacrylate)/chitosan as a nanocarrier for drug delivery applications. Int. J. Biol. Macromol. 2023, 250, 126052. [Google Scholar] [CrossRef]
- Li, Y.; Guan, C.; Liu, C.; Li, Z.; Han, G. Disease diagnosis and application analysis of molecularly imprinted polymers (MIPs) in saliva detection. Talanta 2024, 269, 125394. [Google Scholar] [CrossRef]
- Basak, S.; Venkatram, R.; Singhal, R.S. Recent advances in the application of molecularly imprinted polymers (MIPs) in food analysis. Food Control 2022, 139, 109074. [Google Scholar] [CrossRef]
- Meng, F.; Duan, M.; Wu, W.; Shao, S.; Qin, Y.; Zhang, M. Enzymatic construction Au NPs-rGO based MIP electrochemical sensor for adulteration detection of bovine-derived allergen in camel milk. Food Chem. 2024, 436, 137638. [Google Scholar] [CrossRef] [PubMed]
- Hawash, H.B.; Hagar, M.; Elkady, M.F.; Moneer, A.A.; Galhoum, A.A.; Attia, N.F.; Kassem, T.S. Synthesis and functionalization of cross-linked molecularly imprinted polymer (MIP) microwave-assisted for recognition and selective extraction of lead (II) and arsenic (V) from water: Isotherms modeling and integrative mechanisms. Chem. Eng. J. 2023, 475, 146019. [Google Scholar] [CrossRef]
- Ali, H.R.; Mostafa, H.Y.; Husien, S.; El-hoshoudy, A.N. Adsorption of BTX from produced water by using ultrasound-assisted combined multi-template imprinted polymer (MIPs); factorial design, isothermal kinetics, and Monte Carlo simulation studies. J. Mol. Liq. 2023, 370, 121079. [Google Scholar] [CrossRef]
- Lofgreen, J.E.; Ozin, G.A. Controlling morphology and porosity to improve performance of molecularly imprinted sol–gel silica. Chem. Soc. Rev. 2014, 43, 911–933. [Google Scholar] [CrossRef] [PubMed]
- Li, M.; Sun, P.; Wu, Q.; Liu, D.; Zhou, L. Core–shell magnetic metal–organic framework molecularly imprinted nanospheres for specific adsorption of tetrabromobisphenol A from water. Environ. Sci. Nano 2018, 5, 2651–2662. [Google Scholar] [CrossRef]
- Eskandari, H.; Amirzehni, M.; Asadollahzadeh, H.; Hassanzadeh, J.; Eslami, P.A. MIP-capped terbium MOF-76 for the selective fluorometric detection of cefixime after its preconcentration with magnetic graphene oxide. Sens. Actuators B Chem. 2018, 275, 145–154. [Google Scholar] [CrossRef]
- Jiang, P.; Niu, Y.; Cao, J.; Xie, D.; Li, J.; Guo, T. A MOF-doped molecularly imprinted polymer/MOF hybrid gel incorporating with pH-buffering sodium acrylate for practical detoxification of organophosphorus nerve agents. Chem. Eng. J. 2023, 481, 148377. [Google Scholar] [CrossRef]
- Li, X.; Wan, J.; Wang, Y.; Chi, H.; Yan, Z.; Ding, S. Selective removal and persulfate catalytic decomposition of diethyl phthalate from contaminated water on modified MIL100 through surface molecular imprinting. Chemosphere 2020, 240, 124875. [Google Scholar] [CrossRef]
- Gebremariam, S.K.; Mathai Varghese, A.; Reddy, K.S.K.; Fowad AlWahedi, Y.; Dumée, L.F.; Karanikolos, G.N. Polymer-aided microstructuring of moisture-stable GO-hybridized MOFs for carbon dioxide capture. Chem. Eng. J. 2023, 473, 145286. [Google Scholar] [CrossRef]
- Verma, C.; Rasheed, T.; Anwar, M.T.; Quraishi, M.A. From metal-organic frameworks (MOFs) to metal-doped MOFs (MDMOFs): Current and future scenarios in environmental catalysis and remediation applications. Microchem. J. 2023, 192, 108954. [Google Scholar] [CrossRef]
- Liang, C.; Guo, J.; Yue, L.; Wang, M.; Liang, J.; Wang, X.; Li, Y.; Yu, K. MOF-SnO2 nanoparticles composited with biomass-derived carbon used as high-performance anodes for lithium-ion batteries. Diam. Relat. Mater. 2023, 140, 110488. [Google Scholar] [CrossRef]
- Hu, S.; Pan, Y.; Yang, A.; Guo, Q.; Qiu, F.; Dai, M.; Huang, J. The core-shell structure of C/BiOBr@Co-MOF for efficient degradation of organic dyes under visible light. Surf. Interfaces 2024, 46, 103949. [Google Scholar] [CrossRef]
- Chi, H.; Li, C.; Huang, M.; Wan, J.; Zhou, X.; Yan, B. Targeted accumulation and spatial confinement effect of Fe(II)-MOFs@MIP for efficiently removing low concentration dibutyl phthalate. Chem. Eng. J. 2021, 424, 130367. [Google Scholar] [CrossRef]
- Huang, X.; Wen, D.; Wang, J. Radiation-induced degradation of sulfonamide and quinolone antibiotics: A brief review. Radiat. Phys. Chem. 2024, 215, 111373. [Google Scholar] [CrossRef]
- Wang, X.; Yin, R.; Zeng, L.; Zhu, M. A review of graphene-based nanomaterials for removal of antibiotics from aqueous environments. Environ. Pollut. 2019, 253, 100–110. [Google Scholar] [CrossRef]
- Wang, Z.; Li, Y.; Liang, X.; Zhang, S.; Shi, W.; Shen, J. Forcing immunoassay for sulfonamides to higher sensitivity and broader detection spectrum by site heterologous hapten inducing affinity improvement. Anal. Methods 2013, 5, 6990–7000. [Google Scholar] [CrossRef]
- Yang, S.; Che, D. Degradation of aquatic sulfadiazine by Fe0/persulfate: Kinetics, mechanisms, and degradation pathway. RSC Adv. 2017, 7, 42233–42241. [Google Scholar] [CrossRef]
- Asif, A.H.; Rafique, N.; Hirani, R.A.K.; Shi, L.; Wang, Y.; Duan, X.; Yin, Y.; Sun, H. MIL-53(Fe) derived magnetic CuFe2O4/Fe2O3 composite for catalytic oxidation of sulfamethoxazole via peroxymonsulfate activation. Chem. Eng. J. 2023, 469, 143915. [Google Scholar] [CrossRef]
- Xie, Y.; Wan, J.; Yan, Z.; Wang, Y.; Xiao, T.; Hou, J.; Chen, H. Targeted degradation of sulfamethoxazole in wastewater by molecularly imprinted MOFs in advanced oxidation processes: Degradation pathways and mechanism. Chem. Eng. J. 2022, 429, 132237. [Google Scholar] [CrossRef]
- Chen, L.; Liao, J.; Zhang, L.; Li, C.; He, S.; Ge, C. Rapid Laser-Induced Highly Dispersed and Ultrafine N-Doped Graphene-Wrapped FeCo2O4 Nanoparticles for Nearly 100% Utilization and Conversion of Peroxymonosulfate into Singlet Oxygen. ACS ES&T Water 2023, 3, 542–555. [Google Scholar] [CrossRef]
- Pu, M.; Wan, J.; Zhang, F.; Brusseau, M.L.; Ye, D.; Niu, J. Insight into degradation mechanism of sulfamethoxazole by metal-organic framework derived novel magnetic Fe@C composite activated persulfate. J. Hazard. Mater. 2021, 414, 125598. [Google Scholar] [CrossRef]
- Pu, M.; Niu, J.; Brusseau, M.L.; Sun, Y.; Zhou, C.; Deng, S.; Wan, J. Ferrous metal-organic frameworks with strong electron-donating properties for persulfate activation to effectively degrade aqueous sulfamethoxazole. Chem. Eng. J. 2020, 394, 125044. [Google Scholar] [CrossRef] [PubMed]
- Lin, Y.; Zhang, Y.; Li, G. Promotion of sulfameter degradation by coupling persulfate and photocatalytic advanced oxidation processes with Fe-doped MOFs. Sep. Purif. Technol. 2022, 282, 119632. [Google Scholar] [CrossRef]
- Wang, H.; Dai, Y.; Wang, Y.; Yin, L. One-pot solvothermal synthesis of Cu–Fe-MOF for efficiently activating peroxymonosulfate to degrade organic pollutants in water:Effect of electron shuttle. Chemosphere 2024, 352, 141333. [Google Scholar] [CrossRef]
- Fan, Y.-H.; Li, Y.-Q.; Hayat, F.; Liu, C.; Li, J.; Chen, M. Multi-targeted removal of coexisted antibiotics in water by the synergies of radical and non-radical pathways in PMS activation. Sep. Purif. Technol. 2023, 305, 122475. [Google Scholar] [CrossRef]
- Han, X.; Zhang, W.; Li, S.; Cheng, C.; Zhou, L.; Jia, Q.; Xiu, G. Efficient activation of peroxymonosulfate by MnS/Fe-MOF hybrid catalyst for sulfadiazine degradation: Synergistic effects and mechanism. Sep. Purif. Technol. 2022, 287, 120509. [Google Scholar] [CrossRef]
- Lu, J.; Zhou, Y.; Zhou, Y. Efficiently activate peroxymonosulfate by Fe3O4@MoS2 for rapid degradation of sulfonamides. Chem. Eng. J. 2021, 422, 130126. [Google Scholar] [CrossRef]
- Fan, W.-J.; Shi, H.; Chen, J.; Tan, D. Novel conjugated microporous polymers for efficient tetracycline adsorption: Insights from theoretical investigations. J. Mol. Graph. Model. 2024, 126, 108655. [Google Scholar] [CrossRef]
- Li, W.; Zhang, H.; Lu, T.; Li, Y.; Song, Y.; Shang, Z.; Liu, S.; Li, D.; Qi, Z. Effects of divalent metal cations and inorganic anions on the transport of tetracycline in saturated porous media: Column experiments and numerical simulations. Environ. Sci. Process. Impacts 2019, 21, 1153–1163. [Google Scholar] [CrossRef]
- Xie, X.; Liu, Y.; Li, Y.; Tao, J.; Liu, C.; Feng, J.; Feng, L.; Shan, Y.; Yang, S.; Xu, K. Nitrogen-doped Fe-MOFs derived carbon as PMS activator for efficient degradation of tetracycline. J. Taiwan Inst Chem. Eng. 2023, 146, 104891. [Google Scholar] [CrossRef]
- Zhang, Y.; Wei, J.; Xing, L.; Li, J.; Xu, M.; Pan, G.; Li, J. Superoxide radical mediated persulfate activation by nitrogen doped bimetallic MOF (FeCo/N-MOF) for efficient tetracycline degradation. Sep. Purif. Technol. 2022, 282, 120124. [Google Scholar] [CrossRef]
- Tang, C.; Cheng, M.; Lai, C.; Li, L.; Wei, Z.; Ma, D.; Du, L.; Wang, G.; Yang, L.; Tang, L. Multiple path-dominated activation of peroxymonosulfate by MOF-derived Fe2O3/Mn3O4 for catalytic degradation of tetracycline. J. Environ. Chem. Eng. 2023, 11, 110395. [Google Scholar] [CrossRef]
- Fan, Y.; Zhang, W.; He, K.; Wang, L.; Wang, Q.; Liu, J. Half-salen Fe(III) covalently post-modified MIL-125(Ti)-NH2 MOF for effective photocatalytic peroxymonosulfate activation. Appl. Surf. Sci. 2022, 591, 153115. [Google Scholar] [CrossRef]
- Song, Y.; Zhou, J.; Zhu, Z.; Li, X.; Zhang, Y.; Shen, X.; O’Reilly, P.; Li, X.; Liang, X.; Jiang, L.; et al. Heterostructure particles enable omnidispersible in water and oil towards organic dye recycle. Nat. Commun. 2023, 14, 5779. [Google Scholar] [CrossRef] [PubMed]
- Xiuyan, L.; Ji, Z.; Hancheng, M.; Fanyi, K.; Cong, T.; Jingang, H.; Chuyan, Y.; Xiangyang, X.; Sheng, T. Degradation of acid orange 7 (AO7) by a bacterium strain Flavobacterium mizutaii L-15. Water Sci. Technol. 2020, 82, 266–272. [Google Scholar] [CrossRef]
- Li, M.; Li, Z.; Yu, X.; Wu, Y.; Mo, C.; Luo, M.; Li, L.; Zhou, S.; Liu, Q.; Wang, N.; et al. FeN4-doped carbon nanotubes derived from metal organic frameworks for effective degradation of organic dyes by peroxymonosulfate: Impacts of FeN4 spin states. Chem. Eng. J. 2022, 431, 133339. [Google Scholar] [CrossRef]
- Zhong, D.; Liu, P.; Liu, Y.; Xu, Y. Nitrogen-doped Zn/Fe@PCN derived from metal–organic frameworks activating persulfate to efficiently degrade rhodamine B. Environ. Sci. Pollut. Res. 2023, 31, 2228–2242. [Google Scholar] [CrossRef]
- Yanan, S.; Xing, X.; Yue, Q.; Gao, B.; Li, Y. Nitrogen-doped carbon nanotubes encapsulating Fe/Zn nanoparticles as a persulfate activator for sulfamethoxazole degradation: Role of encapsulated bimetallic nanoparticles and nonradical reaction. Environ. Sci. Nano 2020, 7, 1444–1453. [Google Scholar] [CrossRef]
- Xiao, Z.; Wu, R.; Shu, T.; Wang, Y.; Li, L. Synthesis of Co-doped Fe metal–organic framework MIL-101(Fe,Co) and efficient degradation of organic dyes in water. Sep. Purif. Technol. 2023, 304, 122300. [Google Scholar] [CrossRef]
- Wang, Q.; Lu, J.; Yu, M.; Li, H.; Lin, X.; Nie, J.; Lan, N.; Wang, Z. Sulfur vacancy rich MoS2/FeMoO4 composites derived from MIL-53(Fe) as PMS activator for efficient elimination of dye: Nonradical 1O2 dominated mechanism. Environ. Pollut. 2023, 333, 121990. [Google Scholar] [CrossRef]
- Khan, A.S.; Ibrahim, T.H.; Jabbar, N.A.; Khamis, M.I.; Nancarrow, P.; Mjalli, F.S. Ionic liquids and deep eutectic solvents for the recovery of phenolic compounds: Effect of ionic liquids structure and process parameters. RSC Adv. 2021, 11, 12398–12422. [Google Scholar] [CrossRef]
- Wan, Y.; Zhang, W.; Han, X.; Zhou, L.; Zhen, H.; Wu, C.; Yu, Q.; Xiu, G. B,N-decorated carbocatalyst based on Fe-MOF/BN as an efficient peroxymonosulfate activator for bisphenol A degradation. J. Hazard. Mater. 2022, 430, 127832. [Google Scholar] [CrossRef]
- Huang, M.; Wang, Y.; Wan, J.; Ma, Y.; Chi, H.; Xu, Y.; Qiu, S. Facile construction of highly reactive and stable defective iron-based metal organic frameworks for efficient degradation of Tetrabromobisphenol A via persulfate activation. Environ. Pollut. 2020, 256, 113399. [Google Scholar] [CrossRef]
- Li, X.; Liao, F.; Ye, L.; Yeh, L. Controlled pyrolysis of MIL-88A to prepare iron/carbon composites for synergistic persulfate oxidation of phenol: Catalytic performance and mechanism. J. Hazard. Mater. 2020, 398, 122938. [Google Scholar] [CrossRef]
- Zhao, Y.; Gao, R.; Wang, H.; Sun, Y.; Zhan, X.; Chen, L.; Liu, J.; Shi, H. ZIF-8-derived hollow carbon polyhedra with highly accessible single Mn-N6 sites as peroxymonosulfate activators for efficient sulfamethoxazole degradation. Chem. Eng. J. 2023, 473, 145298. [Google Scholar] [CrossRef]
- Guo, Y.; Guo, Z.; Wei, J.; Zhang, J.; Huang, Y.; Hao, T.; Xu, D. Efficient degradation of sulfamethoxazole by a peroxymonosulfate system activated by g-C3N4@polyethylene glycol-derived carbon-nitrogen nanosheets: The key roles of N and O groups. Sep. Purif. Technol. 2024, 337, 126267. [Google Scholar] [CrossRef]
- Zhu, W.; Ndayiragije, S.; Zuo, X.; Zhang, X.; Wang, G.; Wang, X. ZIF-8-derived single-atom Cu and N co-coordinated porous carbon as bifunctional material for SMX removal. J. Environ. Chem. Eng. 2022, 10, 107758. [Google Scholar] [CrossRef]
- Tian, S.Q.; Wang, L.; Liu, Y.L.; Yang, T.; Huang, Z.S.; Wang, X.S.; He, H.Y.; Jiang, J.; Ma, J. Enhanced Permanganate Oxidation of Sulfamethoxazole and Removal of Dissolved Organics with Biochar: Formation of Highly Oxidative Manganese Intermediate Species and in Situ Activation of Biochar. Environ. Sci. Technol. 2019, 53, 5282–5291. [Google Scholar] [CrossRef] [PubMed]
- Wang, Z.; Chen, Z.; Li, Q.; Wang, J.; Cao, L.; Cheng, Y.; Yu, S.; Liu, Z.; Chen, Y.; Yue, S.; et al. Non-Radical Activation of Peracetic Acid by Powdered Activated Carbon for the Degradation of Sulfamethoxazole. Environ. Sci. Technol. 2023, 57, 10478–10488. [Google Scholar] [CrossRef] [PubMed]
- Ntelane, T.S.; Feleni, U.; Mthombeni, N.H.; Kuvarega, A.T. CuFeS(2) supported on dendritic mesoporous silica-titania for persulfate-assisted degradation of sulfamethoxazole under visible light. J. Colloid. Interface Sci. 2024, 654, 660–676. [Google Scholar] [CrossRef] [PubMed]
- Liu, W.; Lu, Y.; Dong, Y.; Jin, Q.; Lin, H. A critical review on reliability of quenching experiment in advanced oxidation processes. Chem. Eng. J. 2023, 466, 143161. [Google Scholar] [CrossRef]
- Wang, J.; Wang, S. Reactive species in advanced oxidation processes: Formation, identification and reaction mechanism. Chem. Eng. J. 2020, 401, 126158. [Google Scholar] [CrossRef]
- Chen, L.; Duan, J.; Du, P.; Sun, W.; Lai, B.; Liu, W. Accurate identification of radicals by in-situ electron paramagnetic resonance in ultraviolet-based homogenous advanced oxidation processes. Water Res. 2022, 221, 118747. [Google Scholar] [CrossRef]
- Yu, J.; Cao, J.; Yang, Z.; Xiong, W.; Xu, Z.; Song, P.; Jia, M.; Sun, S.; Zhang, Y.; Zhu, J. One-step synthesis of Mn-doped MIL-53(Fe) for synergistically enhanced generation of sulfate radicals towards tetracycline degradation. J. Colloid. Interface Sci. 2020, 580, 470–479. [Google Scholar] [CrossRef] [PubMed]
























| Catalysts | Organic Ligands | Synthesis Methods | SBET (m2/g) | Temperature (°C) | Ref. |
|---|---|---|---|---|---|
| MIL-53(Fe) | DMF | Solvothermal | 1415 | 493 | [38] |
| MIL-53(Fe) | DMF | Microwave-assisted | / | 150 | [48] |
| MIL-88(Fe) | DMF | Ultrasound-assisted | 359 | 85 | [49] |
| MIL-88(Fe) | H2O | Solvothermal | 26.22 | 100 | [50] |
| MIL-88(Fe) | DMF | Microwave-assisted | 1242 | 150 | [51] |
| MIL-88(Fe) | DMF | Solvothermal | 209.83 | / | [44] |
| MIL-100(Fe) | HF | Microwave-assisted | / | 200 | [52] |
| MIL-100(Fe) | DMF | Solvothermal | / | 160 | [53] |
| MIL-100(Fe) | HF, H2O | Solvothermal | 1626 | 150 | [54] |
| MIL-100(Fe) | HF | Solvothermal | 1917 | 150 | [55] |
| MIL-100(Fe) | Na2CO3 | Solvothermal | 1327 | 160 | [56] |
| MIL-100(Fe) | DMF | Solvothermal | 1501 | 150 | [57] |
| MIL-100(Fe) | DMF | Radical-promoted facile | 2482 | 25 | [58] |
| MIL-100(Fe) | DMF | Gamma irradiation-assisted | / | 180 | [59] |
| MIL-100(Fe) | H2O | Dry-gel conversion | 1340 | 165 | [60] |
| MIL-101(Fe) | DMF | Microwave-assisted | 383 | 110 | [61] |
| MIL-101(Fe) | DMF | Hydrothermal | 3500 | / | [62] |
| MIL-101(Fe) | DMF | Electrochemical | / | 25 | [63] |
| Method | Advantages | Disadvantages |
|---|---|---|
| Hydrothermal | Simple operation, easy to obtain raw materials, the most widely used, the most mature technology | Complex reaction, high risk, low efficiency, slow reaction rate, environmental concerns |
| Microwave-assisted | Fast reaction rate, short reaction time, uniform particle size, high yield, high phase purity | Complex operation, high technical requirements, immature technology, few relevant applications |
| Dry-gel conversion technology | Reduced water consumption, very mild reaction conditions, low vapor pressure and convenient | Difficult to operate, small application range, harsh conditions |
| Method | Advantages | Disadvantages |
|---|---|---|
| Combining GO material | Higher surface atomic density and enhanced surface dispersion, surface area, and porosity for enhanced selectivity and adsorption capacity | Processing issues such as dust and clustering, high compression pressures often lead to fracture or deformation of Fe-MOFs crystals and loss of properties |
| Ionic doping | Ionic characterization incorporated into Fe-MOFs to improve selectivity, application range, and enhance catalytic efficiency | Different reaction conditions for different ions, long preparation reaction time, few available results |
| Combining biomass | Environmentally friendly, strong adsorption performance, low cost, easy access to raw materials | Long pretreatment time, poor thermal stability, harsh binding conditions, fragile biomass structure |
| Molecular imprinting technology | Specific selection, targeted degradation, high catalytic efficiency and reusability | Difficult to synthesize, many steps, complex operation, time-consuming preparation, small application range |
| Fe-MOFs | Contaminant | Structure | Degradation Rate | Ref. |
|---|---|---|---|---|
| MIL-53(Fe) 0.2 g/L | SMX 20 mg/L | ![]() | 40% | [106] |
| NH2-MIL-53(Fe) 0.05 g/L | SMX 20 mg/L | ![]() | / | [107] |
| LI-FeCo2O4@NDG 0.6 g/L | SMX 0.5 mM | ![]() | 92.2% | [108] |
| Fe@C 0.4 g/L | SMX 10 mg/L | ![]() | 76.2% | [109] |
| Fe-MOFs-2 1 g/L | SMX 10 mg/L | ![]() | 95.1% | [18] |
| Fe(II)MOFs 0.5 g/L | SMX 0.04 mM | ![]() | 88.9% | [110] |
| Fe-UiO-66 0.2 g/L | SMX 10 mg | ![]() | 89.9% | [111] |
| Cu-Fe-MOF 0.2 g/L | SMX 20 mg/L | ![]() | 98.9% | [112] |
| Fe-MOF-CC@MoS2 0.2 g/L | SMX 20 mg/L | ![]() | 80.8% | [113] |
| MnS/Fe-MOF 0.2 g/L | SDZ 5 mg/L | ![]() | 100% | [114] |
| Fe3O4@MoS2-3 0.4 g/L | SA 20 mg/L | 99.8% | [115] |
| Fe-MOFs | Contaminants | Structure | Degradation Rate | Ref |
|---|---|---|---|---|
| Fe-NPC-600 15 mg/L | TC 30 mg/L | ![]() | 82% | [118] |
| FeCo/N-MOF 0.2 g/L | TC 50 mg/L | ![]() | 98.6% | [119] |
| MPN@NH2-MIL-101(Fe) | TC | ![]() | 87% | [83] |
| MOF-derived Fe2O3/Mn3O4 0.2 g/L | TC 10 mg/L | ![]() | 86.3% | [120] |
| Cu-Fe-MOF 0.2 g/L | TC 20 mg/L | ![]() | 96.7% | [112] |
| Fe-MOF-CC@MoS2 0.2 g/L | TC 20 mg/L | ![]() | 96.5% | [113] |
| MIL-125(Ti)-NH 2-Sal-Fe 0.1 g/L | TC 0.02 g/L | ![]() | 93.2% | [121] |
| Fe-MOFs | Contaminants | Structure | Degradation Rate | Ref. |
|---|---|---|---|---|
| Fe-NC nanocomposites 2 mg/L | AO7 50 mg/L | ![]() | 100% | [124] |
| Zn/Fe@PCN 0.1 g/L | RhB 50 mg/L | ![]() | 90.43% | [125] |
| MIL-101(Fe, Co) 0.2 g/L | RhB 10 mg/L | ![]() | 98.60% | [127] |
| MoS2/FeMoO4 0.15 g/L | RhB 20 mg/L | ![]() | 97.7% | [128] |
| Cu-Fe-MOF 0.2 g/L | RhB 20 mg/L | ![]() | 99.4% | [112] |
| Cu-Fe-MOF 0.2 g/L | MB 20 mg/L | ![]() | 97.4% | [112] |
| Fe-MOFs | Contaminants | Structure | Degradation Rate | Ref |
|---|---|---|---|---|
| MIL-101(Fe) 0.2 g/L | BPA 60 mg/L | ![]() | 78% | [6] |
| Fe@BPC 150 mg/L | BPA 20 mg/L | ![]() | 93.3% | [130] |
| Cu-Fe-MOF 0.2 g/L | BPA 20 mg/L | ![]() | 96.7% | [112] |
| Fe(BDC)(DMF,F)-OA | TBBPA | ![]() | 90.13% | [131] |
| Cu-Fe-MOF 0.5 g/L | Phenol 50 mg/L | ![]() | 97.9% | [112] |
| FexC-600 0.3 g/L | Phenol 20 mg/L | ![]() | 98.23% | [132] |
| Cu-Fe-MOF 0.5 g/L | 2,4-Dichlorophenol 20 mg/L | ![]() | 95.2% | [112] |
| Materials | Contaminants | Structure | Degradation Rate | Ref. |
|---|---|---|---|---|
| LI-FeCo2O4@NDG 0.6 g/L | SMX 0.5 mM | ![]() | 92.2% | [108] |
| C-ZIF8-Mn@g-C3N4 0.01g/L | SMX 10 mg/L | ![]() | 66.9% | [133] |
| CN7 0.1 g/L | SMX 20 mg/L | ![]() | 93.75% | [134] |
| Cu-N-C 0.2 g/L | SMX 18 mg/L | ![]() | 100% | [135] |
| KMnO4/biochar 100 μm/50 mg/L | SMX 10 μM | ![]() | 97% | [136] |
| Powder active carbon 0.02g/L | SMX 10 μM | ![]() | 53% | [137] |
| Dendritic mesoporous silica-titania coupled with CuFeS3 1.2g/L | SMX 10mg/L | ![]() | 88.9% | [138] |
Disclaimer/Publisher’s Note: The statements, opinions and data contained in all publications are solely those of the individual author(s) and contributor(s) and not of MDPI and/or the editor(s). MDPI and/or the editor(s) disclaim responsibility for any injury to people or property resulting from any ideas, methods, instructions or products referred to in the content. |
© 2024 by the authors. Licensee MDPI, Basel, Switzerland. This article is an open access article distributed under the terms and conditions of the Creative Commons Attribution (CC BY) license (https://creativecommons.org/licenses/by/4.0/).
Share and Cite
Zhi, K.; Xu, J.; Li, S.; Luo, L.; Liu, D.; Li, Z.; Guo, L.; Hou, J. Progress in the Elimination of Organic Contaminants in Wastewater by Activation Persulfate over Iron-Based Metal–Organic Frameworks. Nanomaterials 2024, 14, 473. https://doi.org/10.3390/nano14050473
Zhi K, Xu J, Li S, Luo L, Liu D, Li Z, Guo L, Hou J. Progress in the Elimination of Organic Contaminants in Wastewater by Activation Persulfate over Iron-Based Metal–Organic Frameworks. Nanomaterials. 2024; 14(5):473. https://doi.org/10.3390/nano14050473
Chicago/Turabian StyleZhi, Keke, Jiajun Xu, Shi Li, Lingjie Luo, Dong Liu, Zhe Li, Lianghui Guo, and Junwei Hou. 2024. "Progress in the Elimination of Organic Contaminants in Wastewater by Activation Persulfate over Iron-Based Metal–Organic Frameworks" Nanomaterials 14, no. 5: 473. https://doi.org/10.3390/nano14050473
APA StyleZhi, K., Xu, J., Li, S., Luo, L., Liu, D., Li, Z., Guo, L., & Hou, J. (2024). Progress in the Elimination of Organic Contaminants in Wastewater by Activation Persulfate over Iron-Based Metal–Organic Frameworks. Nanomaterials, 14(5), 473. https://doi.org/10.3390/nano14050473






































