Optimization of the Consolidation Parameters for Enhanced Thermoelectric Properties of Gr-Bi2Te2.55Se0.45 Nanocomposites
Abstract
1. Introduction
2. Materials and Methods
2.1. Materials, Synthesis, and HP Optimization of Ball-Milled Gr-Bi2Te2.55Se0.45
2.2. Characterization
2.3. Thermoelectric Properties Measurements
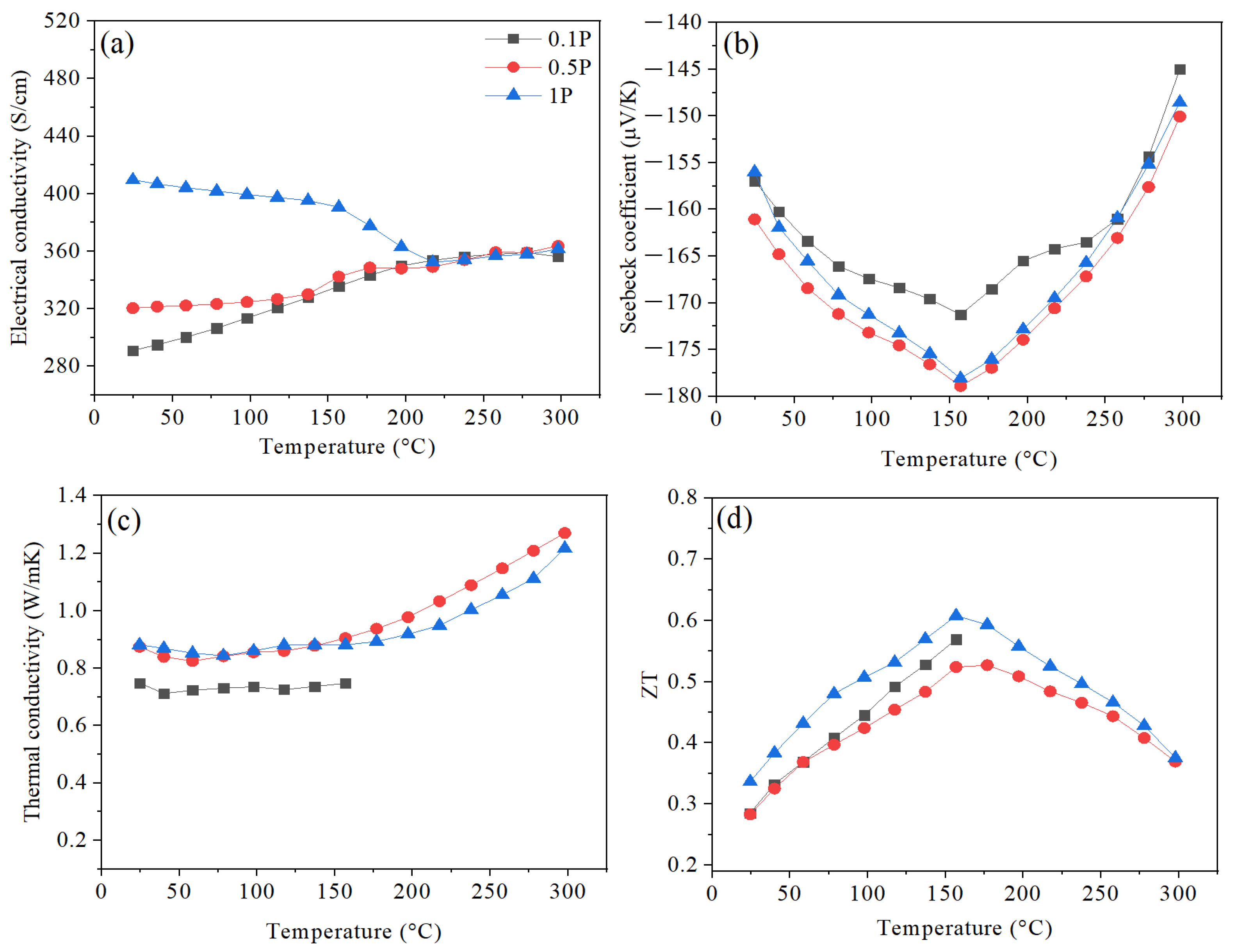
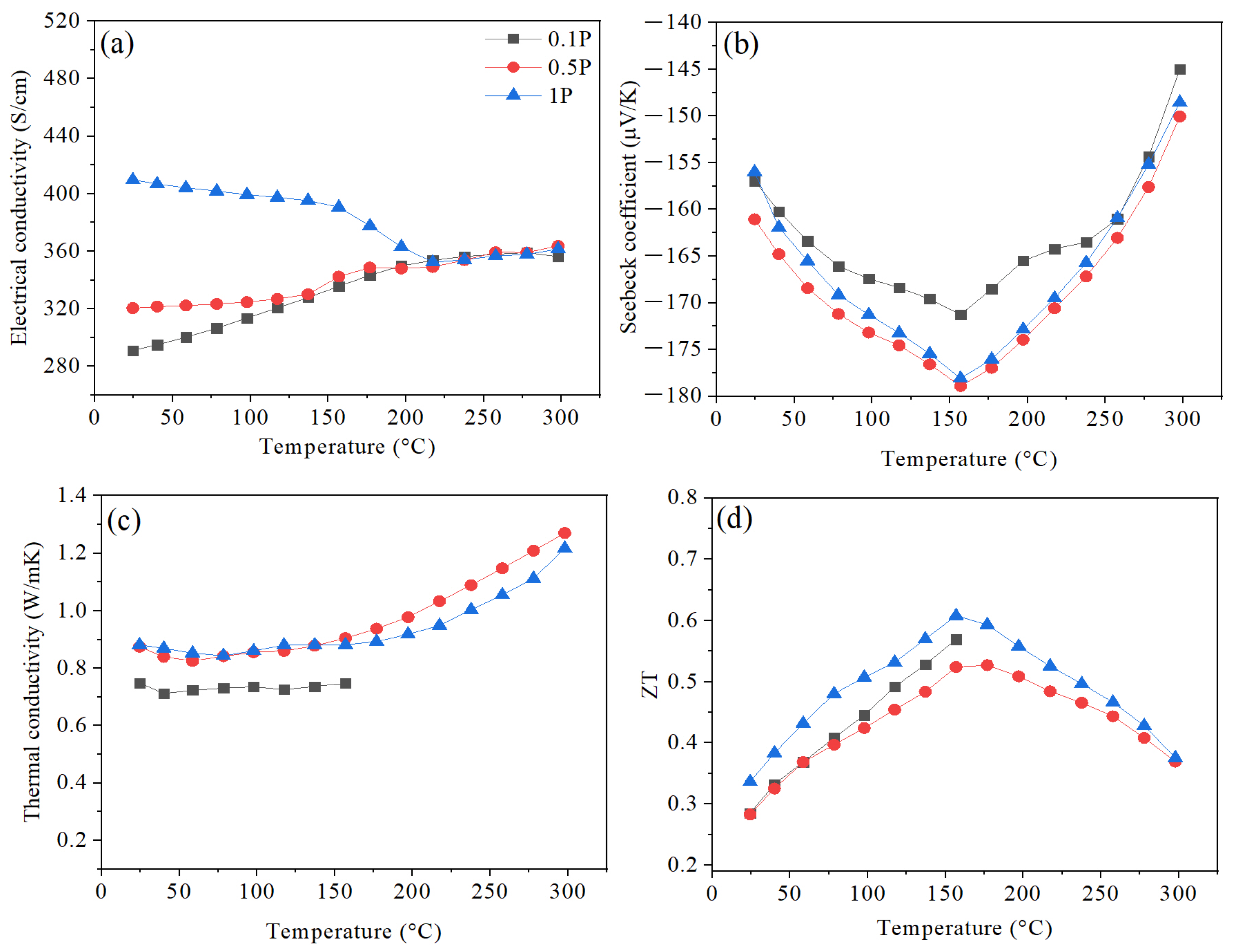
3. Results and Discussion
4. Conclusions
Author Contributions
Funding
Data Availability Statement
Acknowledgments
Conflicts of Interest
References
- El-Makaty, F.M.; Ahmed, H.K.; Youssef, K.M. Review: The effect of different nanofiller materials on the thermoelectric behavior of bismuth telluride. Mater. Des. 2021, 209, 109974. [Google Scholar] [CrossRef]
- Fatima, N.; Karimov, K.S.; Qasuria, T.A.; Ibrahim, M.A. A novel and stable way for energy harvesting from Bi2Te3Se alloy based semitransparent photo-thermoelectric module. J. Alloys Compd. 2020, 849, 156702. [Google Scholar] [CrossRef] [PubMed]
- Lemine, A.S.; El-Makaty, F.M.; Al-Ghanim, H.A.; Youssef, K.M. Experimental and modeling analysis of p-type Bi0.4Sb1.6Te3 and graphene nanocomposites. J. Mater. Res. Technol. 2022, 16, 1702–1712. [Google Scholar] [CrossRef]
- Chen, Y.; Hou, X.; Ma, C.; Dou, Y.; Wu, W. Review of Development Status of Bi2Te3-Based Semiconductor Thermoelectric Power Generation. Adv. Mater. Sci. Eng. 2018, 2018, 1210562. [Google Scholar] [CrossRef]
- Yang, G.; Sang, L.; Mitchell, D.R.G.; Fei Yun, F.; Wai See, K.; Jumlat Ahmed, A.; Sayyar, S.; Bake, A.; Liu, P.; Chen, L.; et al. Enhanced thermoelectric performance and mechanical strength of n-type BiTeSe materials produced via a composite strategy. Chem. Eng. J. 2022, 428, 131205. [Google Scholar] [CrossRef]
- Yang, G.; Niu, R.; Sang, L.; Liao, X.; Mitchell, D.R.G.; Ye, N.; Pei, J.; Li, J.-F.; Wang, X. Ultra-High Thermoelectric Performance in Bulk BiSbTe/Amorphous Boron Composites with Nano-Defect Architectures. Adv. Energy Mater. 2020, 10, 2000757. [Google Scholar] [CrossRef]
- Liu, Y.; Zhang, Y.; Lim, K.H.; Ibáñez, M.; Ortega, S.; Li, M.; David, J.; Martí-Sánchez, S.; Ng, K.M.; Arbiol, J.; et al. High Thermoelectric Performance in Crystallographically Textured n-Type Bi2Te3–xSex Produced from Asymmetric Colloidal Nanocrystals. ACS Nano 2018, 12, 7174–7184. [Google Scholar] [CrossRef]
- Hu, L.; Wu, H.; Zhu, T.; Fu, C.; He, J.; Ying, P.; Zhao, X. Tuning Multiscale Microstructures to Enhance Thermoelectric Performance of n-Type Bismuth-Telluride-Based Solid Solutions. Adv. Energy Mater. 2015, 5, 1500411. [Google Scholar] [CrossRef]
- Kim, M.Y.; Yeo, Y.H.; Park, D.H.; Oh, T.S. Thermoelectric characteristics of the (Bi,Sb)2(Te,Se)3 nanocomposites processed with nanoparticle dispersion. Ceram. Int. 2012, 38 (Suppl. S1), S529–S533. [Google Scholar] [CrossRef]
- Du, B.; Lai, X.; Liu, Q.; Liu, H.; Wu, J.; Liu, J.; Zhang, Z.; Pei, Y.; Zhao, H.; Jian, J. Spark Plasma Sintered Bulk Nanocomposites of Bi2Te2.7Se0.3 Nanoplates Incorporated Ni Nanoparticles with Enhanced Thermoelectric Performance. ACS Appl. Mater. Interfaces 2019, 11, 31816–31823. [Google Scholar] [CrossRef]
- El-Makaty, F.M.; Andre Mkhoyan, K.; Youssef, K.M. The effects of structural integrity of graphene on the thermoelectric properties of the n-type bismuth-telluride alloy. J. Alloys Compd. 2021, 876, 160198. [Google Scholar] [CrossRef]
- Tae Kim, K.; Seong Eom, Y.; Son, I. Fabrication Process and Thermoelectric Properties of CNT/Bi2(Se,Te)3 Composites. J. Nanomater. 2014, 2015, 202415. [Google Scholar] [CrossRef]
- Madavali, B.; Lee, C.-H.; Han, J.-G.; Kim, D.H.; Kim, J.T.; Song, G.; Lee, J.K.; Hong, S.-J. Investigation of homogeneity in microstructure and thermoelectric properties at various positions in high-thickness sintered bulks of p-type 20%Bi2Te3–80%Sb2Te3 alloys. J. Mater. Sci. Mater. Electron. 2021, 32, 16302–16310. [Google Scholar] [CrossRef]
- Lou, L.-Y.; Yang, J.; Zhu, Y.-K.; Liang, H.; Zhang, Y.-X.; Feng, J.; He, J.; Ge, Z.-H.; Zhao, L.-D. Tunable Electrical Conductivity and Simultaneously Enhanced Thermoelectric and Mechanical Properties in n-type Bi2Te3. Adv. Sci. 2022, 9, 2203250. [Google Scholar] [CrossRef]
- Zhang, Q.; Fang, T.; Liu, F.; Li, A.; Wu, Y.; Zhu, T.; Zhao, X. Tuning Optimum Temperature Range of Bi2Te3-Based Thermoelectric Materials by Defect Engineering. Chem. Asian J. 2020, 15, 2775–2792. [Google Scholar] [CrossRef]
- Park, D.-H.; Kim, M.-Y.; Oh, T.-S. Thermoelectric energy-conversion characteristics of n-type Bi2(Te,Se)3 nanocomposites processed with carbon nanotube dispersion. Curr. Appl. Phys. 2011, 11, S41–S45. [Google Scholar] [CrossRef]
- Ju, H.; Kim, J. Preparation and structure dependent thermoelectric properties of nanostructured bulk bismuth telluride with graphene. J. Alloys Compd. 2016, 664, 639–647. [Google Scholar] [CrossRef]
- Murty, B.S.; Ranganathan, S. Novel materials synthesis by mechanical alloying/milling. Int. Mater. Rev. 1998, 43, 101–141. [Google Scholar] [CrossRef]
- Mamur, H.; Bhuiyan, M.R.A.; Korkmaz, F.; Nil, M. A review on bismuth telluride (Bi2Te3) nanostructure for thermoelectric applications. Renew. Sustain. Energy Rev. 2018, 82, 4159–4169. [Google Scholar] [CrossRef]
- Soleimani, Z.; Zoras, S.; Ceranic, B.; Shahzad, S.; Cui, Y. A review on recent developments of thermoelectric materials for room-temperature applications. Sustain. Energy Technol. Assess. 2020, 37, 100604. [Google Scholar] [CrossRef]
- Kumar, A.; Cecchini, R.; Locatelli, L.; Wiemer, C.; Martella, C.; Nasi, L.; Lazzarini, L.; Mantovan, R.; Longo, M. Large-Area MOVPE Growth of Topological Insulator Bi2Te3 Epitaxial Layers on i-Si(111). Cryst. Growth Des. 2021, 21, 4023–4029. [Google Scholar] [CrossRef]
- Ju-Yeon, H.A.N.; Jong Min, B.; Young-In, L.E.E.; Byung Joon, C.; Hogyoung, K.I.M.; Sung-Tag, O.H. Dilatometric analysis of the sintering behavior of Bi2Te3 thermoelectric powders. Metall. Mater. 2020, 65, 1117–1120. [Google Scholar]
- Abdelatty, R.; Khan, A.; Yusuf, M.; Alashraf, A.; Shakoor, R.A. Effect of Silicon Nitride and Graphene Nanoplatelets on the Properties of Aluminum Metal Matrix Composites. Materials 2021, 14, 1898–1912. [Google Scholar] [PubMed]
- Kar, S.; Sarma, S.; Somu, V.; Kishore, N.K.; Srinivas, V. Evaluation of different consolidation methods for nano-materials. Indian J. Eng. Mater. Sci. 2008, 15, 343–346. [Google Scholar]
- Ćurković, L.; Veseli, R.; Gabelica, I.; Zmak, I.; Ropuš, I.; Vukšić, M. A Review of Microwave-Assisted Sintering Technique. Trans. FAMENA 2021, 45. [Google Scholar] [CrossRef]
- Eum, A.-Y.; Kim, I.-H.; Choi, S.-M.; Lee, S.; Seo, W.S.; Park, J.-S.; Yang, S.-H. Thermoelectric and transport properties of mechanically-alloyed Bi2Te3-ySey solid solutions. J. Korean Phys. Soc. 2015, 67, 1809–1813. [Google Scholar]
- Degen, T.; Sadki, M.; Bron, E.; König, U.; Nénert, G. The HighScore suite. Powder Diffr. 2014, 29, S13–S18. [Google Scholar]
- Prasetya, A.; Rifai, M.; Mujamilah; Miyamoto, H. X-ray diffraction (XRD) profile analysis of pure ECAP-annealing Nickel samples. J. Phys. Conf. Ser. 2020, 1436, 012113. [Google Scholar] [CrossRef]
- Choi, S.-M.; Lee, K.H.; Lim, Y.S.; Seo, W.-S.; Lee, S. Effects of doping on the positional uniformity of the thermoelectric properties of n-type Bi2Te2.7Se0.3 polycrystalline bulks. J. Korean Phys. Soc. 2016, 68, 17–21. [Google Scholar] [CrossRef]
- El-Makaty, F.M.; Pothuvattil, N.S.; Hamouda, A.; Youssef, K.M. The effect of graphene on the activation energy of grain growth for the nanocrystalline thermoelectric n-type Bi2Te2.7Se0.3. Emergent Mater. 2022, 5, 1871–1880. [Google Scholar] [CrossRef]
- Ahmad, S.I.; Hamoudi, H.; Zekri, A.; Youssef, K.M. Investigating the thermal stability of nanocrystalline aluminum-lithium alloy by combining different mechanisms: Reinforcing with graphene and alloying with Sr. J. Alloys Compd. 2022, 914, 165348. [Google Scholar] [CrossRef]
- Yang, J.Y.; Fan, X.A.; Chen, R.G.; Zhu, W.; Bao, S.Q.; Duan, X.K. Consolidation and thermoelectric properties of n-type bismuth telluride based materials by mechanical alloying and hot pressing. J. Alloys Compd. 2006, 416, 270–273. [Google Scholar] [CrossRef]
- Kumar, S.; Singh, S.; Dhawan, P.K.; Yadav, R.R.; Khare, N. Effect of graphene nanofillers on the enhanced thermoelectric properties of Bi2Te3 nanosheets: Elucidating the role of interface in de-coupling the electrical and thermal characteristics. Nanotechnology 2018, 29, 13. [Google Scholar] [CrossRef]
- Ju, H.; Kim, M.; Kim, J. Preparation of graphene sheets into one-dimensionally nanostructured bulk bismuth telluride for enhancing thermoelectric power factor. Mater. Electron. 2016, 27, 3427–3434. [Google Scholar] [CrossRef]
- Abdelnabi, A.A.; Lakhian, V.; McDermid, J.R.; Tseng, Y.-C.; Cotton, J.S. Enhancement of mechanical properties and thermoelectric performance of spark plasma sintered P-type Bismuth Telluride by powder surface oxide reduction. J. Alloys Compd. 2021, 858, 157657. [Google Scholar] [CrossRef]
- Wang, S.Y.; Xie, W.J.; Li, H.; Tang, X.F.; Zhang, Q.J. Effects of Cooling Rate on Thermoelectric Properties of n-Type Bi2(Se0.4Te0.6)3 Compounds. J. Electron. Mater. 2011, 40, 1150–1157. [Google Scholar] [CrossRef]
- Oh, T.S.; Hyun, D.-B.; Kolomoets, N.V. Thermoelectric properties of the hot-pressed (Bi,Sb)2(Te,Se)3 alloys. Scr. Mater. 2000, 42, 849–854. [Google Scholar] [CrossRef]
- Horák, J.; Stary, Z.; Lošťák, P.; Pancíř, J. Anti-site defects in n-Bi2Se3 crystals. J. Phys. Chem. Solids 1990, 51, 1353–1360. [Google Scholar] [CrossRef]
- Cai, X.; Fan, X.a.; Rong, Z.; Yang, F.; Gan, Z.; Li, G. Improved thermoelectric properties of Bi2Te3−xSex alloys by melt spinning and resistance pressing sintering. J. Phys. D Appl. Phys. 2014, 47, 115101. [Google Scholar] [CrossRef]
- Navrátil, J.; Starý, Z.; Plecháček, T. Thermoelectric properties of p-type antimony bismuth telluride alloys prepared by cold pressing. Mater. Res. Bull. 1996, 31, 1559–1566. [Google Scholar] [CrossRef]
- Fan, X.a.; Rong, Z.; Yang, F.; Cai, X.; Han, X.; Li, G. Effect of process parameters of microwave activated hot pressing on the microstructure and thermoelectric properties of Bi2Te3-based alloys. J. Alloys Compd. 2015, 630, 282–287. [Google Scholar] [CrossRef]
- Lee, D.-H.; Lee, J.-U.; Jung, S.-J.; Baek, S.-H.; Kim, J.-H.; Kim, D.-I.; Hyun, D.-B.; Kim, J.-S. Effect of Heat Treatment on the Thermoelectric Properties of Bismuth–Antimony–Telluride Prepared by Mechanical Deformation and Mechanical Alloying. J. Electron. Mater. 2014, 43, 2255–2261. [Google Scholar] [CrossRef]
- Cai, B.; Zhuang, H.-L.; Pei, J.; Su, B.; Li, J.-W.; Hu, H.; Jiang, Y.; Li, J.-F. Spark plasma sintered Bi-Sb-Te alloys derived from ingot scrap: Maximizing thermoelectric performance by tailoring their composition and optimizing sintering time. Nano Energy 2021, 85, 106040. [Google Scholar] [CrossRef]
- Lundstrom, M. Fundamentals of Carrier Transport, 2nd ed.; Cambridge University Press: Cambridge, UK, 2000. [Google Scholar] [CrossRef]
- Femi, O.E.; Akkiraju, K.; Murthy, B.S.; Ravishankar, N. Effect of processing route on the bipolar contribution to the thermoelectric properties of n-type eutectic Bi22.5Sb7.5Te70 alloy. J. Alloys Compd. 2016, 682, 791–798. [Google Scholar] [CrossRef]
- Fan, X.A.; Yang, J.Y.; Zhu, W.; Yun, H.S.; Chen, R.G.; Bao, S.Q.; Duan, X.K. Microstructure and thermoelectric properties of n-type Bi2Te2.85Se0.15 prepared by mechanical alloying and plasma activated sintering. J. Alloys Compd. 2006, 420, 256–259. [Google Scholar] [CrossRef]
- Fan, X.A.; Yang, J.Y.; Chen, R.G.; Zhu, W.; Bao, S.Q. Phase transformation and thermoelectric properties of p-type (Bi2Te3)0.25(Sb2Te3)0.75 prepared by mechanical alloying and hot pressing. Mater. Sci. Eng. A 2006, 438–440, 190–193. [Google Scholar] [CrossRef]
- Li, F.; Liu, C.; Nisar, M.; Zhao, J.; Liang, C.; Zhang, J.; Wang, Z.; Zheng, Z.; Fan, P.; Wang, X.; et al. Isovalent co-alloying contributes to considerable improvement in thermoelectric performance of BiSe bulks with weak anisotropy. J. Mater. 2023. [Google Scholar] [CrossRef]
- Rao, M.; Chen, P.; Wang, W.; He, Z.; Wang, S.; Lai, X.; Liu, F.; Jian, J. Tuning band structure and texture for improved thermoelectric performance in BiSe. J. Alloys Compd. 2023, 958, 170482. [Google Scholar] [CrossRef]
- Liu, W.; Kim, H.S.; Chen, S.; Jie, Q.; Lv, B.; Yao, M.; Ren, Z.; Opeil, C.P.; Wilson, S.; Chu, C.-W.; et al. n-type thermoelectric material Mg2Sn0.75Ge0.25 for high power generation. Proc. Natl. Acad. Sci. USA 2015, 112, 3269–3274. [Google Scholar] [CrossRef]








| Step 1: Pressure optimization | ||
| Fixed parameters | Variable parameter: pressure, GPa | Sample ID |
| T = 300 °C t = 5 min | 0.1 | 0.1 P |
| 0.5 | 0.5 P | |
| 1 | 1 P | |
| 1.5 | 1.5 P | |
| Step 2: Temperature optimization | ||
| Fixed parameters | Variable parameter: temperature, °C | Sample ID |
| P = 1 GPa t = 5 min | 250 | 250 T |
| 300 | 300 T (=1 P) | |
| 350 | 350 T | |
| 400 | 400 T | |
| Hot Pressing Temperature (°C) | |Smax| µV/K | Tmax (°C) | Goldsmid–Sharp Bandgap (eV) |
|---|---|---|---|
| 250 | 161.11 | 240 | 0.165 |
| 300 | 178.09 | 160 | 0.154 |
| 350 | 174.95 | 160 | 0.152 |
Disclaimer/Publisher’s Note: The statements, opinions and data contained in all publications are solely those of the individual author(s) and contributor(s) and not of MDPI and/or the editor(s). MDPI and/or the editor(s) disclaim responsibility for any injury to people or property resulting from any ideas, methods, instructions or products referred to in the content. |
© 2024 by the authors. Licensee MDPI, Basel, Switzerland. This article is an open access article distributed under the terms and conditions of the Creative Commons Attribution (CC BY) license (https://creativecommons.org/licenses/by/4.0/).
Share and Cite
El-Makaty, F.; Hamouda, A.M.; Abutaha, A.; Youssef, K. Optimization of the Consolidation Parameters for Enhanced Thermoelectric Properties of Gr-Bi2Te2.55Se0.45 Nanocomposites. Nanomaterials 2024, 14, 260. https://doi.org/10.3390/nano14030260
El-Makaty F, Hamouda AM, Abutaha A, Youssef K. Optimization of the Consolidation Parameters for Enhanced Thermoelectric Properties of Gr-Bi2Te2.55Se0.45 Nanocomposites. Nanomaterials. 2024; 14(3):260. https://doi.org/10.3390/nano14030260
Chicago/Turabian StyleEl-Makaty, Farah, Abdel Magid Hamouda, Anas Abutaha, and Khaled Youssef. 2024. "Optimization of the Consolidation Parameters for Enhanced Thermoelectric Properties of Gr-Bi2Te2.55Se0.45 Nanocomposites" Nanomaterials 14, no. 3: 260. https://doi.org/10.3390/nano14030260
APA StyleEl-Makaty, F., Hamouda, A. M., Abutaha, A., & Youssef, K. (2024). Optimization of the Consolidation Parameters for Enhanced Thermoelectric Properties of Gr-Bi2Te2.55Se0.45 Nanocomposites. Nanomaterials, 14(3), 260. https://doi.org/10.3390/nano14030260

