New Label-Free DNA Nanosensor Based on Top-Gated Metal–Ferroelectric–Metal Graphene Nanoribbon on Insulator Field-Effect Transistor: A Quantum Simulation Study
Abstract
1. Introduction
2. Biosensor Structure and Biosensing Principle
3. Quantum Simulation Approach
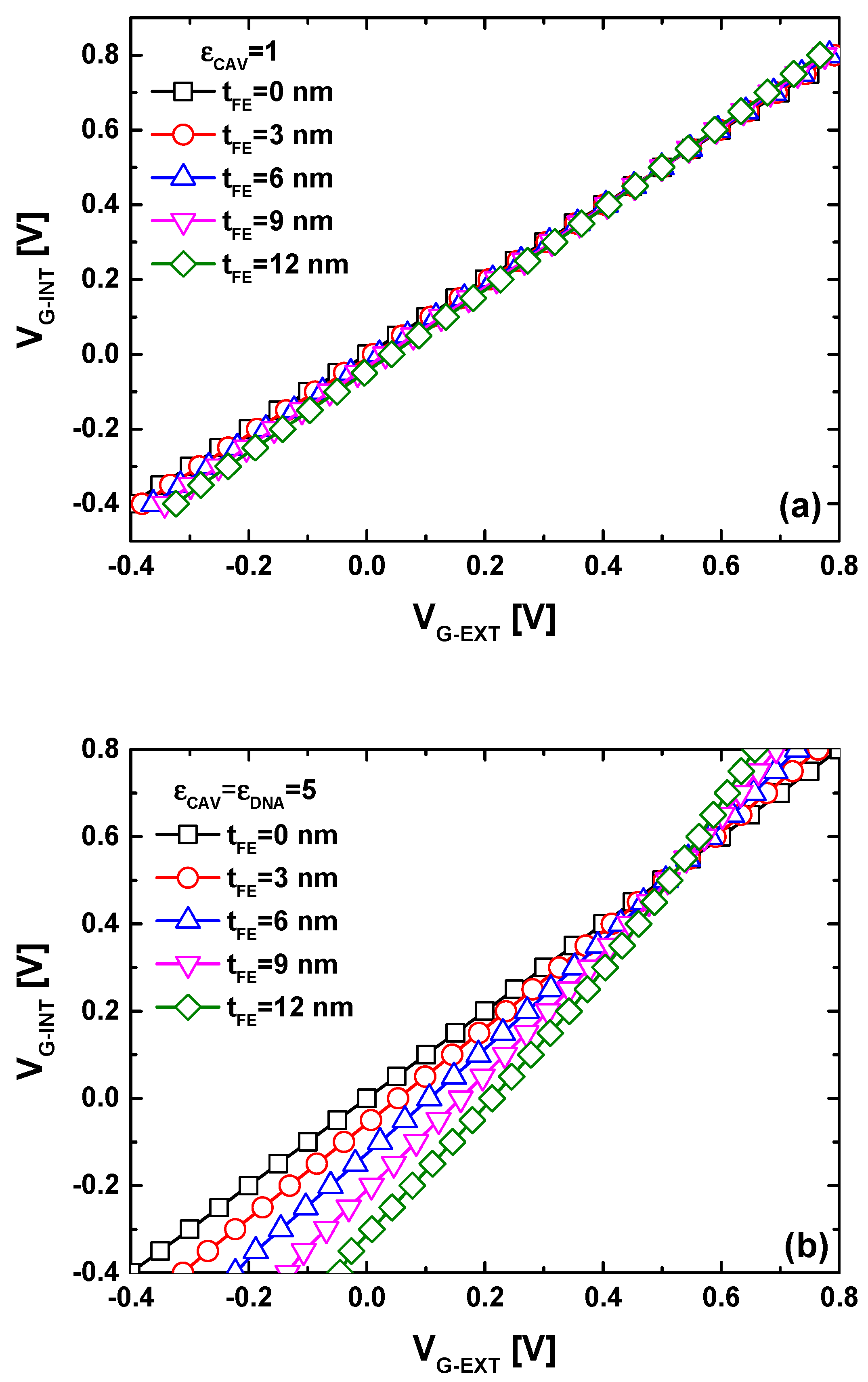
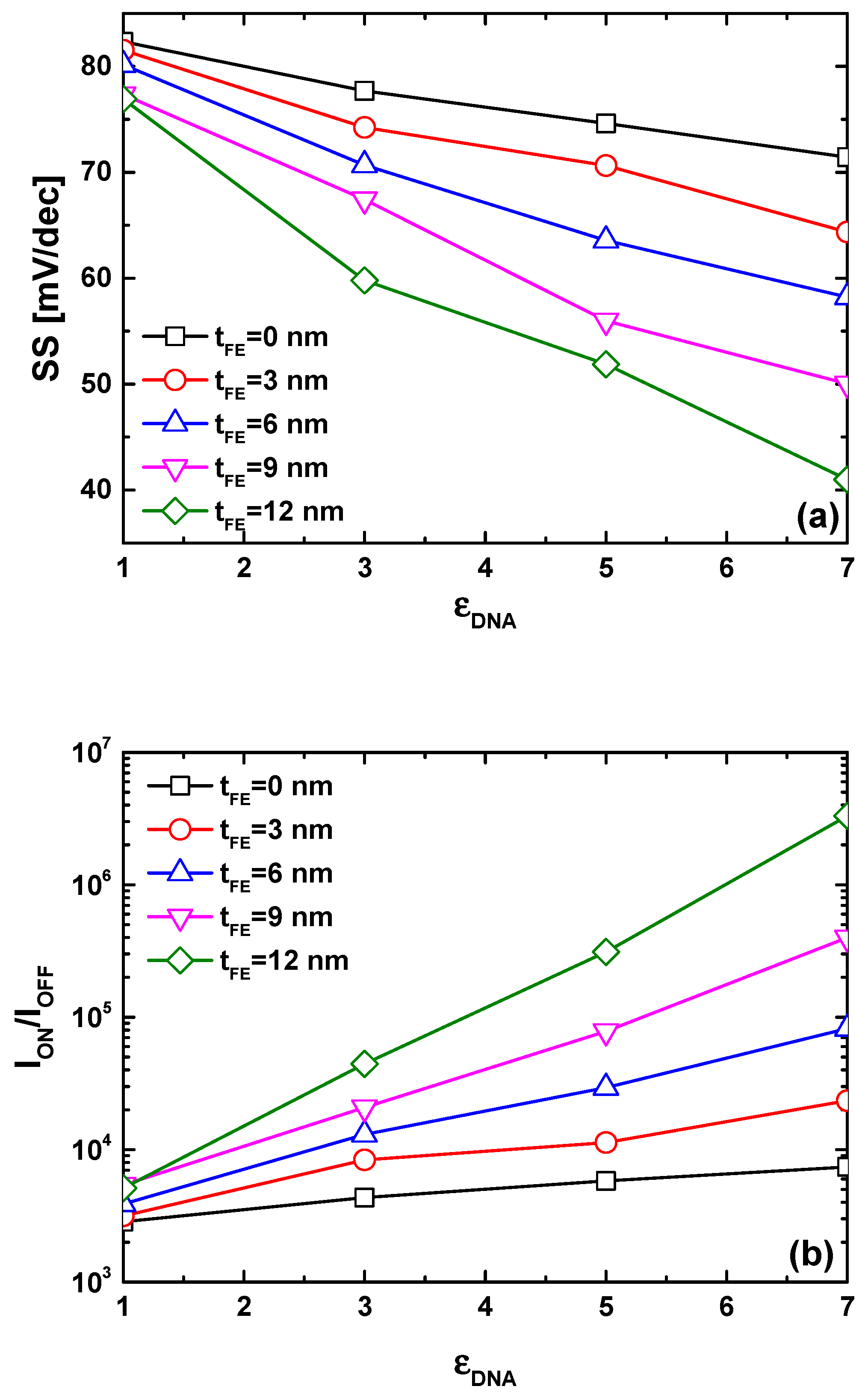
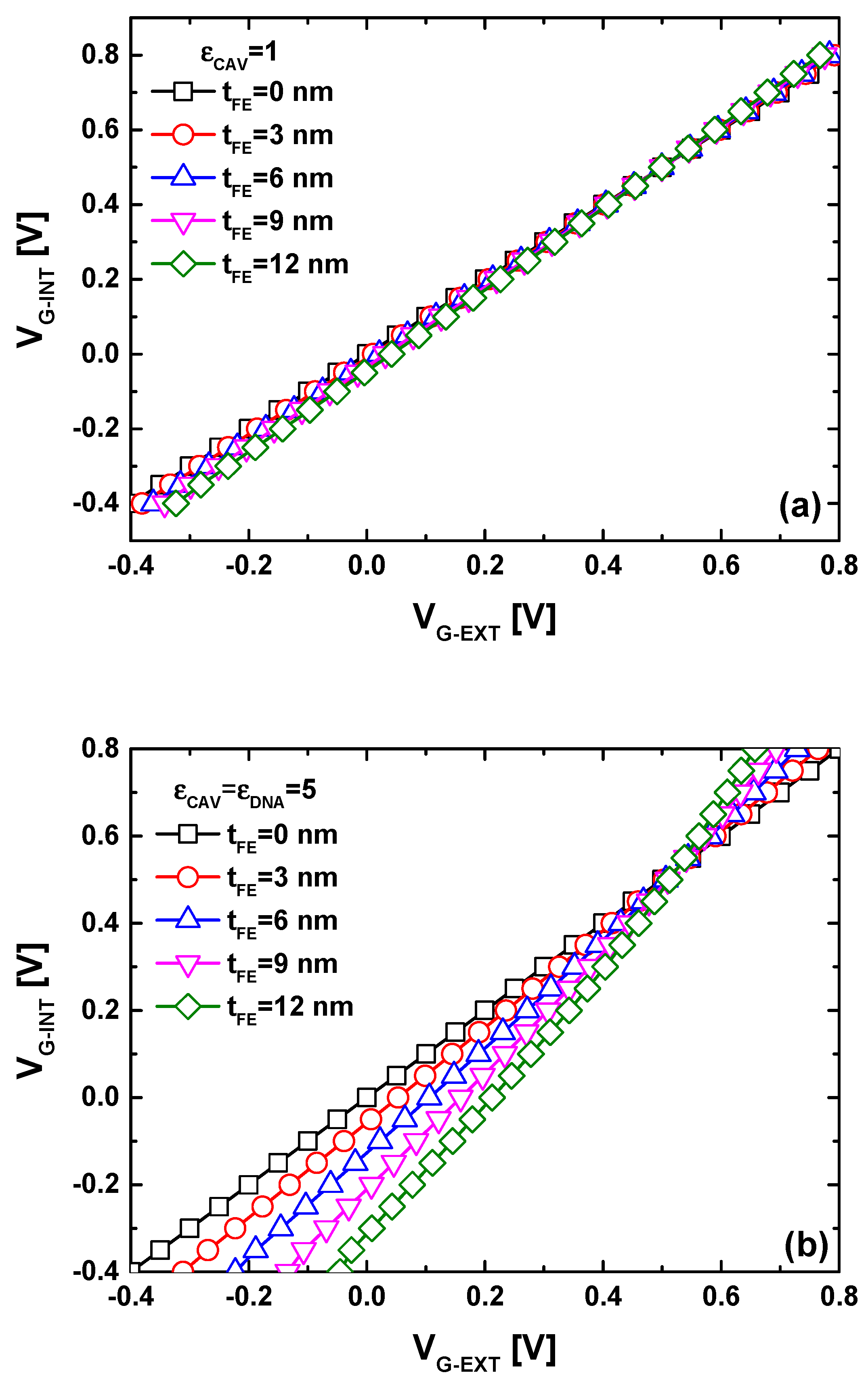
4. Results and Discussion
5. Conclusions
Author Contributions
Funding
Data Availability Statement
Acknowledgments
Conflicts of Interest
Appendix A
References
- Chen, K.I.; Li, B.R.; Chen, Y.T. Silicon nanowire field-effect transistor-based biosensors for biomedical diagnosis and cellular recording investigation. Nano Today 2011, 6, 131–154. [Google Scholar] [CrossRef]
 - Hao, R.; Liu, L.; Yuan, J.; Wu, L.; Lei, S. Recent Advances in Field Effect Transistor Biosensors: Designing Strategies and Applications for Sensitive Assay. Biosensors 2023, 13, 426. [Google Scholar] [CrossRef]
 - Schöning, M.J.; Poghossian, A. Recent advances in biologically sensitive field-effect transistors (BioFETs). Analyst 2002, 127, 1137–1151. [Google Scholar] [CrossRef] [PubMed]
 - Im, H.; Huang, X.-J.; Gu, B.; Choi, Y.-K. A dielectric-modulated field-effect transistor for biosensing. Nat. Nanotechnol. 2007, 2, 430–434. [Google Scholar] [CrossRef] [PubMed]
 - Gu, B.; Park, T.J.; Ahn, J.; Huang, X.; Lee, S.Y.; Choi, Y. Nanogap Field-Effect Transistor Biosensors for Electrical Detection of Avian Influenza. Small 2009, 5, 2407–2412. [Google Scholar] [CrossRef]
 - Lee, K.-W.; Choi, S.-J.; Ahn, J.-H.; Moon, D.-I.; Park, T.J.; Lee, S.Y.; Choi, Y.-K. An underlap field-effect transistor for electrical detection of influenza. Appl. Phys. Lett. 2010, 96, 033703. [Google Scholar] [CrossRef]
 - Im, M.; Ahn, J.-H.; Han, J.-W.; Park, T.J.; Lee, S.Y.; Choi, Y.-K. Development of a point-of-care testing platform with a nanogap-embedded separated double-gate field effect transistor array and its readout system for detection of avian influenza. IEEE Sensors J. 2010, 11, 351–360. [Google Scholar] [CrossRef]
 - Kim, C.-H.; Jung, C.; Lee, K.-B.; Park, H.G.; Choi, Y.-K. Label-free DNA detection with a nanogap embedded complementary metal oxide semiconductor. Nanotechnology 2011, 22, 135502. [Google Scholar] [CrossRef]
 - Kim, C.-H.; Jung, C.; Park, H.G.; Choi, Y.-K. Novel dielectric-modulated field-effect transistor for label-free DNA detection. Biochip J. 2008, 2, 127–134. [Google Scholar]
 - Tamersit, K.; Djeffal, F. Double-Gate Graphene Nanoribbon Field-Effect Transistor for DNA and Gas Sensing Applications: Simulation Study and Sensitivity Analysis. IEEE Sensors J. 2016, 16, 4180–4191. [Google Scholar] [CrossRef]
 - Kim, J.Y.; Ahn, J.H.; Moon, D.I.; Park, T.J.; Lee, S.Y.; Choi, Y.K. Multiplex electrical detection of avian influenza and human immunodeficiency virus with an under-lap-embedded silicon nanowire field-effect transistor. Biosens. Bioelectron. 2014, 55, 162–167. [Google Scholar] [CrossRef] [PubMed]
 - Yadav, S.; Gedam, A.; Tirkey, S. A dielectric modulated biosensor for SARS-CoV-2. IEEE Sens. J. 2021, 21, 14483–14490. [Google Scholar] [CrossRef]
 - Bergveld, P. Thirty years of ISFETOLOGY. Sens. Actuators B Chem. 2003, . 88, 1–20. [Google Scholar] [CrossRef]
 - Narang, R.; Reddy, K.V.S.; Saxena, M.; Gupta, R.S.; Gupta, M. A Dielectric-modulated tunnel-FET-based biosensor for label-free detection: Analytical modeling study and sensitivity analysis. IEEE Trans. Electron Devices 2012, 59, 2809–2817. [Google Scholar] [CrossRef]
 - Narang, R.; Saxena, M.; Gupta, M. Comparative Analysis of Dielectric-Modulated FET and TFET-Based Biosensor. IEEE Trans. Nanotechnol. 2015, 14, 427–435. [Google Scholar] [CrossRef]
 - Choi, J.-M.; Han, J.-W.; Choi, S.-J.; Choi, Y.-K. Analytical Modeling of a Nanogap-Embedded FET for Application as a Biosensor. IEEE Trans. Electron Devices 2010, 57, 3477–3484. [Google Scholar] [CrossRef]
 - Chen, X.; Guo, Z.; Yang, G.-M.; Li, J.; Li, M.-Q.; Liu, J.-H.; Huang, X.-J. Electrical nanogap devices for biosensing. Mater. Today 2010, 13, 28–41. [Google Scholar] [CrossRef]
 - Ghosh, S.; Chattopadhyay, A.; Tewari, S. Optimization of Hetero-Gate-Dielectric Tunnel FET for Label-Free Detection and Identification of Biomolecules. IEEE Trans. Electron Devices 2020, 67, 2157–2164. [Google Scholar] [CrossRef]
 - Sehgal, H.D.; Pratap, Y.E.; Gupta, M.; Kabra, S. Performance Analysis and Optimization of Under-Gate Dielectric Modulated Junctionless FinFET Biosensor. IEEE Sensors J. 2021, 21, 18897–18904. [Google Scholar] [CrossRef]
 - Kim, S.; Ahn, J.-H.; Park, T.J.; Lee, S.Y.; Choi, Y.-K. Comprehensive study of a detection mechanism and optimization strategies to improve sensitivity in a nanogap-embedded biotransistor. J. Appl. Phys. 2010, 107, 114705. [Google Scholar] [CrossRef]
 - Anvarifard, M.K.; Ramezani, Z.; Amiri, I.S.; Tamersit, K.; Nejad, A.M. Profound analysis on sensing performance of Nanogap SiGe source DM-TFET biosensor. J. Mater. Sci. Mater. Electron. 2020, 31, 22699–22712. [Google Scholar] [CrossRef]
 - Kannan, N.; Kumar, M.J. Dielectric-Modulated Impact-Ionization MOS Transistor as a Label-Free Biosensor. IEEE Electron Device Lett. 2013, 34, 1575–1577. [Google Scholar] [CrossRef]
 - Ajay; Narang, R.; Saxena, M.; Gupta, M. Modeling and Simulation Investigation of Sensitivity of Symmetric Split Gate Junctionless FET for Biosensing Application. IEEE Sensors J. 2017, 17, 4853–4861. [Google Scholar] [CrossRef]
 - Ajay; Narang, R.; Saxena, M.; Gupta, M. Drain Current Model of a Four-Gate Dielectric Modulated MOSFET for Application as a Biosensor. IEEE Trans. Electron Devices 2015, 62, 2636–2644. [Google Scholar] [CrossRef]
 - Rahman, E.; Shadman, A.; Ahmed, I.; Khan, S.U.Z.; Khosru, Q.D.M. A physically based compact I–V model for monolayer TMDC channel MOSFET and DMFET biosensor. Nanotechnology 2018, 29, 235203. [Google Scholar] [CrossRef]
 - Tamersit, K.; Djeffal, F. Carbon Nanotube Field-Effect Transistor with Vacuum Gate Dielectric for Label-Free Detection of DNA Molecules: A Computational Investigation. IEEE Sensors J. 2019, 19, 9263–9270. [Google Scholar] [CrossRef]
 - Tamersit, K. Dielectric-modulated junctionless carbon nanotube field-effect transistor as a label-free DNA nanosensor: Achieving ultrahigh sensitivity in the band-to-band tunneling regime. IEEE Sensors J. 2024, 24, 2915–2922. [Google Scholar] [CrossRef]
 - Avouris, P.; Chen, Z.; Perebeinos, V. Carbon-based electronics. Nat. Nanotechnol. 2007, 2, 605–615. [Google Scholar] [CrossRef]
 - Tamersit, K.; Ramezani, Z.; Amiri, I.S. Improved performance of sub-10-nm band-to-band tunneling n-i-n graphene nanoribbon field-effect tran-sistors using underlap engineering: A quantum simulation study. J. Phys. Chem. Solids 2022, 160, 110312. [Google Scholar] [CrossRef]
 - Salahuddin, S.; Datta, S. Use of Negative Capacitance to Provide Voltage Amplification for Low Power Nanoscale Devices. Nano Lett. 2007, 8, 405–410. [Google Scholar] [CrossRef] [PubMed]
 - Si, M.; Su, C.-J.; Jiang, C.; Conrad, N.J.; Zhou, H.; Maize, K.D.; Qiu, G.; Wu, C.-T.; Shakouri, A.; Alam, M.A.; et al. Steep-slope hysteresis-free negative capacitance MoS2 transistors. Nat. Nanotechnol. 2017, 13, 24. [Google Scholar] [CrossRef]
 - Jooq, M.K.Q.; Moaiyeri, M.H.; Tamersit, K. A New Design Paradigm for Auto-Nonvolatile Ternary SRAMs Using Ferroelectric CNTFETs: From Device to Array Architecture. IEEE Trans. Electron Devices 2022, 69, 6113–6120. [Google Scholar] [CrossRef]
 - Singh, S.; Agnihotri, S.K.; Bagga, N.; Samajdar, D.P. Assessment of the Biosensing Capabilities of SiGe Heterojunction Negative Capacitance-Vertical Tunnel Field-Effect Transistor. ACS Appl. Bio Mater. 2024, 7, 812–826. [Google Scholar] [CrossRef] [PubMed]
 - Tamersit, K.; Bourouba, H. Negative capacitance junctionless graphene nanoribbon tunneling FET as DNA nanosensor: A quantum simulation-based proposal. In Proceedings of the 2024 IEEE Workshop on Complexity in Engineering (COMPENG), Florence, Italy, 22 July 2024; pp. 1–5. [Google Scholar] [CrossRef]
 - Vanlalawmpuia, K.; Ghosh, P. Performance assessment of dielectrically modulated negative capacitance germanium source vertical tunnel FET biosensor for detection of breast cancer cell lines. AEU Int. J. Electron. Commun. 2023, 171, 154902. [Google Scholar] [CrossRef]
 - Dixit, A.; Samajdar, D.P.; Chauhan, V. Sensitivity Analysis of a Novel Negative Capacitance FinFET for Label-Free Bio-sensing. IEEE Trans. Electron Devices 2021, 68, 5204–5210. [Google Scholar] [CrossRef]
 - Das, B.; Bhowmick, B. Dielectrically modulated ferroelectric-TFET (Ferro-TFET) based biosensors. Mater. Sci. Eng. B 2023, 298, 116841. [Google Scholar] [CrossRef]
 - Ghosh, P.; Bhowmick, B. Performance enhancement of a FET device with ferroelectric tunnel junction and its application as a biosensor. J. Comput. Electron. 2022, 21, 1416–1424. [Google Scholar] [CrossRef]
 - Pathak, Y.; Malhotra, B.D.; Chaujar, R. Detection of biomolecules in dielectric modulated double metal below ferroelectric layer FET with improved sensitivity. J. Mater. Sci. Mater. Electron. 2022, 33, 13558–13567. [Google Scholar] [CrossRef] [PubMed]
 - Tamersit, K. Performance enhancement of an ultra-scaled double-gate graphene nanoribbon tunnel field-effect transistor using channel doping engineering: Quantum simulation study. AEU Int. J. Electron. Commun. 2020, 122, 153287. [Google Scholar] [CrossRef]
 - Yousefi, R.; Shabani, M.; Arjmandi, M.; Ghoreishi, S. A computational study on electrical characteristics of a novel band-to-band tunneling graphene nanoribbon FET. Superlattices Microstruct. 2013, 60, 169–178. [Google Scholar] [CrossRef]
 - Tamersit, K. A computational study of short-channel effects in double-gate junctionless graphene nanoribbon field-effect transistors. J. Comput. Electron. 2019, 18, 1214–1221. [Google Scholar] [CrossRef]
 - Tu, L.; Wang, X.; Wang, J.; Meng, X.; Chu, J. Ferroelectric Negative Capacitance Field Effect Transistor. Adv. Electron. Mater. 2018, 4, 1800231. [Google Scholar] [CrossRef]
 - Alam, M.A.; Si, M.; Ye, P.D. A critical review of recent progress on negative capacitance field-effect transistors. Appl. Phys. Lett. 2019, 114, 090401. [Google Scholar] [CrossRef]
 - Behbahani, F.; Jooq, M.K.Q.; Moaiyeri, M.H.; Tamersit, K. Leveraging Negative Capacitance CNTFETs for Image Processing: An Ultra-Efficient Ternary Image Edge Detection Hardware. IEEE Trans. Circuits Syst. I Regul. Pap. 2021, 68, 5108–5119. [Google Scholar] [CrossRef]
 - Tamersit, K. Improved switching performance of nanoscale p-i-n carbon nanotube tunneling field-effect transistors using met-al-ferroelectric-metal gating approach. ECS J. Solid State Sci. Technol. 2021, 10, 031004. [Google Scholar] [CrossRef]
 - You, W.-X.; Tsai, C.-P.; Su, P. Short-Channel Effects in 2D Negative-Capacitance Field-Effect Transistors. IEEE Trans. Electron Devices 2018, 65, 1604–1610. [Google Scholar] [CrossRef]
 - Saha, A.K.; Gupta, S.K. Multi-Domain Negative Capacitance Effects in Metal-Ferroelectric-Insulator-Semiconductor/Metal Stacks: A Phase-field Simulation Based Study. Sci. Rep. 2020, 10, 1–12. [Google Scholar] [CrossRef]
 - Zhao, P.; Guo, J. Modeling edge effects in graphene nanoribbon field-effect transistors with real and mode space methods. J. Appl. Phys. 2009, 105, 034503. [Google Scholar] [CrossRef]
 - Zhao, P.; Chauhan, J.; Guo, J. Computational study of tunneling transistor based on graphene nanoribbon. Nano Lett. 2009, 9, 684–688. [Google Scholar] [CrossRef] [PubMed]
 - Yoon, Y.; Fiori, G.; Hong, S.; Iannaccone, G.; Guo, J. Performance comparison of graphene nanoribbon FETs with schottky contacts and doped reservoirs. IEEE Trans. Electron Devices 2008, 55, 2314–2323. [Google Scholar] [CrossRef]
 - Seo, J.; Lee, J.; Shin, M. Analysis of Drain-Induced Barrier Rising in Short-Channel Negative-Capacitance FETs and Its Ap-plications. IEEE Trans. Electron Devices 2017, 64, 1793–1798. [Google Scholar] [CrossRef]
 - Tamersit, K.; Moaiyeri, M.H.; Jooq, M.K.Q. Leveraging negative capacitance ferroelectric materials for performance boosting of sub-10 nm graphene nanoribbon field-effect transistors: A quantum simulation study. Nanotechnology 2022, 33, 465204. [Google Scholar] [CrossRef] [PubMed]
 - Tamersit, K.; Jooq, M.K.Q.; Moaiyeri, M.H. Analog/RF performance assessment of ferroelectric junctionless carbon nanotube FETs: A quantum simulation study. Phys. E Low-Dimens. Syst. Nanostruct. 2021, 134, 114915. [Google Scholar] [CrossRef]
 - Tamersit, K.; Kouzou, A.; Bourouba, H.; Kennel, R.; Abdelrahem, M. Synergy of electrostatic and chemical doping to improve the performance of junctionless carbon nanotube tunneling field-effect transistors: Ultrascaling, energy-efficiency, and high switching performance. Nanomaterials 2022, 12, 462. [Google Scholar] [CrossRef]
 - Khorshidsavar, A.; Ghoreishi, S.S.; Yousefi, R. A Computational Study of an Optimized MOS-Like Graphene Nano Ribbon Field Effect Transistor (GNRFET). ECS J. Solid State Sci. Technol. 2018, 7, P96–P101. [Google Scholar] [CrossRef]
 - Ghoreishi, S.S.; Yousefi, R. A computational study of a novel graphene nanoribbon field effect transistor. Int. J. Mod. Phys. B 2017, 31, 1750056. [Google Scholar] [CrossRef]
 - Datta, S. Quantum Transport: Atom to Transistor; Cambridge University Press: Cambridge, UK, 2005. [Google Scholar] [CrossRef]
 - Ortiz-Conde, A.; Garcia-Sanchez, F.; Liou, J.J.; Cerdeira, A.; Estrada, M.; Yue, Y. A review of recent MOSFET threshold voltage extraction methods. Microelectron. Reliab. 2002, 42, 583–596. [Google Scholar] [CrossRef]
 - Tamersit, K. New nanoscale band-to-band tunneling junctionless GNRFETs: Potential high-performance devices for the ul-trascaled regime. J. Comput. Electron. 2021, 20, 1147–1156. [Google Scholar] [CrossRef]
 - Choi, W.; Jin, B.; Shin, S.; Do, J.; Son, J.; Kim, K.; Lee, J.-S. Highly Sensitive Detection of Urea Using Si Electrolyte-Gated Transistor with Low Power Consumption. Biosensors 2023, 13, 565. [Google Scholar] [CrossRef]
 - Kim, D.; Jin, B.; Kim, S.-A.; Choi, W.; Shin, S.; Park, J.; Shim, W.-B.; Kim, K.; Lee, J.-S. An Ultrasensitive Silicon-Based Electrolyte-Gated Transistor for the Detection of Peanut Allergens. Biosensors 2022, 12, 24. [Google Scholar] [CrossRef]
 - Zhirnov, V.V.; Cavin, R.K. Negative capacitance to the rescue? Nat. Nanotechnol. 2008, 3, 77–78. [Google Scholar] [CrossRef]
 - Jiao, H.; Wang, X.; Wu, S.; Chen, Y.; Chu, J.; Wang, J. Ferroelectric field effect transistors for electronics and optoelectronics. Appl. Phys. Rev. 2023, 10, 011310. [Google Scholar] [CrossRef]
 - Khan, A.I.; Keshavarzi, A.; Datta, S. The future of ferroelectric field-effect transistor technology. Nat. Electron. 2020, 3, 588–597. [Google Scholar] [CrossRef]
 - Yao, X.; Xie, R.; Zan, X.; Su, Y.; Xu, P.; Liu, W. A Novel Image Encryption Scheme for DNA Storage Systems Based on DNA Hybridization and Gene Mutation. Interdiscip. Sci. Comput. Life Sci. 2023, 15, 419–432. [Google Scholar] [CrossRef]
 - Chu, L.; Su, Y.; Zan, X.; Lin, W.; Yao, X.; Xu, P.; Liu, W. A Deniable Encryption Method for Modulation-Based DNA Storage. Interdiscip. Sci. Comput. Life Sci. 2024, 16, 872–881. [Google Scholar] [CrossRef] [PubMed]
 - Hou, X.; Xin, L.; Fu, Y.; Na, Z.; Gao, G.; Liu, Y.; Xu, Q.; Zhao, P.; Yan, G.; Su, Y.; et al. A self-powered biomimetic mouse whisker sensor (BMWS) aiming at terrestrial and space objects perception. Nano Energy 2023, 118, 109034. [Google Scholar] [CrossRef]
 - Jakšić, Z.; Devi, S.; Jakšić, O.; Guha, K. A Comprehensive Review of Bio-Inspired Optimization Algorithms Including Applications in Microelectronics and Nanophotonics. Biomimetics 2023, 8, 278. [Google Scholar] [CrossRef]
 - Trojovský, P.; Dehghani, M. A new bio-inspired metaheuristic algorithm for solving optimization problems based on walruses behavior. Sci. Rep. 2023, 13, 8775. [Google Scholar] [CrossRef]
 - Zhang, D.; Han, C.; Zhang, H.; Zeng, B.; Zheng, Y.; Shen, J.; Wu, Q.; Zeng, G. The Simulation Design of Microwave Absorption Performance for the Multi-Layered Carbon-Based Nano-composites Using Intelligent Optimization Algorithm. Nanomaterials 2021, 11, 1951. [Google Scholar] [CrossRef]
 - Nowbahari, A.; Roy, A.; Marchetti, L. Junctionless Transistors: State-of-the-Art. Electronics 2020, 9, 1174. [Google Scholar] [CrossRef]
 - Wang, M. A Review of Reliability in Gate-All-Around Nanosheet Devices. Micromachines 2024, 15, 269. [Google Scholar] [CrossRef]
 






Disclaimer/Publisher’s Note: The statements, opinions and data contained in all publications are solely those of the individual author(s) and contributor(s) and not of MDPI and/or the editor(s). MDPI and/or the editor(s) disclaim responsibility for any injury to people or property resulting from any ideas, methods, instructions or products referred to in the content.  | 
© 2024 by the authors. Licensee MDPI, Basel, Switzerland. This article is an open access article distributed under the terms and conditions of the Creative Commons Attribution (CC BY) license (https://creativecommons.org/licenses/by/4.0/).
Share and Cite
Tamersit, K.; Kouzou, A.; Rodriguez, J.; Abdelrahem, M. New Label-Free DNA Nanosensor Based on Top-Gated Metal–Ferroelectric–Metal Graphene Nanoribbon on Insulator Field-Effect Transistor: A Quantum Simulation Study. Nanomaterials 2024, 14, 2038. https://doi.org/10.3390/nano14242038
Tamersit K, Kouzou A, Rodriguez J, Abdelrahem M. New Label-Free DNA Nanosensor Based on Top-Gated Metal–Ferroelectric–Metal Graphene Nanoribbon on Insulator Field-Effect Transistor: A Quantum Simulation Study. Nanomaterials. 2024; 14(24):2038. https://doi.org/10.3390/nano14242038
Chicago/Turabian StyleTamersit, Khalil, Abdellah Kouzou, José Rodriguez, and Mohamed Abdelrahem. 2024. "New Label-Free DNA Nanosensor Based on Top-Gated Metal–Ferroelectric–Metal Graphene Nanoribbon on Insulator Field-Effect Transistor: A Quantum Simulation Study" Nanomaterials 14, no. 24: 2038. https://doi.org/10.3390/nano14242038
APA StyleTamersit, K., Kouzou, A., Rodriguez, J., & Abdelrahem, M. (2024). New Label-Free DNA Nanosensor Based on Top-Gated Metal–Ferroelectric–Metal Graphene Nanoribbon on Insulator Field-Effect Transistor: A Quantum Simulation Study. Nanomaterials, 14(24), 2038. https://doi.org/10.3390/nano14242038
        
                                                