Enhanced Visible Light Controlled Glucose Photo-Reforming Using a Composite WO3/Ag/TiO2 Photoanode: Effect of Incorporated Plasmonic Ag Nanoparticles
Abstract
1. Introduction
2. Materials and Methods
2.1. Synthesis of WO3 Mesoporous Film
2.2. Preparation of Silver Nanoparticles
2.3. The TiO2 Overlayer
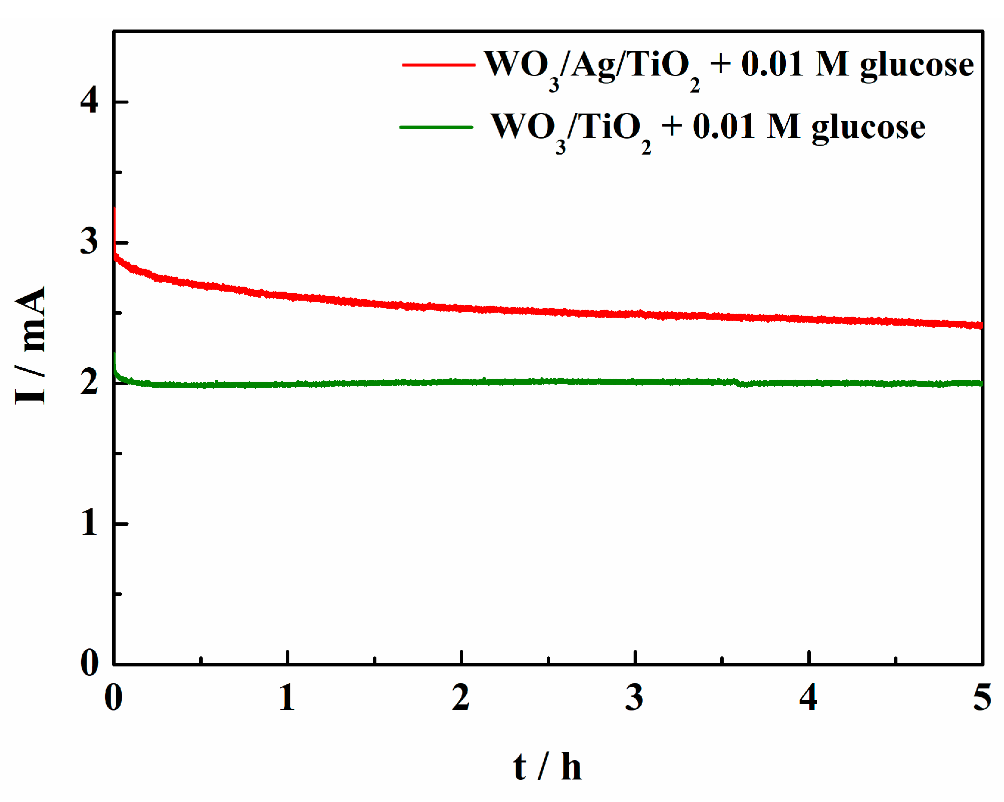
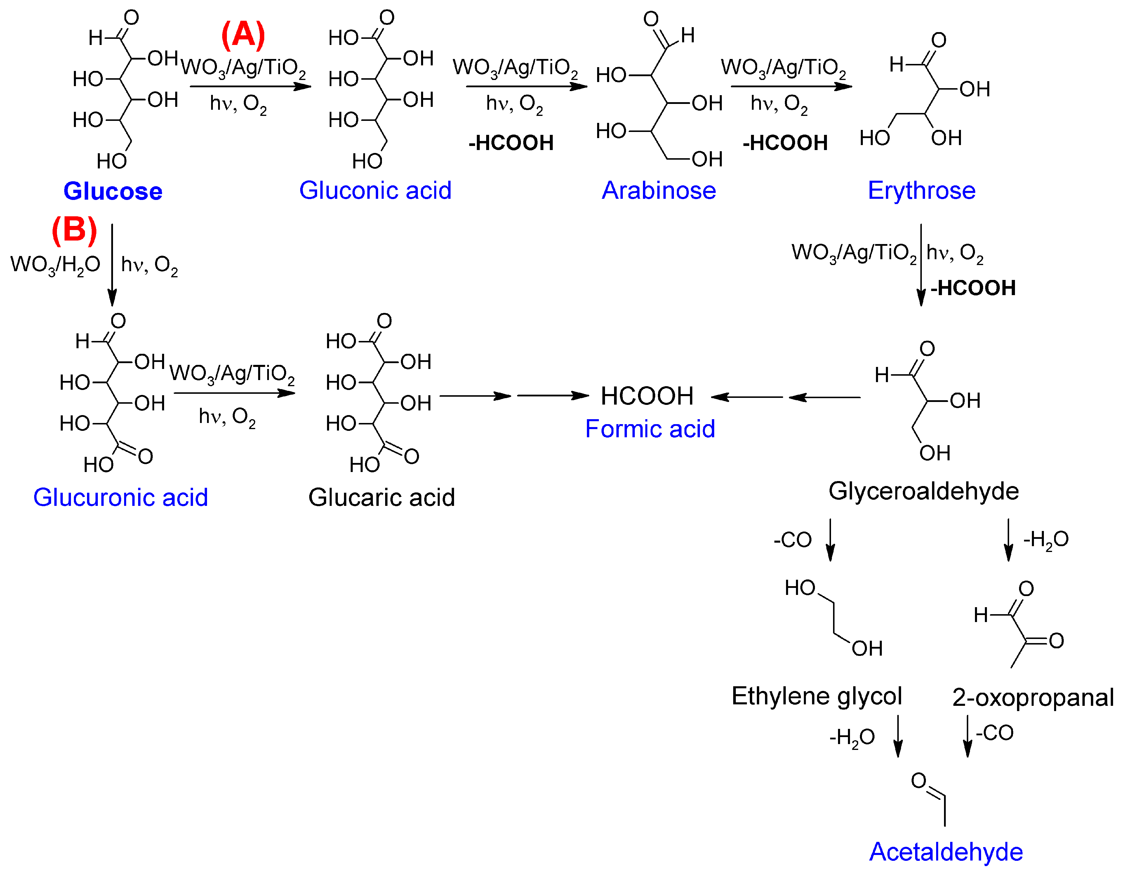
3. Results
4. Conclusions
Supplementary Materials
Author Contributions
Funding
Data Availability Statement
Conflicts of Interest
References
- Fujishima, A.; Honda, K. Electrochemical photolysis of water at a semiconductor electrode. Nature 1972, 238, 37. [Google Scholar] [CrossRef] [PubMed]
- Kawai, T.; Sakata, T. Conversion of carbohydrate into hydrogen fuel by a photocatalytic process. Nature 1980, 286, 474–476. [Google Scholar] [CrossRef]
- Besson, M.; Gallezot, P.; Pinel, C. Conversion of Biomass into Chemicals over Metal Catalysts. Chem. Rev. 2014, 114, 1827–1870. [Google Scholar] [CrossRef] [PubMed]
- Granone, L.I.; Sieland, F.; Zheng, N.; Dillerta, R.; Bahnemann, D.W. Photocatalytic Conversion of Biomass into Valuable Products: A Meaningful Approach? Green Chem. 2018, 20, 1169–1192. [Google Scholar] [CrossRef]
- Da Vià, L.; Recchi, C.; Gonzalez-Yanez, E.O.; Davies, T.E.; Lopez-Sanchez, J.A. Visible light selective photocatalytic conversion of glucose by TiO2. Appl. Catal. B Environ. 2017, 202, 281–288. [Google Scholar] [CrossRef]
- Bellardita, M.; Garcia-Lopez, E.I.; Marci, G.; Megna, B.; Pomilla, F.R.; Palmisano, L. Photocatalytic conversion of glucose in aqueous suspensions of heteropolyacid-TiO2 composites. RSC Adv. 2015, 5, 59037–59047. [Google Scholar] [CrossRef]
- Chong, R.; Li, J.; Ma, Y.; Zhang, B.; Han, H.; Li, C. Selective conversion of aqueous glucose to value-added sugar aldose on TiO2-based photocatalysts. J. Catal. 2014, 314, 101–108. [Google Scholar] [CrossRef]
- Colmenares, J.C.; Magdziarz, A.; Kurzydlowski, K.; Grzonka, J.; Chernyayeva, O.; Lisovytskiy, D. Low-temperature ultrasound-promoted synthesis of Cr–TiO2-supported photocatalysts for valorization of glucose and phenol degradation from liquid phase. Appl. Catal. B Environ. 2013, 134–135, 136–144. [Google Scholar] [CrossRef]
- Colmenares, J.C.; Magdziarz, A.; Bielejewska, A. High-value chemicals obtained from selective photo-oxidation of glucose in the presence of nanostructured titanium photocatalysts. Bioresour. Technol. 2011, 102, 11254–11257. [Google Scholar] [CrossRef] [PubMed]
- Silva, C.G.; Sampaio, M.J.; Marques, R.R.N.; Ferreira, L.A.; Tavares, P.B.; Silva, A.M.T.; Faria, J.L. Photocatalytic production of hydrogen from methanol and saccharides using carbon nanotube-TiO2 catalysts. Appl. Catal. B Environ. 2015, 178, 82–90. [Google Scholar] [CrossRef]
- Gomathisankar, P.; Yamamoto, D.; Katsumata, H.; Suzuki, T.; Kaneco, S. Photocatalytic hydrogen production with aid of simultaneous metal deposition using titanium dioxide from aqueous glucose solution. Int. J. Hydrogen Energy 2013, 38, 5517–5524. [Google Scholar] [CrossRef]
- Bahruji, H.; Bowker, M.; Davies, P.R.; Al-Mazroai, L.S.; Dickinson, A.; Greaves, J.; James, D.; Millard, L.; Pedrono, F. Sustainable H2 gas production by photocatalysis. J. Photochem. Photobiol. A Chem. 2010, 216, 115–118. [Google Scholar] [CrossRef]
- Kampouri, S.; Stylianou, K.C. Dual-Functional Photocatalysis for Simultaneous Hydrogen Production and Oxidation of Organic Substances. ACS Catal. 2019, 9, 4247–4270. [Google Scholar] [CrossRef]
- Parrino, F.; Bellardita, M.; García-López, E.I.; Marcì, G.; Loddo, V.; Palmisano, L. Heterogeneous Photocatalysis for Selective Formation of High-Value-Added Molecules: Some Chemical and Engineering Aspects. ACS Catal. 2018, 8, 11191–11225. [Google Scholar] [CrossRef]
- Nwosu, U.; Zhao, H.; Kibria, M.; Hu, J. Unlocking Selective Pathways for Glucose Photoreforming by Modulating Reaction Conditions. ACS Sustain. Chem. Eng. 2022, 10, 5867–5874. [Google Scholar] [CrossRef]
- de Assis, G.C.; Silva, I.M.A.; dos Santos, T.G.; dos Santos, T.V.; Meneghetti, M.R.; Meneghetti, S.M.P. Photocatalytic processes for biomass conversion. Catal. Sci. Technol. 2021, 11, 2354–2360. [Google Scholar] [CrossRef]
- Colmenares, J.C.; Magdziarz, A. Room Temperature Versatile Conversion of Biomass-Derived Compounds by Means of Supported TiO2 Photocatalysts. J. Mol. Catal. A Chem. 2013, 366, 156–162. [Google Scholar] [CrossRef]
- Jakubow-Piotrowska, K.; Witkowski, B.; Augustynski, J. Photoelectrocatalytic hydrogen generation coupled with reforming of glucose into valuable chemicals using a nanostructured WO3 photoanode. Commun. Chem. 2022, 5, 125. [Google Scholar] [CrossRef] [PubMed]
- Pecoraro, C.M.; Di Franco, F.; Loddo, V.; Bellardita, M.; Santamaria, M. Photoelectrolysis of glucose and fructose containing solution in PGM-free cells for hydrogen and valuable chemicals production. Int. J. Hydrogen Energy 2024, 87, 1277–1287. [Google Scholar] [CrossRef]
- Esposito, D.V.; Forest, R.; Chang, Y.; Gaillard, N.; McCandless, B.E.; Hou, S.; Lee, K.H.; Birkmire, R.W.; Chen, J.G. Photoelectrochemical reforming of glucose for hydrogen production using a WO3-based tandem cell device. Energy Environ. Sci. 2012, 5, 9091–9099. [Google Scholar] [CrossRef]
- Tian, Z.; Da, Y.; Wang, M.; Dou, X.; Cui, X.; Chen, J.; Jiang, R.; Xi, S.; Cui, B.; Luo, Y.; et al. Selective photoelectrochemical oxidation of glucose to glucaric acid by single atom Pt decorated defective TiO2. Nat. Commun. 2023, 14, 142. [Google Scholar] [CrossRef] [PubMed]
- Chen, X.; Liu, L.; Yu, P.Y.; Mao, S.S. Increasing solar absorption for photocatalysis with black hydrogenated titanium dioxide nanocrystals. Science 2011, 331, 746–750. [Google Scholar] [CrossRef]
- Santato, C.; Odziemkowski, M.; Ulmannn, M.; Augustynski, J. Crystallographically oriented mesoporous WO3 films: synthesis, characterization, and applications. J. Am. Chem. Soc. 2001, 123, 10639–10649. [Google Scholar] [CrossRef] [PubMed]
- Wahl, A.; Augustynski, J. Charge carrier transport in nanostructured anatase TiO2 films assisted by the self-doping of nanoparticles. J. Phys. Chem. 1998, 102, 7820–7828. [Google Scholar] [CrossRef]
- Solarska, R.; Santato, C.; Jorand-Sartoretti, C.; Ulmann, M.; Augustynski, J. Photoelectrolytic oxidation of organic species at mesoporous tungsten trioxide film electrodes under visible light illumination. J. Appl. Electrochem. 2005, 35, 715–721. [Google Scholar] [CrossRef]
- Panagiotopoulou, P.; Karamerou, E.E.; Kondarides, D.I. Kinetics and mechanism of glycerol photo-oxidation and photo-reforming reactions in aqueous TiO2 and Pt/TiO2 suspensions. Catal. Today 2013, 209, 91–98. [Google Scholar] [CrossRef]
- Lan, L.; Daly, H.; Sung, R.; Tuna, F.; Skillen, N.; Robertson, P.K.J.; Hardacre, C.; Fan, X. Mechanistic Study of Glucose Photo-reforming over TiO2-Based Catalysts for H2 Production. ACS Catal. 2023, 13, 8574–8587. [Google Scholar] [CrossRef]
- Bellardita, M.; García-López, E.I.; Marcì, G.; Palmisano, L. Photocatalytic formation of H2 and value-added chemicals in aqueous glucose (Pt)-TiO2 suspension. Int. J. Hydrogen Energy 2016, 41, 5934–5947. [Google Scholar] [CrossRef]
- Zhao, H.; Liu, P.; Wu, X.; Wang, A.; Zheng, D.; Wang, S.; Chen, Z.; Larter, S.; Li, Y.; Su, B.-L.; et al. Plasmon enhanced glucose photoreforming for arabinose and gas fuel co-production over 3DOM TiO2-Au. Appl. Catal. B Environ. 2021, 291, 120055. [Google Scholar] [CrossRef]
- Bellardita, M.; García-López, E.I.; Marcì, G.; Nasillo, G.; Palmisano, L. Photocatalytic Solar Light H2 Production by Aqueous Glucose Reforming. Eur. J. Inorg. Chem. 2018, 2018, 4522–4532. [Google Scholar] [CrossRef]
- Colombini, M.P.; Andreotti, A.; Bonaduce, I.; Modugno, F.; Ribechini, E. Analytical strategies for characterizing organic paint media using gas chromatography/mass spectrometry. ACC Chem. Res. 2010, 43, 715–727. [Google Scholar] [CrossRef]
- Zhou, D.; Hou, Q.; Liu, W.; Ren, X. Rapid determination of formic and acetic acids in biomass hydrolysate by headspace gas chromatography. J. Ind. Eng. Chem. 2017, 47, 281–287. [Google Scholar] [CrossRef]









Disclaimer/Publisher’s Note: The statements, opinions and data contained in all publications are solely those of the individual author(s) and contributor(s) and not of MDPI and/or the editor(s). MDPI and/or the editor(s) disclaim responsibility for any injury to people or property resulting from any ideas, methods, instructions or products referred to in the content. |
© 2024 by the authors. Licensee MDPI, Basel, Switzerland. This article is an open access article distributed under the terms and conditions of the Creative Commons Attribution (CC BY) license (https://creativecommons.org/licenses/by/4.0/).
Share and Cite
Jakubow-Piotrowska, K.; Witkowski, B.; Wrobel, P.; Miecznikowski, K.; Augustynski, J. Enhanced Visible Light Controlled Glucose Photo-Reforming Using a Composite WO3/Ag/TiO2 Photoanode: Effect of Incorporated Plasmonic Ag Nanoparticles. Nanomaterials 2024, 14, 2001. https://doi.org/10.3390/nano14242001
Jakubow-Piotrowska K, Witkowski B, Wrobel P, Miecznikowski K, Augustynski J. Enhanced Visible Light Controlled Glucose Photo-Reforming Using a Composite WO3/Ag/TiO2 Photoanode: Effect of Incorporated Plasmonic Ag Nanoparticles. Nanomaterials. 2024; 14(24):2001. https://doi.org/10.3390/nano14242001
Chicago/Turabian StyleJakubow-Piotrowska, Katarzyna, Bartlomiej Witkowski, Piotr Wrobel, Krzysztof Miecznikowski, and Jan Augustynski. 2024. "Enhanced Visible Light Controlled Glucose Photo-Reforming Using a Composite WO3/Ag/TiO2 Photoanode: Effect of Incorporated Plasmonic Ag Nanoparticles" Nanomaterials 14, no. 24: 2001. https://doi.org/10.3390/nano14242001
APA StyleJakubow-Piotrowska, K., Witkowski, B., Wrobel, P., Miecznikowski, K., & Augustynski, J. (2024). Enhanced Visible Light Controlled Glucose Photo-Reforming Using a Composite WO3/Ag/TiO2 Photoanode: Effect of Incorporated Plasmonic Ag Nanoparticles. Nanomaterials, 14(24), 2001. https://doi.org/10.3390/nano14242001

