Enhanced Energy Storage Performance in La-Doped CaBi4Ti4O15 Films Through the Formation of a Weakly Coupled Relaxor
Abstract
1. Introduction
2. Experimental Section
2.1. Materials Preparation
2.2. Characterization of Materials
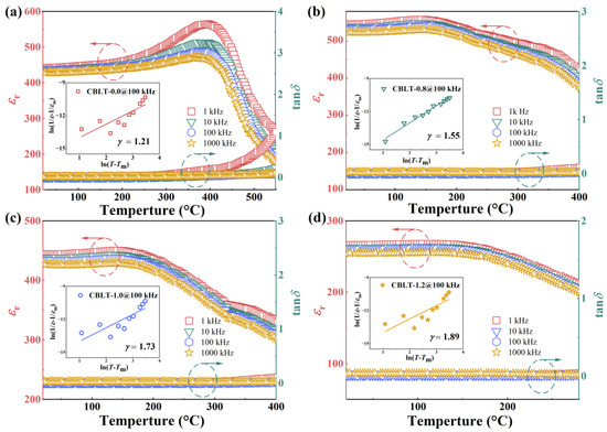
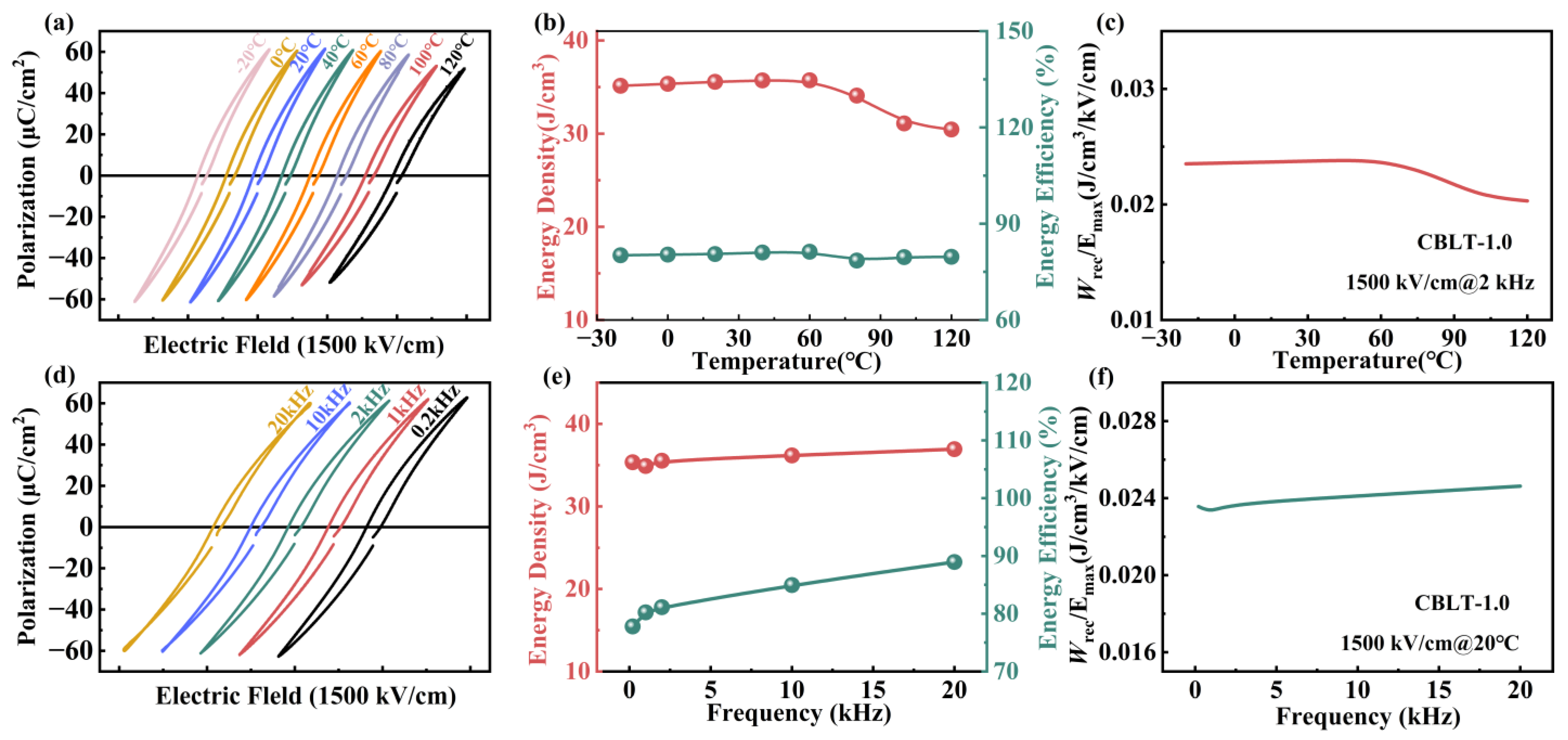
3. Results and Discussion
4. Conclusions
Author Contributions
Funding
Data Availability Statement
Conflicts of Interest
References
- Yang, B.; Zhang, Q.; Zhang, X.; Huang, H.; Pan, H.; Zhu, W.; Meng, F.; Lan, S.; Liu, Y.; Wei, B.; et al. Engineering Relaxors by Entropy for High Energy Storage Performance. Nat. Energy 2023, 8, 956–964. [Google Scholar] [CrossRef]
- Guo, B.; Jin, F.; Li, L.; Pan, Z.; Xu, X.; Wang, H. Design Strategies of High-Performance Lead-free Electroceramics for Energy Storage Applications. Rare Met. 2024, 43, 853–878. [Google Scholar] [CrossRef]
- Yang, Y.; Bremnera, S.; Menictasb, C.; Kay, M. Battery Energy Storage System Size Determination in Renewable Energy Systems: A Review. Renew. Sustain. Energy Rev. 2018, 91, 105–129. [Google Scholar] [CrossRef]
- Zhao, P.; Cai, Z.; Wu, L.; Zhu, C.; Li, L.; Wang, X. Design Perspectives and Challenges for Lead-Free Energy-Storage Multilayer Ceramic Capacitors. J. Adv. Ceram. 2021, 10, 1153–1193. [Google Scholar] [CrossRef]
- Yang, L.; Kong, X.; Li, F.; Hao, H.; Cheng, Z.; Liu, H.; Li, J.; Zhang, S. Perovskite Lead-Free Dielectrics for Energy Storage Applications. Prog. Mater. Sci. 2019, 102, 72–108. [Google Scholar] [CrossRef]
- Li, D.; Meng, X.; Zhou, E.; Chen, X.; Shen, Z.; Guo, Q.; Yao, Z.; Cao, M.; Wu, Z.; Zhang, S.; et al. Ultrahigh Energy Density of Antiferroelectric PbZrO3-Based Films at Low Electric Field. Adv. Funct. Mater. 2023, 44, 2302995. [Google Scholar] [CrossRef]
- Pan, H.; Zhang, Q.; Wang, M.; Lan, S.; Meng, F.; Ma, J.; Gu, L.; Shen, Y.; Yu, P.; Lin, Y.; et al. Enhancements of Dielectric and Energy Storage Performances in Lead-free Films with Sandwich Architecture. J. Am. Ceram. Soc. 2019, 102, 936–943. [Google Scholar] [CrossRef]
- Er, X.; Chen, P.; Guo, J.; Hou, Y.; Yu, X.; Liu, P.; Bai, Y.; Zhan, Q. Enhanced Energy-Storage Performance in a Flexible Film Capacitor with Coexistence of Ferroelectric and Polymorphic Antiferroelectric Domains. J. Mater. 2022, 8, 375–381. [Google Scholar] [CrossRef]
- Li, X.; Wang, J.; San, X.; Wang, N.; Zhao, L. High Energy Storage Performance in AgNbO3 Relaxor Ferroelectric Films Induced by Nanopillar Structure. J. Mater. Sci. Technol. 2023, 155, 160–166. [Google Scholar] [CrossRef]
- Kim, J.; Saremi, S.; Acharya, M.; Velarde, G.; Parsonnet, E.; Donahue, P.; Qualls, A.; Garcia, D.; Martin, L. Ultrahigh Capacitive Energy Density in Ion-Bombarded Relaxor Ferroelectric Films. Science 2020, 369, 81. [Google Scholar] [CrossRef]
- Shu, L.; Shi, X.; Zhang, X.; Yang, Z.; Li, W.; Ma, Y.; Liu, Y.; Liu, L.; Cheng, Y.; Wei, L.; et al. Partitioning Polar-Slush Strategy in Relaxors Leads to Large Energy-Storage Capability. Science 2024, 385, 203–209. [Google Scholar] [CrossRef] [PubMed]
- Zhu, L.; Deng, S.; Zhao, L.; Li, G.; Wang, Q.; Li, Q.; Yan, Y.; Qi, H.; Zhang, B.; Chen, J.; et al. Heterovalent-Doping-Enabled Atom displacement Fluctuation Leads to Ultrahigh Energy-Storage Density in AgNbO3-Based Multilayer Capacitors. Nat. Commun. 2023, 14, 1166. [Google Scholar] [CrossRef]
- Ren, X.; Jin, L.; Peng, Z.; Chen, B.; Qiao, X.; Wu, D.; Li, G.; Du, H.; Yang, Z.; Chao, X. Regulation of Energy Density and Efficiency in Transparent Ceramics by Grain Refinement. Chem. Eng. J. 2020, 390, 124566. [Google Scholar] [CrossRef]
- Pan, H.; Li, F.; Liu, Y.; Zhang, Q.; Wang, M.; Lan, S.; Zheng, Y.; Ma, J.; Gu, L.; Shen, Y.; et al. Ultrahigh-Energy Density Lead-Free Dielectric Films via Polymorphic Nanodomain Design. Science 2019, 365, 578–582. [Google Scholar] [CrossRef] [PubMed]
- Zhao, Y.; Ouyang, J.; Wang, K.; Yuan, M.; Gao, Y.; Su, Y.; Cheng, H.; Liu, M.; Yang, Q.; Pan, W. Achieving an Ultra-High Capacitive Energy Density in Ferroelectric Films Consisting of Superfine Columnar Nanograins. Energy Storage Mater. 2021, 39, 81–88. [Google Scholar] [CrossRef]
- Ederer, C.; Spaldin, N. Effect of Epitaxial Strain on the Spontaneous Polarization of Thin Film Ferroelectrics. Phys. Rev. Lett. 2005, 95, 257601. [Google Scholar] [CrossRef]
- Yang, B.; Guo, M.; Song, D.; Tang, X.; Wei, R.; Hu, L.; Yang, J.; Song, W.; Dai, J.; Lou, X.; et al. Bi3.25La0.75Ti3O12 Thin Film Capacitors for Energy Storage Applications. Appl. Phys. Lett. 2017, 111, 183903. [Google Scholar] [CrossRef]
- Aurivillius, B. Mixed Bismuth Oxides with Layer Lattices. 1. The Structure Type of CaNb2Bi2O9. Ark. Kemi. 1949, 1, 463–480. [Google Scholar]
- Aurivillius, B. Mixed Bismuth Oxides with Layer Lattices. 2. Structure of Bi4Ti3O12. Ark. Kemi. 1949, 1, 499–512. [Google Scholar]
- Fukunaga, M.; Takesada, M.; Onodera, A. Ferroelectricity in Layered Perovskites as a Model of Ultra-Thin Films. World J. Condens. Matter Phys. 2016, 6, 224–243. [Google Scholar] [CrossRef]
- Wang, C.; Wang, J. Aurivillius Phase Potassium Bismuth Titanate: K0.5Bi4.5Ti4O15. J. Am. Ceram. Soc. 2008, 91, 918–923. [Google Scholar] [CrossRef]
- Krzhizhanovskaya, M.; Filatov, S.; Gusarov, V.; Paufler, P.; Bubnova, R.; Morozov, M.; Meyer, D. Aurivillius Phases in the Bi4Ti3O12/BiFeO3 System: Thermal Behaviour and Crystal Structure. Z. Für Anorg. Allg. Chem. 2005, 631, 1603–1608. [Google Scholar] [CrossRef]
- Lomanova, N.; Morozov, M.; Gusarov, V. Properties of Aurivillius phases in the Bi4Ti3O12-BiFeO3 System. Inorg. Mater. 2006, 42, 189–195. [Google Scholar] [CrossRef]
- Han, Y.; Qian, J.; Yang, C. Time-Stable Giant Energy Density and High Efficiency in Lead Free (Ce, Mn)-Modified (Na0.8K0.2)0.5Bi0.5TiO3 Ceramic Film Capacitor. Ceram. Int. 2019, 45, 22737–22743. [Google Scholar] [CrossRef]
- Vu, H.T.; Vu, H.N.; Rijnders, G.; Nguyen, M. Sm-Doping Driven State-Phase Transition and Energy Storage Capability in Lead-Free Ba(Zr0.35Ti0.65)O3 Films. J. Alloys Compd. 2023, 968, 171837. [Google Scholar] [CrossRef]
- Zhou, Y.; Chen, J.; Jiang, N.; Guo, F.; Yang, B.; Zhao, S. Energy Storage Performances of La Doped SrBi5Ti4FeO18 Films. Chem. Eng. J. 2022, 431, 133999. [Google Scholar] [CrossRef]
- Cohen, R. Origin of Ferroelectricity in Perovskite Oxides Energy Storage Performances of La Doped SrBi5Ti4FeO18 Films. Nature 1992, 358, 136–138. [Google Scholar] [CrossRef]
- Righi, L.; Amboage, M.; Gutiérrez, J.; Barandiarán, J.; Fernández, B.; Fernández-Díaz, M. Magnetic and Nuclear Structure of the Perovskite-like Oxides (LaBi)0.7Ca0.3MnO3. Phys. B 2000, 276, 718–719. [Google Scholar] [CrossRef]
- Shannon, R. Revised Effective Ionic Radii and Systematic Studies of Interatomie Distances in Halides and Chaleogenides. Acta Cryst. 1976, A32, 751. [Google Scholar] [CrossRef]
- Tang, Z.; Chen, J.; Yang, B.; Zhang, M.; Cao, T.; Zhou, Y.; Zhao, S. Ultrahigh Energy Storage Performances Induced by Weaker La-O Orbital Hybridization in (Na0.85K0.15)0.5Bi4.5-xLaxTi4O15 Relaxor Ferroelectric Films. J. Phys. Chem. C 2021, 125, 4986–4994. [Google Scholar] [CrossRef]
- Chen, J.; Tang, Z.; Yang, B.; Zhao, S. High Energy Storage Performances in Lead-Free BaBi3.9Pr0.1Ti4O15 Relaxor Ferroelectric Films. Appl. Phys. Lett. 2018, 113, 153904. [Google Scholar] [CrossRef]
- Khokhar, A.; Goyal, P.; Thakur, O.; Shukla, A.; Sreenivas, K. Influence of Lanthanum Distribution on Dielectric and Ferroelectric Properties of BaBi4-xLaxTi4O15 Ceramics. Mater. Chem. Phys. 2015, 152, 13–25. [Google Scholar] [CrossRef]
- Zhou, Y.; Chen, J.; Yang, B.; Zhao, S. Ultrahigh Energy Storage Performances Derived from the Relaxation Behaviors and Inhibition of the Grain Growth in La Doped Bi5Ti3FeO15 Films. Chem. Eng. J. 2021, 424, 130435. [Google Scholar] [CrossRef]
- Venkata Ramana, E.; Prasad, N.; Figueiras, F.; Lajaunie, L.; Arenal, R.; Otero-Irurueta, G.; Valente, M. The Growth and Improved Magnetoelectric Response of Strain-Modified Aurivillius SrBi4.25La0.75Ti4FeO18 Thin Films. Dalton Trans. 2019, 48, 13224–13241. [Google Scholar] [CrossRef] [PubMed]
- Mao, X.; Sun, H.; Wang, W.; Lu, Y.; Chen, X. Effects of Co-substitutes on Multiferroic Properties of Bi5FeTi3O15 Ceramics. Solid State Commun. 2012, 152, 483–487. [Google Scholar] [CrossRef]
- Tang, Z.; Chen, J.; Yang, B.; Zhao, S. Energy Storage Performances Regulated by Layer Selection Engineering for Doping in Multi-Layered Perovskite Relaxor Ferroelectric Films. Appl. Phys. Lett. 2019, 114, 163901. [Google Scholar] [CrossRef]
- Zhu, J.; Lu, W.P.; Mao, Y.; Hui, R.; Chen, X. Study on Properties of Lanthanum Doped SrBi4Ti4O15 and Sr2Bi4Ti5O18 Ferroelectric Ceramics. Jpn. J. Appl. Phys. 2003, 42, 5165–5168. [Google Scholar] [CrossRef]
- Nayak, P.; Badapanda, T.; Panigrahi, S. Dielectric and Ferroelectric Properties of Lanthanum Modified SrBi4Ti4O15 Ceramics. Mater. Lett. 2016, 172, 32–35. [Google Scholar] [CrossRef]
- Shimanskij, A.; Drofenik, M.; Kolar, D. Subsolidus Grain Growth in Donor Doped Barium Titanate. J. Mater. Sci. 1994, 29, 6301–6305. [Google Scholar] [CrossRef]
- Zhu, J.; Chen, X.; Zhang, Z.; Shen, J. Raman and X-ray Photoelectron Scattering Study of Lanthanum-Doped Strontium Bismuth Titanate. Acta Mater. 2005, 53, 3155–3162. [Google Scholar] [CrossRef]
- Khokhar, A.; Mahesh, M.; James, A.; Goyal, P.; Sreenivas, K. Sintering Characteristics and Electrical Properties of BaBi4Ti4O15 Ferroelectric Ceramics. J. Alloys Compd. 2013, 581, 150–159. [Google Scholar] [CrossRef]
- Song, B.; Wu, S.; Yan, H.; Zhu, K.; Xu, L.; Shen, B.; Zhai, J. Fatigue-less Relaxor Ferroelectric Thin Films with High Energy Storage Density via Defect Engineer. J. Mater. Sci. Technol. 2021, 77, 178–186. [Google Scholar] [CrossRef]
- Chen, J.; Tang, Z.; Yang, B.; Zhao, S. Ultra-high Energy Storage Performances Regulated by Depletion Region Engineering Sensitive to the Electric Field in PNP-type Relaxor Ferroelectric Heterostructural Films. J. Mater. Chem. A 2020, 8, 8010–8019. [Google Scholar] [CrossRef]
- Dai, Z.; Xie, J.; Fan, X.; Ding, X.; Liu, W.; Zhou, S.; Ren, X. Enhanced Energy Storage Properties and Stability of Sr(Sc0.5Nb0.5)O3 Modified 0.65BaTiO3- 0.35Bi0.5Na0.5TiO3 Ceramics. Chem. Eng. J. 2020, 397, 125520. [Google Scholar] [CrossRef]
- Yang, Z.; Gao, F.; Du, H.; Jin, L.; Yan, L.; Hu, Q.; Yu, Y.; Qu, S.; Wei, X.; Xu, Z.; et al. Grain size Engineered Lead-Free Ceramics with both Large Energy Storage Density and Ultrahigh Mechanical Properties. Nano Energy 2019, 58, 768–777. [Google Scholar] [CrossRef]
- Peng, B.; Zhang, Q.; Li, X.; Sun, T.; Fan, H.; Ke, S.; Ye, M.; Wang, Y.; Lu, W.; Niu, H.; et al. Large Energy Storage Density and High Thermal Stability in a Highly Textured (111)-oriented Pb0.8Ba0.2ZrO3 Relaxor Thin Film with the Coexistence of Antiferroelectric and Ferroelectric Phases. ASC Appl. Mater. Interfaces 2015, 7, 13512–13517. [Google Scholar] [CrossRef] [PubMed]
- Li, Y.; Wang, Z.; Bai, Y.; Zhang, Z. High Energy Storage Performance in Ca-Doped PbZrO3 Antiferroelectric Films. J. Eur. Ceram. Soc. 2020, 40, 1285–1292. [Google Scholar] [CrossRef]
- Yin, C.; Zhang, T.; Shi, Z.; Zhang, C.; Feng, Y.; Chi, Q. High Energy Storage Performance of All-Inorganic Flexible Antiferroelectric-Insulator Multilayered Thin Films. ACS Appl. Mater. Interfaces 2022, 14, 28997–29006. [Google Scholar] [CrossRef] [PubMed]
- Zhang, T.; Zhao, Y.; Li, W.; Fei, W. High energy storage density at low electric field of ABO3 antiferroelectric films with ionic pair doping. Energy Storage Mater. 2019, 18, 238–245. [Google Scholar] [CrossRef]
- Zhao, Y.; Hao, X.; Zhang, Q. Enhanced Energy-Storage Performance and Electricaloric Effect in Compositionally Graded Pb(1–3x/2)LaxZr0.85Ti0.15O3 Antiferroelectric Thick Films. Ceram. Int. 2015, 42, 1679–1687. [Google Scholar] [CrossRef][Green Version]
- Ge, S.; Liu, S.; Feng, W.; Bao, Z.; Liu, Y.; Xue, Y.; Cheng, B. Achieving High Energy Storage Performance and Thermal Stability Concurrently in the Cost-Cutting Al2O3/Ba0.6Sr0.4Ti0.95Ce0.05O3/ZrO2 Composite Films for Energy Storage Applications. Ceram. Int. 2023, 49, 9155–9164. [Google Scholar] [CrossRef]
- Hu, Y.; Mattursun, A.; Feng, M.; Liu, N.; Wang, H.; Qu, K.; Deng, X.; Guan, Z.; Yang, Z.; Chen, B.; et al. Ultrahigh Energy Storage Performance of BiFeO3-BaTiO3 Flexible Film Capacitor with High-Temperature Stability via Defect Design. Small Methods 2024, 2400258, 1–8. [Google Scholar] [CrossRef] [PubMed]
- Shang, M.; Ren, P.; Ren, D.; Wang, X.; Lu, X.; Yan, F.; Zhao, G. Enhanced Energy Storage Performances under Moderate Electric Field in Aliovalent A/B-site Co-Doped AgNbO3. Mater. Res. Bull. 2023, 157, 112008. [Google Scholar] [CrossRef]
- Luo, J.; Zhu, H.; Zheng, T.; Qian, H.; Liu, Y.; Lyu, Y. A Slush-Like Polar Structure for High Energy Storage Performance in a Sr0.7Bi0.2TiO3 Lead-Free Relaxor Ferroelectric Thin Tilm. J. Mater. Chem. A 2022, 10, 7357. [Google Scholar] [CrossRef]
- Wang, P.; Wang, X.; Li, G.; Hu, R.; Zhu, K.; Li, Y.; Yao, X.; Pan, Z. Nanocrystalline Engineering Induced High Energy Storage Performances of Fatigue-Free Ba2Bi3.9Pr0.1Ti5O18 Ferroelectric Thin Films. ACS Appl. Mater. Interfaces 2022, 14, 17642–17651. [Google Scholar] [CrossRef]
- Li, Y.; Lin, W.; Yang, B.; Zhang, S.; Zhao, S. Domain Dynamics Engineering in Ergodic Relaxor Ferroelectrics for Dielectric Energy Storage. Acta Mater. 2023, 255, 119071. [Google Scholar] [CrossRef]
- Chen, Z.; Bu, X.; Ruan, B.; Du, J.; Zheng, P.; Li, L.; Wen, F.; Bai, W.; Wu, W.; Zheng, L.; et al. Simultaneously Achieving High Energy Storage Density and Efficiency under Low Electric Field in BiFeO3-based Lead-Free Relaxor Ferroelectric Ceramics. J. Eur. Ceram. Soc. 2020, 40, 5450–5457. [Google Scholar] [CrossRef]
- Yan, J.; Ouyang, J.; Cheng, H.; Zhu, H.; Liu, C. Bismuth Layer-Structured Bi4Ti3O12-CaBi4Ti4O15 Intergrowth Ferroelectric Films for High-Performance Dielectric Energy Storage on Si Substrate. Appl. Surf. Sci. 2023, 636, 157851. [Google Scholar] [CrossRef]
- Jin, L.; Li, F.; Zhang, S.; Green, D. Decoding the Fingerprint of Ferroelectric Loops: Comprehension of the Material Properties and Structures. J. Am. Ceram. Soc. 2014, 97, 1–27. [Google Scholar] [CrossRef]
- Li, F.; Hou, X.; Wang, J.; Zeng, H.; Shen, B.; Zhai, J. Structure-Design Strategy of 0–3 type (Bi0.32Sr0.42Na0.20)TiO3/MgO Composite to Boost Energy Storage Density, Efficiency and Charge-Discharge Performance. J. Eur. Ceram. Soc. 2019, 39, 2889–2898. [Google Scholar] [CrossRef]







Disclaimer/Publisher’s Note: The statements, opinions and data contained in all publications are solely those of the individual author(s) and contributor(s) and not of MDPI and/or the editor(s). MDPI and/or the editor(s) disclaim responsibility for any injury to people or property resulting from any ideas, methods, instructions or products referred to in the content. |
© 2024 by the authors. Licensee MDPI, Basel, Switzerland. This article is an open access article distributed under the terms and conditions of the Creative Commons Attribution (CC BY) license (https://creativecommons.org/licenses/by/4.0/).
Share and Cite
Liu, Q.; Zhang, L.; Ouyang, J.; Liu, Y.; Tang, Z.; Chen, J.; Guo, F.; Zhou, Y. Enhanced Energy Storage Performance in La-Doped CaBi4Ti4O15 Films Through the Formation of a Weakly Coupled Relaxor. Nanomaterials 2024, 14, 1998. https://doi.org/10.3390/nano14241998
Liu Q, Zhang L, Ouyang J, Liu Y, Tang Z, Chen J, Guo F, Zhou Y. Enhanced Energy Storage Performance in La-Doped CaBi4Ti4O15 Films Through the Formation of a Weakly Coupled Relaxor. Nanomaterials. 2024; 14(24):1998. https://doi.org/10.3390/nano14241998
Chicago/Turabian StyleLiu, Quanlong, Lei Zhang, Jun Ouyang, Yan Liu, Zhehong Tang, Jieyu Chen, Fei Guo, and Yunpeng Zhou. 2024. "Enhanced Energy Storage Performance in La-Doped CaBi4Ti4O15 Films Through the Formation of a Weakly Coupled Relaxor" Nanomaterials 14, no. 24: 1998. https://doi.org/10.3390/nano14241998
APA StyleLiu, Q., Zhang, L., Ouyang, J., Liu, Y., Tang, Z., Chen, J., Guo, F., & Zhou, Y. (2024). Enhanced Energy Storage Performance in La-Doped CaBi4Ti4O15 Films Through the Formation of a Weakly Coupled Relaxor. Nanomaterials, 14(24), 1998. https://doi.org/10.3390/nano14241998
