Reorientation Transition Between Square and Hexagonal Skyrmion Lattices near the Saturation into the Homogeneous State in Quasi-Two-Dimensional Chiral Magnets
Abstract
1. Introduction
2. Phenomenological Theory
3. Isolated Skyrmions
4. Skyrmion Orders
4.1. Square SkLs
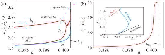
4.2. Distorted Skyrmion Lattices
5. Conclusions
Funding
Data Availability Statement
Acknowledgments
Conflicts of Interest
References
- Bogdanov, A.N.; Yablonsky, D.A. Thermodynamically stable vortices in magnetically ordered crystals. Mixed state of magnetics. Zh. Eksp. Teor. Fiz. 1989, 95, 178, Erratum in Sov. Phys. JETP 1989, 68, 101. [Google Scholar]
- Bogdanov, A.; Hubert, A. Thermodynamically stable magnetic vortex states in magnetic crystals. J. Magn. Magn. Mater. 1994, 138, 255. [Google Scholar] [CrossRef]
- Dzyaloshinskii, I.E. Theory of helicoidal structures in antiferromagnets I. Nonmetals. J. Sov. Phys. JETP-USSR 1964, 19, 960. [Google Scholar]
- Roessler, U.K.; Leonov, A.A.; Bogdanov, A.N. Skyrmionic textures in chiral magnets. J. Phys. 2010, 200, 022029. [Google Scholar]
- Dzyaloshinskii, I.E. A thermodynamic theory of weak ferromagnetism of antiferromagnetics. J. Phys. Chem. Sol. 1958, 4, 241. [Google Scholar] [CrossRef]
- Moriya, T. Anisotropic Superexchange Interaction and Weak Ferromagnetism. Phys. Rev. 1960, 120, 91. [Google Scholar] [CrossRef]
- Hobart, R.H. On the Instability of a Class of Unitary Field Models. Proc. Phys. Soc. Lond. 1963, 82, 201. [Google Scholar] [CrossRef]
- Derrick, G.H. Comments on NonlinearWave Equations as Models for Elementary Particles. J. Math. Phys. 1964, 5, 1252. [Google Scholar] [CrossRef]
- Kadowaki, K.; Okuda, K.; Date, M. Magnetization and magnetoresistance of MnSi. J. Phys. Soc. Jpn. 1982, 51, 2433. [Google Scholar] [CrossRef]
- Müehlbauer, S.; Binz, B.; Jonietz, F.; Pfleiderer, C.; Rosch, A.; Neubauer, A.; Georgii, R.; Böni, P. Skyrmion lattice in a chiral magnet. Science 2009, 323, 915. [Google Scholar] [CrossRef]
- Wilhelm, H.; Leonov, A.O.; Rößler, U.K.; Burger, P.; Hardy, F.; Meingast, C.; Gruner, M.E.; Schnelle, W.; Schmidt, M.; Baenitz, M. Scaling Study and Thermodynamic Properties of the cubic Helimagnet FeGe. Phys. Rev. B 2016, 94, 144424. [Google Scholar] [CrossRef]
- Seki, S.; Yu, X.Z.; Ishiwata, S.; Tokura, Y.; Bogdanov, A.N. Observation of Skyrmions in a Multiferroic Material. Science 2012, 336, 198. [Google Scholar] [CrossRef]
- Yu, X.Z.; Onose, Y.; Kanazawa, N.; Park, J.H.; Han, J.H.; Matsui, Y.; Nagaosa, N.; Tokura, Y. Real-space observation of a two-dimensional skyrmion crystal. Nature 2010, 465, 901. [Google Scholar] [CrossRef]
- Yu, X.Z.; Kanazawa, N.; Onose, Y.; Kimoto, K.; Zhang, W.Z.; Ishiwata, S.; Matsui, Y.; Tokura, Y. Near room-temperature formation of a skyrmion crystal in thin-films of the helimagnet FeGe. Nature Mater. 2011, 10, 106. [Google Scholar] [CrossRef] [PubMed]
- Romming, N.; Hanneken, C.; Menzel, M.; Bickel, J.E.; Wolter, B.; von Bergmann, K.; Kubetzka, A.; Wiesendanger, R. Writing and Deleting Single Magnetic Skyrmions. Science 2013, 341, 636. [Google Scholar] [CrossRef]
- Fert, A.; Cros, V.; Sampaio, J. Skyrmions on the track. Nat. Nanotechnol. 2013, 8, 152. [Google Scholar] [CrossRef] [PubMed]
- Tomasello, E.M.R.; Zivieri, R.; Torres, L.; Carpentieri, M.; Finocchio, G. A strategy for the design of skyrmion racetrack memories. Sci. Rep. 2014, 4, 6784. [Google Scholar] [CrossRef]
- Cortes-Ortuno, D.; Wang, W.; Beg, M.; Pepper, R.A.; Bisotti, M.-A.; Carey, R.; Vousden, M.; Kluyver, T.; Hovorka, O.; Fangohr, H. Thermal stability and topological protection of skyrmions in nanotracks. Sci. Rep. 2017, 7, 1. [Google Scholar] [CrossRef]
- Wiesendanger, R. Nanoscale magnetic skyrmions in metallic films and multilayers: A new twist for spintronics. Nat. Rev. Mater. 2016, 1, 16044. [Google Scholar] [CrossRef]
- Schulz, T.; Ritz, R.; Bauer, A.; Halder, M.; Wagner, M.; Franz, C.; Pfleiderer, C.; Everschor, K.; Garst, M.; Rosch, A. Emergent electrodynamics of skyrmions in a chiral magnet. Nat. Phys. 2012, 8, 301–304. [Google Scholar] [CrossRef]
- Jonietz, F.; Mühlbauer, S.; Pfleiderer, C.; Neubauer, A.; Münzer, W.; Bauer, A.; Adams, T.; Georgii, R.; Böni, P.; Duine, R.A.; et al. Spin Transfer Torques in MnSi at Ultralow Current Densities. Science 2010, 330, 1648–1651. [Google Scholar] [CrossRef]
- Mochizuki, M. Spin-Wave Modes and Their Intense Excitation Effects in Skyrmion Crystals. Phys. Rev. Lett. 2012, 108, 017601. [Google Scholar] [CrossRef]
- Mukai, N.; Leonov, A.O. Skyrmion and meron ordering in quasi-two-dimensional chiral magnets. Phys. Rev. B 2022, 106, 224428. [Google Scholar] [CrossRef]
- de Gennes, P.G. Fluctuations, Instabilities, and Phase Transitions; Riste, T., Ed.; NATO Science Series B; Plenum: New York, NY, USA, 1975; Volume 2. [Google Scholar]
- Zhang, X.; Zhao, G.P.; Fangohr, H.; Ping Liu, J.; Xia, W.X.; Xia, J.; Morvan, F.J. Skyrmion-skyrmion and skyrmion-edge repulsions in skyrmion-based racetrack memory. Sci. Rep. 2015, 5, 7643. [Google Scholar] [CrossRef]
- Togawa, Y.; Koyama, T.; Takayanagi, K.; Mori, S.; Kousaka, Y.; Akimitsu, J.; Nishihara, S.; Inoue, K.; Ovchinnikov, A.S.; Kishine, J. Chiral Magnetic Soliton Lattice on a Chiral Helimagnet. Phys. Rev. Lett. 2012, 108, 107202. [Google Scholar] [CrossRef] [PubMed]
- Crisanti, M.; Leonov, A.O.; Cubitt, R.; Labh, A.; Wilhelm, H.; Schmidt, M.P.; Pappas, C. Tilted spirals and low-temperature skyrmions in Cu2OSeO3. Phys. Rev. Res. 2023, 5, 033033. [Google Scholar] [CrossRef]
- Jiang, A.; Zhou, Y.; Zhang, X.; Mochizuki, M. Transformation of a skyrmionium to a skyrmion through the thermal annihilation of the inner skyrmion. Phys. Rev. Res. 2024, 6, 013229. [Google Scholar] [CrossRef]
- Vansteenkiste, A.; Leliaert, J.; Dvornik, M.; Helsen, M.; Garcia-Sanchez, M.; Van Waeyenberge, B. The design and verification of MuMax3. AIP Adv. 2014, 4, 107133. [Google Scholar] [CrossRef]
- Leonov, A.O.; Pappas, C.; Smalyukh, I.I. Field-driven metamorphoses of isolated skyrmions within the conical state of cubic helimagnets. Phys. Rev. B 2021, 104, 064432. [Google Scholar] [CrossRef]
- Rosch, A. Particles or Waves. Nat. Mater. 2016, 15, 1231. [Google Scholar] [CrossRef]
- Nakajima, T.; Oike, H.; Kikkawa, A.; Gilbert, E.P.; Booth, N.; Kakurai, K.; Taguchi, Y.; Tokura, Y.; Kagawa, F.; Arima, T. Skyrmion lattice structural transition in MnSi. Sci. Adv. 2017, 3, e1602562. [Google Scholar] [CrossRef] [PubMed]
- Takagi, R.; Matsuyama, N.; Ukleev, V.; Yu, L.; White, J.S.; Francoual, S.; Mardegan, J.R.L.; Hayami, S.; Saito, H.; Kaneko, K.; et al. Square and rhombic lattices of magnetic skyrmions in a centrosymmetric binary compound. Nat. Commun. 2022, 13, 1472. [Google Scholar] [CrossRef] [PubMed]
- Kurumaji, T.; Nakajima, T.; Ukleev, V.; Feoktystov, A.; Arima, T.; Kakurai, K.; Tokura, Y. Neel-Type Skyrmion Lattice in the Tetragonal Polar Magnet. Phys. Rev. Lett. 2017, 119, 237201. [Google Scholar] [CrossRef] [PubMed]






Disclaimer/Publisher’s Note: The statements, opinions and data contained in all publications are solely those of the individual author(s) and contributor(s) and not of MDPI and/or the editor(s). MDPI and/or the editor(s) disclaim responsibility for any injury to people or property resulting from any ideas, methods, instructions or products referred to in the content. |
© 2024 by the author. Licensee MDPI, Basel, Switzerland. This article is an open access article distributed under the terms and conditions of the Creative Commons Attribution (CC BY) license (https://creativecommons.org/licenses/by/4.0/).
Share and Cite
Leonov, A.O. Reorientation Transition Between Square and Hexagonal Skyrmion Lattices near the Saturation into the Homogeneous State in Quasi-Two-Dimensional Chiral Magnets. Nanomaterials 2024, 14, 1970. https://doi.org/10.3390/nano14231970
Leonov AO. Reorientation Transition Between Square and Hexagonal Skyrmion Lattices near the Saturation into the Homogeneous State in Quasi-Two-Dimensional Chiral Magnets. Nanomaterials. 2024; 14(23):1970. https://doi.org/10.3390/nano14231970
Chicago/Turabian StyleLeonov, Andrey O. 2024. "Reorientation Transition Between Square and Hexagonal Skyrmion Lattices near the Saturation into the Homogeneous State in Quasi-Two-Dimensional Chiral Magnets" Nanomaterials 14, no. 23: 1970. https://doi.org/10.3390/nano14231970
APA StyleLeonov, A. O. (2024). Reorientation Transition Between Square and Hexagonal Skyrmion Lattices near the Saturation into the Homogeneous State in Quasi-Two-Dimensional Chiral Magnets. Nanomaterials, 14(23), 1970. https://doi.org/10.3390/nano14231970
