Extended One-Way Waveguide States of Large-Area Propagation in Gyromagnetic Photonic Crystals
Abstract
1. Introduction
2. Materials and Methods
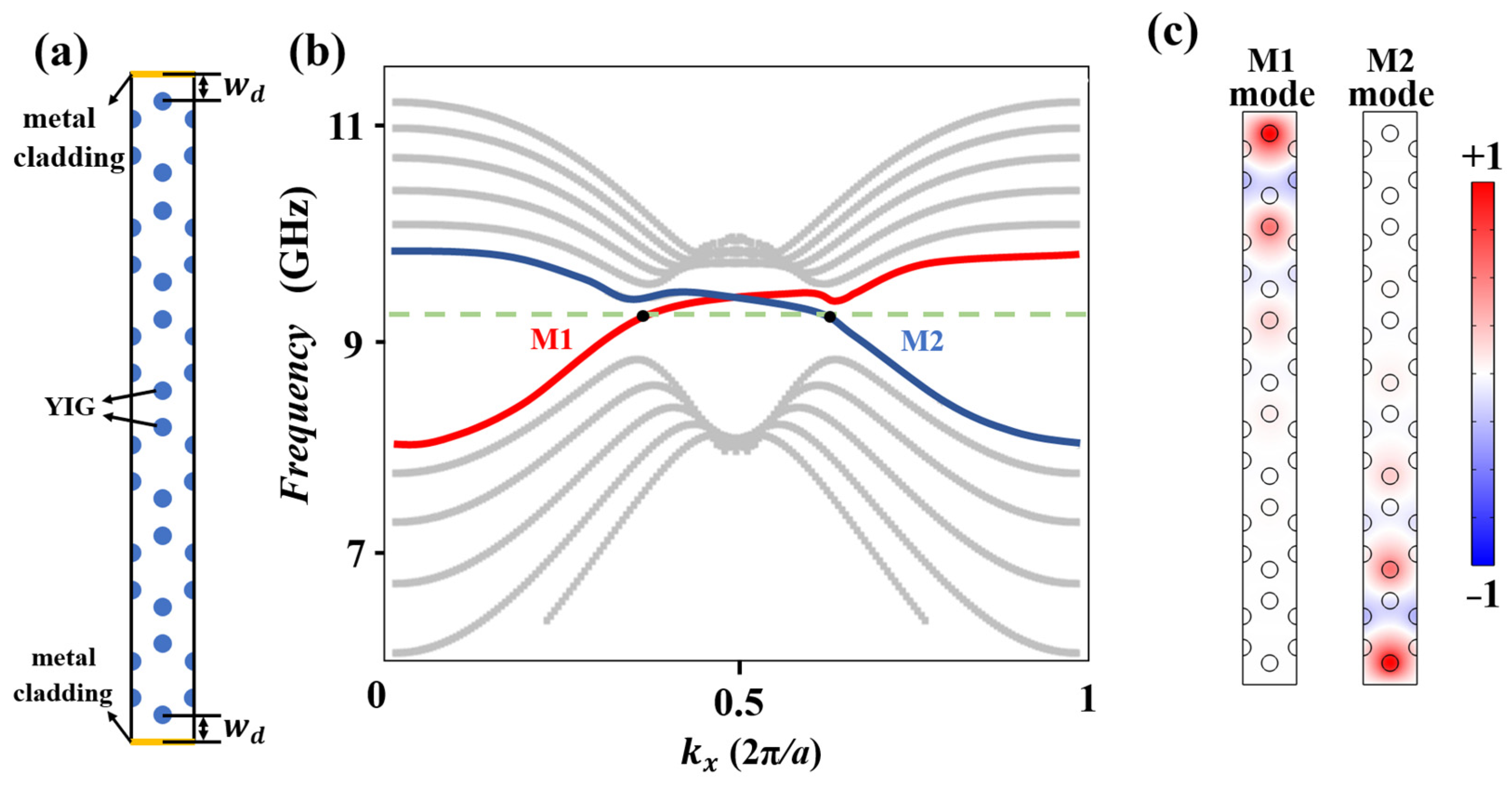
2.1. Basic GPC Structure
2.2. Projected Band Structure and Physical Mechanism Analysis
2.3. Design of Experiment Scheme
3. Results
3.1. Numerical Simulations of the One-Way Large-Area Waveguide Extended States
3.2. Experimental Results of the One-Way Large-Area Waveguide Extended States
4. Conclusions
Author Contributions
Funding
Data Availability Statement
Conflicts of Interest
References
- John, S. Strong Localization of Photons in Certain Disordered Dielectric Super Lattices. Phys. Rev. Lett. 1987, 58, 2486–2489. [Google Scholar] [CrossRef] [PubMed]
- Yablonovitch, E. Inhibited spontaneous emission in solid-state physics and electronics. Phys. Rev. Lett. 1987, 58, 2059–2062. [Google Scholar] [CrossRef] [PubMed]
- Haldane, F.D.M.; Raghu, S. Possible realization of directional optical waveguides in photonic crystals with broken time-reversal symmetry. Phys. Rev. Lett. 2008, 100, 013904. [Google Scholar] [CrossRef] [PubMed]
- Raghu, S.; Haldane, F.D.M. Analogs of quantum-Hall-effect edge states in photonic crystals. Phys. Rev. A 2008, 78, 033834. [Google Scholar] [CrossRef]
- Wu, L.-H.; Hu, X. Scheme for Achieving a Topological Photonic Crystal by Using Dielectric Material. Phys. Rev. Lett. 2015, 114, 223901. [Google Scholar] [CrossRef]
- Dong, J.W.; Chen, X.D.; Zhu, H.; Wang, Y.; Zhang, X. Valley photonic crystals for control of spin and topology. Nat. Mater. 2017, 16, 298–302. [Google Scholar] [CrossRef]
- Gao, F.; Xue, H.; Yang, Z.; Lai, K.; Yu, Y.; Lin, X.; Chong, Y.; Shvets, G.; Zhang, B. Topologically protected refraction of robust kink states in valley photonic crystals. Nat. Phys. 2017, 14, 140–144. [Google Scholar] [CrossRef]
- He, X.T.; Liang, E.T.; Yuan, J.J.; Qiu, H.Y.; Chen, X.D.; Zhao, F.L.; Dong, J.W. A silicon-on-insulator slab for topological valley transport. Nat. Commun. 2019, 10, 872. [Google Scholar] [CrossRef]
- Fukui, T.; Hatsugai, Y.; Suzuki, H. Chern Numbers in Discretized Brillouin Zone: Efficient Method of Computing (Spin) Hall Conductances. J. Phys. Soc. Jpn. 2005, 74, 1674–1677. [Google Scholar] [CrossRef]
- Bahari, B.; Ndao, A.; Vallini, F.; El Amili, A.; Fainman, Y.; Kante, B. Nonreciprocal lasing in topological cavities of arbitrary geometries. Science 2017, 358, 636–639. [Google Scholar] [CrossRef]
- Shao, Z.K.; Chen, H.Z.; Wang, S.; Mao, X.R.; Yang, Z.Q.; Wang, S.L.; Wang, X.X.; Hu, X.; Ma, R.M. A high-performance topological bulk laser based on band-inversion-induced reflection. Nat. Nanotechnol. 2020, 15, 67–72. [Google Scholar] [CrossRef] [PubMed]
- Zeng, Y.; Chattopadhyay, U.; Zhu, B.; Qiang, B.; Li, J.; Jin, Y.; Li, L.; Davies, A.G.; Linfield, E.H.; Zhang, B.; et al. Electrically pumped topological laser with valley edge modes. Nature 2020, 578, 246–250. [Google Scholar] [CrossRef] [PubMed]
- Liu, S.Y.; Lu, W.L.; Lin, Z.F.; Chui, S.T. Magnetically controllable unidirectional electromagnetic waveguiding devices designed with metamaterials. Appl. Phys. Lett. 2010, 97, 201113. [Google Scholar] [CrossRef]
- He, C.; Chen, X.L.; Lu, M.H.; Li, X.F.; Wan, W.W.; Qian, X.S.; Yin, R.C.; Chen, Y.F. Tunable one-way cross-waveguide splitter based on gyromagnetic photonic crystal. Appl. Phys. Lett. 2010, 96, 111111. [Google Scholar] [CrossRef]
- Tang, G.; Huang, Y.; Chen, J.; Li, Z.-Y.; Liang, W. A Topological Multichannel Add-Drop Filter Based on Gyromagnetic Photonic Crystals. Nanomaterials 2023, 13, 1711. [Google Scholar] [CrossRef]
- Tao, K.; Xiao, J.-J.; Yin, X. Nonreciprocal photonic crystal add-drop filter. Appl. Phys. Lett. 2014, 105, 211105. [Google Scholar] [CrossRef]
- Yan, C.; Huang, Y.; Li, Z.Y.; Liang, W. Controllable Pseudospin Topological Add-Drop Filter Based on Magnetic-Optical Photonic Crystals. Nanomaterials 2024, 14, 919. [Google Scholar] [CrossRef]
- Chen, J.F.; Liang, W.Y.; Li, Z.Y. Antichiral one-way edge states in a gyromagnetic photonic crystal. Phys. Rev. B 2020, 101, 214102. [Google Scholar] [CrossRef]
- Zhou, P.H.; Liu, G.G.; Yang, Y.H.; Hu, Y.H.; Ma, S.L.; Xue, H.R.; Wang, Q.; Deng, L.J.; Zhang, B.L. Observation of Photonic Antichiral Edge States. Phys. Rev. Lett. 2020, 125, 263603. [Google Scholar] [CrossRef]
- Yu, Z.; Veronis, G.; Wang, Z.; Fan, S. One-Way Electromagnetic Waveguide Formed at the Interface between a Plasmonic Metal under a Static Magnetic Field and a Photonic Crystal. Phys. Rev. Lett. 2008, 100, 023902. [Google Scholar] [CrossRef]
- Chen, J.; Li, Z.-Y. Configurable topological beam splitting via antichiral gyromagnetic photonic crystal. Opto-Electron. Sci. 2022, 1, 220001. [Google Scholar] [CrossRef]
- Chen, J.F.; Li, Z.Y. Prediction and Observation of Robust One-Way Bulk States in a Gyromagnetic Photonic Crystal. Phys. Rev. Lett. 2022, 128, 257401. [Google Scholar] [CrossRef] [PubMed]
- Wang, M.; Zhang, R.Y.; Zhang, L.; Wang, D.; Guo, Q.; Zhang, Z.Q.; Chan, C.T. Topological One-Way Large-Area Waveguide States in Magnetic Photonic Crystals. Phys. Rev. Lett. 2021, 126, 067401. [Google Scholar] [CrossRef]
- Qu, T.; Wang, N.; Wang, M.; Zhang, L.; Chen, J. Flexible electromagnetic manipulation by topological one-way large-area waveguide states. Phys. Rev. B 2022, 105, 195432. [Google Scholar] [CrossRef]
- Lan, Z.; Chen, M.L.N.; You, J.W.; Sha, W.E.I. Large-area quantum-spin-Hall waveguide states in a three-layer topological photonic crystal heterostructure. Phys. Rev. A 2023, 107, L041501. [Google Scholar] [CrossRef]
- Chen, Q.; Zhang, L.; Chen, F.; Yan, Q.; Xi, R.; Chen, H.; Yang, Y. Photonic Topological Valley-Locked Waveguides. ACS Photonics 2021, 8, 1400–1406. [Google Scholar] [CrossRef]
- Yu, X.; Chen, J.; Li, Z.-Y.; Liang, W. Topological large-area one-way transmission in pseudospin-field-dependent waveguides using magneto-optical photonic crystals. Photonics Res. 2023, 11, 1105–1112. [Google Scholar] [CrossRef]
- Wang, Z.; Chong, Y.D.; Joannopoulos, J.D.; Soljacic, M. Observation of unidirectional backscattering-immune topological electromagnetic states. Nature 2009, 461, 772–775. [Google Scholar] [CrossRef]
- Chen, J.F.; Liang, W.Y.; Li, Z.Y. Progress of Topological Photonic State in Magneto-Optical Photonic Crystal. Acta Opt. Sin. 2021, 41, 0823015. [Google Scholar]
- Skirlo, S.A.; Lu, L.; Igarashi, Y.C.; Yan, Q.H.; Joannopoulos, J.; Soljacic, M. Experimental Observation of Large Chern Numbers in Photonic Crystals. Phys. Rev. Lett. 2015, 115, 253901. [Google Scholar] [CrossRef]
- Zhao, R.; Xie, G.D.; Chen, M.L.N.; Lan, Z.; Huang, Z.; Sha, W.E.I. First-principle calculation of Chern number in gyrotropic photonic crystals. Opt. Express 2020, 28, 4638–4649. [Google Scholar] [CrossRef]






Disclaimer/Publisher’s Note: The statements, opinions and data contained in all publications are solely those of the individual author(s) and contributor(s) and not of MDPI and/or the editor(s). MDPI and/or the editor(s) disclaim responsibility for any injury to people or property resulting from any ideas, methods, instructions or products referred to in the content. |
© 2024 by the authors. Licensee MDPI, Basel, Switzerland. This article is an open access article distributed under the terms and conditions of the Creative Commons Attribution (CC BY) license (https://creativecommons.org/licenses/by/4.0/).
Share and Cite
Li, X.; Yan, C.; Li, Z.-Y.; Liang, W. Extended One-Way Waveguide States of Large-Area Propagation in Gyromagnetic Photonic Crystals. Nanomaterials 2024, 14, 1790. https://doi.org/10.3390/nano14221790
Li X, Yan C, Li Z-Y, Liang W. Extended One-Way Waveguide States of Large-Area Propagation in Gyromagnetic Photonic Crystals. Nanomaterials. 2024; 14(22):1790. https://doi.org/10.3390/nano14221790
Chicago/Turabian StyleLi, Xiaobin, Chao Yan, Zhi-Yuan Li, and Wenyao Liang. 2024. "Extended One-Way Waveguide States of Large-Area Propagation in Gyromagnetic Photonic Crystals" Nanomaterials 14, no. 22: 1790. https://doi.org/10.3390/nano14221790
APA StyleLi, X., Yan, C., Li, Z.-Y., & Liang, W. (2024). Extended One-Way Waveguide States of Large-Area Propagation in Gyromagnetic Photonic Crystals. Nanomaterials, 14(22), 1790. https://doi.org/10.3390/nano14221790

