Optimizing Geometry and ETL Materials for High-Performance Inverted Perovskite Solar Cells by TCAD Simulation
Abstract
1. Introduction
2. Materials and Methods
3. Results and Discussion
3.1. Optimization of ETL
3.2. Optimization of HTL
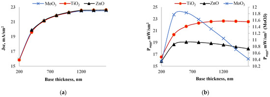
3.3. Optimization of Perovskite Layer
3.4. Comparision of Traditional and Inverted Perovskite Solar Cells
4. Conclusions
Author Contributions
Funding
Data Availability Statement
Acknowledgments
Conflicts of Interest
References
- Shen, X.; Jiang, S.; Wang, X.; Zhou, H.; Yu, Z. Suppressing Optical Losses in Solar Cells via Multifunctional and Large-Scale Geometric Arrays. Nanomaterials 2023, 13, 2766. [Google Scholar] [CrossRef]
- Saeed, F.; Haseeb Khan, M.; Tauqeer, H.A.; Haroon, A.; Idrees, A.; Shehrazi, S.M.; Prokop, L.; Blazek, V.; Misak, S.; Ullah, N. Numerical Investigation of Photo-Generated Carrier Recombination Dynamics on the Device Characteristics for the Perovskite/Carbon Nitride Absorber-Layer Solar Cell. Nanomaterials 2022, 12, 4012. [Google Scholar] [CrossRef]
- Vaillon, R.; Dupré, O.; Cal, R.B.; Calaf, M. Pathways for Mitigating Thermal Losses in Solar Photovoltaics. Sci. Rep. 2018, 8, 13163. [Google Scholar] [CrossRef]
- Gulomov, J.; Accouche, O.; Al Barakeh, Z.; Aliev, R.; Gulomova, I.; Neji, B. Atom-to-Device Simulation of MoO3/Si Heterojunction Solar Cell. Nanomaterials 2022, 12, 4240. [Google Scholar] [CrossRef]
- Fell, A.; Greulich, J.; Feldmann, F.; Messmer, C.; Schön, J.; Bivour, M.; Schubert, M.C.; Glunz, S.W. Modeling Parasitic Absorption in Silicon Solar Cells with a Near-Surface Absorption Parameter. Sol. Energy Mater. Sol. Cells 2022, 236, 111534. [Google Scholar] [CrossRef]
- Gulomov, J.; Aliev, R. Analyzing Periodical Textured Silicon Solar Cells by the TCAD Modeling. Sci. Tech. J. Inf. Technol. Mech. Opt. 2021, 21, 626–632. [Google Scholar] [CrossRef]
- Zhao, J.; Green, M.A. Optimized Antireflection Coatings for High-Efficiency Silicon Solar Cells. IEEE Trans. Electron. Devices 1991, 38, 1925–1934. [Google Scholar] [CrossRef]
- Ehrler, B.; Alarcón-Lladó, E.; Tabernig, S.W.; Veeken, T.; Garnett, E.C.; Polman, A. Photovoltaics Reaching for the Shockley-Queisser Limit. ACS Energy Lett. 2020, 5, 3029–3033. [Google Scholar] [CrossRef]
- Lal, N.N.; Dkhissi, Y.; Li, W.; Hou, Q.; Cheng, Y.B.; Bach, U. Perovskite Tandem Solar Cells. Adv. Energy Mater. 2017, 7, 1602761. [Google Scholar] [CrossRef]
- Gulomov, J.; Accouche, O.; Aliev, R.; Azab, M.; Gulomova, I. Analyzing the ZnO and CH3NH3PbI3 as Emitter Layer for Silicon Based Heterojunction Solar Cells. Comput. Mater. Contin. 2022, 74, 575–590. [Google Scholar] [CrossRef]
- Iftiquar, S.M.; Jung, J.; Yi, J.; De Vos, A. Detailed Balance Limit of the Efficiency of Tandem Solar Cells. J. Phys. D Appl. Phys. 1980, 13, 839. [Google Scholar] [CrossRef]
- Gulomov, J.; Accouche, O. Gold Nanoparticles Introduced ZnO/Perovskite/Silicon Heterojunction Solar Cell. IEEE Access 2022, 10, 119558–119565. [Google Scholar] [CrossRef]
- Liu, Y.; Li, B.; Xu, J.; Yao, J. Improvement of Thermal Stability and Photoelectric Performance of Cs2PbI2Cl2/CsPbI2.5Br0.5 Perovskite Solar Cells by Triple-Layer Inorganic Hole Transport Materials. Nanomaterials 2024, 14, 742. [Google Scholar] [CrossRef] [PubMed]
- Baumann, A.; Väth, S.; Rieder, P.; Heiber, M.C.; Tvingstedt, K.; Dyakonov, V. Identification of Trap States in Perovskite Solar Cells. J. Phys. Chem. Lett. 2015, 6, 2350–2354. [Google Scholar] [CrossRef] [PubMed]
- Stranks, S.D.; Eperon, G.E.; Grancini, G.; Menelaou, C.; Alcocer, M.J.P.; Leijtens, T.; Herz, L.M.; Petrozza, A.; Snaith, H.J. Electron-Hole Diffusion Lengths Exceeding 1 Micrometer in an Organometal Trihalide Perovskite Absorber. Science 2013, 342, 341–344. [Google Scholar] [CrossRef] [PubMed]
- Tao, H.; Zhang, W.; Zhang, C.; Han, L.; Wang, J.; Tan, B.; Li, Y.; Kan, C. High Absorption Perovskite Solar Cell with Optical Coupling Structure. Opt. Commun. 2019, 443, 262–267. [Google Scholar] [CrossRef]
- Singh, A.N.; Jana, A.; Selvaraj, M.; Assiri, M.A.; Yun, S.; Nam, K.W. Achieving Order in Disorder: Stabilizing Red Light-Emitting α-Phase Formamidinium Lead Iodide. Nanomaterials 2023, 13, 3049. [Google Scholar] [CrossRef] [PubMed]
- Zhang, Y.; Zhao, Z.; Liu, Z.; Tang, A. The Scale Effects of Organometal Halide Perovskites. Nanomaterials 2023, 13, 2935. [Google Scholar] [CrossRef]
- Straus, D.B.; Guo, S.; Abeykoon, A.M.; Cava, R.J. Understanding the Instability of the Halide Perovskite CsPbI3 through Temperature-Dependent Structural Analysis. Adv. Mater. 2020, 32, 2001069. [Google Scholar] [CrossRef]
- Yuan, Y.; Huang, J. Ion Migration in Organometal Trihalide Perovskite and Its Impact on Photovoltaic Efficiency and Stability. Acc. Chem. Res. 2016, 49, 286–293. [Google Scholar] [CrossRef]
- Gulomov, J.; Accouche, O.; Aliev, R.; Neji, B.; Ghandour, R.; Gulomova, I.; Azab, M. Geometric Optimization of Perovskite Solar Cells with Metal Oxide Charge Transport Layers. Nanomaterials 2022, 12, 2692. [Google Scholar] [CrossRef] [PubMed]
- Lee, D.; Kim, K.H.; Kim, H.D. Thickness Optimization of Charge Transport Layers on Perovskite Solar Cells for Aerospace Applications. Nanomaterials 2023, 13, 1848. [Google Scholar] [CrossRef] [PubMed]
- Ghione, G. Looking for Quality in TCAD-Based Papers. IEEE Trans. Electron. Devices 2019, 66, 3252–3253. [Google Scholar] [CrossRef]
- Katsidis, C.C.; Siapkas, D.I. General Transfer-Matrix Method for Optical Multilayer Systems with Coherent, Partially Coherent, and Incoherent Interference. Appl. Opt. 2002, 41, 3978–3987. [Google Scholar] [CrossRef] [PubMed]
- Cotter, J.E. Raysim 6.0—A Free Geometrical Ray Tracing Program for Silicon Solar Cells. In Proceedings of the Conference Record of the IEEE Photovoltaic Specialists Conference, Lake Buena Vista, FL, USA, 3–7 January 2005; pp. 1165–1168. [Google Scholar] [CrossRef]
- Lin, A.S.; Phillips, J.D. Drift-Diffusion Modeling for Impurity Photovoltaic Devices. IEEE Trans. Electron. Devices 2009, 56, 3168–3174. [Google Scholar] [CrossRef]
- Miller, W.A.; Olsen, L.C. Model Calculations for Silicon Inversion Layer Solar Cells. Sol. Cells 1983, 8, 371–395. [Google Scholar] [CrossRef]
- Baltakesmez, A.; Biber, M.; Tüzemen, S. Inverted Planar Perovskite Solar Cells Based on Al Doped ZnO Substrate. J. Radiat. Res. Appl. Sci. 2018, 11, 124–129. [Google Scholar] [CrossRef]
- Wang, Y.; Wan, J.; Ding, J.; Hu, J.S.; Wang, D. A Rutile TiO2 Electron Transport Layer for the Enhancement of Charge Collection for Efficient Perovskite Solar Cells. Angew. Chem. Int. Ed. 2019, 58, 9414–9418. [Google Scholar] [CrossRef]
- Wang, T.; Ding, D.; Zheng, H.; Wang, X.; Wang, J.; Liu, H.; Shen, W. Efficient Inverted Planar Perovskite Solar Cells Using Ultraviolet/Ozone-Treated NiOx as the Hole Transport Layer. Sol. RRL 2019, 3, 1900045. [Google Scholar] [CrossRef]
- Saini, K.K.; Sharma, S.D.; Chanderkant; Kar, M.; Singh, D.; Sharma, C.P. Structural and Optical Properties of TiO2 Thin Films Derived by Sol–Gel Dip Coating Process. J. Non-Cryst. Solids 2007, 353, 2469–2473. [Google Scholar] [CrossRef]
- Meng, L.; Yamada, A. Low-Resistance Orthorhombic MoO3-x Thin Film Derived by Two-Step Annealing. Thin Solid Film. 2018, 665, 179–183. [Google Scholar] [CrossRef]
- Raimondi, D.L.; Kay, E. High Resistivity Transparent ZnO Thin Films. J. Vac. Sci. Technol. 1970, 7, 96–99. [Google Scholar] [CrossRef]
- Azri, F.; Meftah, A.; Sengouga, N.; Meftah, A. Electron and Hole Transport Layers Optimization by Numerical Simulation of a Perovskite Solar Cell. Sol. Energy 2019, 181, 372–378. [Google Scholar] [CrossRef]
- Wu, Y.W.; Wang, C.Y.; Yang, S.H. Exploration and Optimization of the Polymer-Modified NiOx Hole Transport Layer for Fabricating Inverted Perovskite Solar Cells. Nanomaterials 2024, 14, 1054. [Google Scholar] [CrossRef]










| Materials | dETL, nm | Jsc, mA/cm2 | Uoc, V | Pmpp, mW/cm2 | FF, % | η, % |
|---|---|---|---|---|---|---|
| MoO3 | 80 | 15.62 | 1.200 | 10.15 | 54.18 | 16.04 |
| TiO2 | 60 | 15.52 | 1.194 | 16.21 | 87.47 | 25.61 |
| ZnO | 100 | 15.79 | 1.200 | 15.57 | 82.15 | 24.60 |
| Materials | dETL, nm | dHTL, nm | JSC, mA/sm2 | UOC, V | Pmpp, mW/sm2 | FF, % | η, % |
|---|---|---|---|---|---|---|---|
| MoO3 | 80 | 80 | 15.92 | 1.200 | 10.35 | 54.17 | 16.35 |
| TiO2 | 60 | 80 | 15.84 | 1.194 | 16.55 | 87.50 | 26.15 |
| ZnO | 100 | 80 | 16.06 | 1.200 | 15.84 | 82.21 | 25.03 |
| Materials | dBASE, nm | dETL, nm | dHTL, nm | JSC, mA/sm2 | UOC, V | Pmpp, mW/sm2 | FF, % | η, % |
|---|---|---|---|---|---|---|---|---|
| MoO3 | 600 | 80 | 80 | 21.12 | 1.188 | 11.83 | 47.14 | 18.69 |
| TiO2 | 800 | 60 | 80 | 21.83 | 1.176 | 22.29 | 86.83 | 35.21 |
| ZnO | 600 | 100 | 80 | 21.20 | 1.188 | 19.09 | 75.78 | 30.16 |
| Materials | dBASE, nm | dETL, nm | dHTL, nm | JSC, mA/sm2 | UOC, V | Pmpp, mW/sm2 | FF, % | η, % |
|---|---|---|---|---|---|---|---|---|
| MoO3 | 600 | 80 | 80 | 19.20 | 1.182 | 10.86 | 47.85 | 17.15 |
| TiO2 | 800 | 60 | 80 | 18.30 | 1.171 | 18.68 | 87.14 | 29.51 |
| ZnO | 600 | 100 | 80 | 20.01 | 1.182 | 18.16 | 76.81 | 28.69 |
Disclaimer/Publisher’s Note: The statements, opinions and data contained in all publications are solely those of the individual author(s) and contributor(s) and not of MDPI and/or the editor(s). MDPI and/or the editor(s) disclaim responsibility for any injury to people or property resulting from any ideas, methods, instructions or products referred to in the content. |
© 2024 by the authors. Licensee MDPI, Basel, Switzerland. This article is an open access article distributed under the terms and conditions of the Creative Commons Attribution (CC BY) license (https://creativecommons.org/licenses/by/4.0/).
Share and Cite
Gulomova, I.; Accouche, O.; Aliev, R.; Al Barakeh, Z.; Abduazimov, V. Optimizing Geometry and ETL Materials for High-Performance Inverted Perovskite Solar Cells by TCAD Simulation. Nanomaterials 2024, 14, 1301. https://doi.org/10.3390/nano14151301
Gulomova I, Accouche O, Aliev R, Al Barakeh Z, Abduazimov V. Optimizing Geometry and ETL Materials for High-Performance Inverted Perovskite Solar Cells by TCAD Simulation. Nanomaterials. 2024; 14(15):1301. https://doi.org/10.3390/nano14151301
Chicago/Turabian StyleGulomova, Irodakhon, Oussama Accouche, Rayimjon Aliev, Zaher Al Barakeh, and Valikhon Abduazimov. 2024. "Optimizing Geometry and ETL Materials for High-Performance Inverted Perovskite Solar Cells by TCAD Simulation" Nanomaterials 14, no. 15: 1301. https://doi.org/10.3390/nano14151301
APA StyleGulomova, I., Accouche, O., Aliev, R., Al Barakeh, Z., & Abduazimov, V. (2024). Optimizing Geometry and ETL Materials for High-Performance Inverted Perovskite Solar Cells by TCAD Simulation. Nanomaterials, 14(15), 1301. https://doi.org/10.3390/nano14151301

