Carrier Recombination in Nitride-Based Light-Emitting Devices: Multiphonon Processes, Excited Defects, and Disordered Heterointerfaces
Abstract
1. Introduction
2. Materials and Methods
2.1. Experimental
2.2. Employed Approaches
3. Results
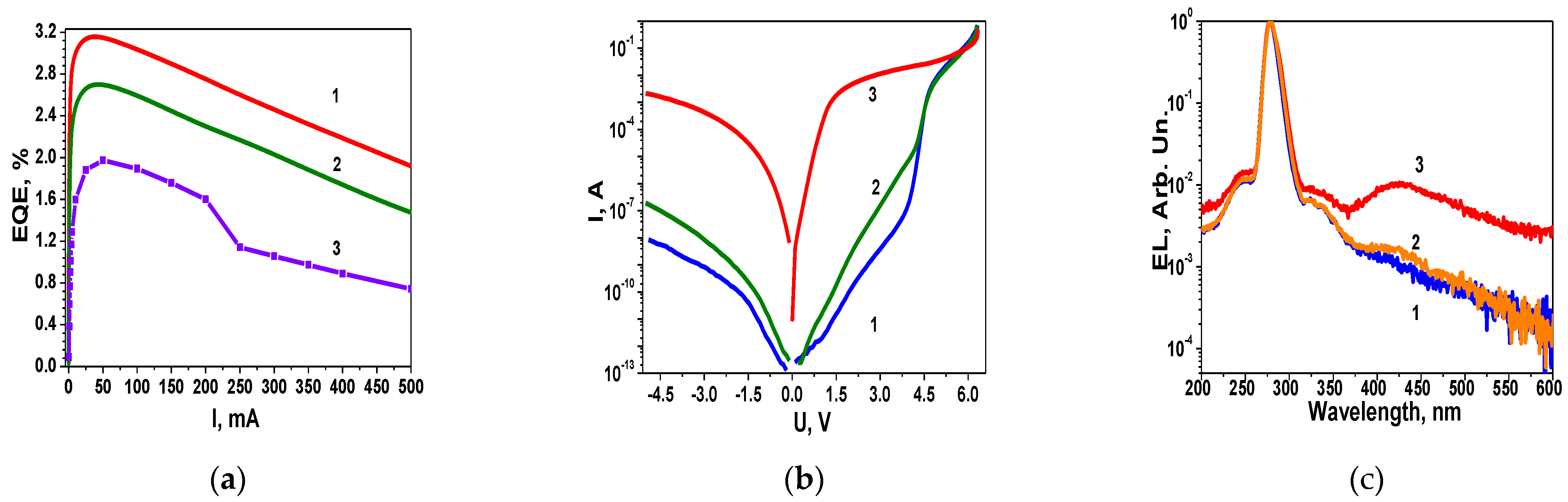
3.1. I-U Characteristics; Deviation from Standard Shockley–Read–Hall Model—Correlation between Efficiency and Heterointerface Disorder
3.2. Multiphonon Processes—Manifestation in Electroluminescence Spectra; Excited Defects
3.3. Analysis of LED Efficiency—Distribution of EQE over Wavelengths; Band Fluctuation Potential
3.4. Manifestation of Excited Defects in Aging and Degradation Experiments of UV LEDs
4. Discussion
- For some time after capture, an excited defect possesses excess energy concentrated in the form of local vibration energy.
- After this period, energy relaxation occurs, causing the deep centre to transition to a quasi-equilibrium state, with its position in the lattice potentially differing from the initial position. In other words, such defects have the ability to change their coordination position in the lattice.
- With sufficient excitation of the crystal (optical or injection), the activation energy responsible for defect diffusion can be significantly reduced, leading to the ability of EDs to migrate over significant distances in the crystal.
5. Conclusions
Author Contributions
Funding
Data Availability Statement
Conflicts of Interest
References
- Weisbuch, C.; Nakamura, S.; Wu, Y.-R.; Speck, J.S. Disorder Effects in Nitride Semiconductors: Impact on Fundamental and Device Properties. Nanophotonics 2020, 10, 3–21. [Google Scholar] [CrossRef]
- Nikishin, S.; Bernussi, A.; Karpov, S. Towards Efficient Electrically-Driven Deep UVC Lasing: Challenges and Opportunities. Nanomaterials 2023, 13, 185. [Google Scholar] [CrossRef] [PubMed]
- Ryu, H.-Y.; Ryu, G.-H.; Onwukaeme, C. Efficiency Droop and Effective Active Volume in GaN-Based Light-Emitting Diodes Grown on Sapphire and Silicon Substrates. Appl. Sci. 2019, 9, 4160. [Google Scholar] [CrossRef]
- Renso, N.; De Santi, C.; Caria, A.; Dalla Torre, F.; Zecchin, L.; Meneghesso, G.; Zanoni, E.; Meneghini, M. Degradation of InGaN-Based LEDs: Demonstration of a Recombination-Dependent Defect-Generation Process. J. Appl. Phys. 2020, 127, 185701. [Google Scholar] [CrossRef]
- Olivier, F.; Daami, A.; Licitra, C.; Templier, F. Shockley-Read-Hall and Auger Non-Radiative Recombination in GaN Based LEDs: A Size Effect Study. Appl. Phys. Lett. 2017, 111, 022104. [Google Scholar] [CrossRef]
- Hopkins, M.A.; Allsopp, D.W.E.; Kappers, M.J.; Oliver, R.A.; Humphreys, C.J. The ABC Model of Recombination Reinterpreted: Impact on Understanding Carrier Transport and Efficiency Droop in InGaN/GaN Light Emitting Diodes. J. Appl. Phys. 2017, 122, 234505. [Google Scholar] [CrossRef]
- Titkov, I.; Karpov, S.; Yadav, A.; Mamedov, D.; Zerova, V.; Rafailov, E. Efficiency of True-Green Light Emitting Diodes: Non-Uniformity and Temperature Effects. Materials 2017, 10, 1323. [Google Scholar] [CrossRef] [PubMed]
- Schulz, S.; Caro, M.A.; Coughlan, C.; O’Reilly, E.P. Atomistic Analysis of the Impact of Alloy and Well-Width Fluctuations on the Electronic and Optical Properties of InGaN/GaN Quantum Wells. Phys. Rev. B 2015, 91, 035439. [Google Scholar] [CrossRef]
- Li, C.-K.; Piccardo, M.; Lu, L.-S.; Mayboroda, S.; Martinelli, L.; Peretti, J.; Speck, J.S.; Weisbuch, C.; Filoche, M.; Wu, Y.-R. Localization Landscape Theory of Disorder in Semiconductors. III. Application to Carrier Transport and Recombination in Light Emitting Diodes. Phys. Rev. B 2017, 95, 144206. [Google Scholar] [CrossRef]
- David, A.; Young, N.G.; Hurni, C.A.; Craven, M.D. Quantum Efficiency of III-Nitride Emitters: Evidence for Defect-Assisted Nonradiative Recombination and Its Effect on the Green Gap. Phys. Rev. Appl. 2019, 11, 031001. [Google Scholar] [CrossRef]
- David, A.; Young, N.G.; Lund, C.; Craven, M.D. Review—The Physics of Recombinations in III-Nitride Emitters. ECS J. Solid State Sci. Technol. 2020, 9, 016021. [Google Scholar] [CrossRef]
- Wang, T.; Shirahama, T.; Sun, H.B.; Wang, H.X.; Bai, J.; Sakai, S.; Misawa, H. Influence of Buffer Layer and Growth Temperature on the Properties of an Undoped GaN Layer Grown on Sapphire Substrate by Metalorganic Chemical Vapor Deposition. Appl. Phys. Lett. 2000, 76, 2220–2222. [Google Scholar] [CrossRef]
- Shmidt, N.M.; Emtsev, V.V.; Kolmakov, A.G.; Kryzhanovsky, A.D.; Lundin, W.V.; Poloskin, D.S.; Ratnikov, V.V.; Titkov, A.N.; Usikov, A.S.; Zavarin, E.E. Correlation of Mosaic-Structure Peculiarities with Electric Characteristics and Surface Multifractal Parameters for GaN Epitaxial Layers. Nanotechnology 2001, 12, 471–474. [Google Scholar] [CrossRef]
- Frankerl, C.; Hoffmann, M.P.; Nippert, F.; Wang, H.; Brandl, C.; Tillner, N.; Lugauer, H.-J.; Zeisel, R.; Hoffmann, A.; Davies, M.J. Challenges for Reliable Internal Quantum Efficiency Determination in AlGaN-Based Multi-Quantum-Well Structures Posed by Carrier Transport Effects and Morphology Issues. J. Appl. Phys. 2019, 126, 075703. [Google Scholar] [CrossRef]
- Butté, R.; Lahourcade, L.; Uždavinys, T.K.; Callsen, G.; Mensi, M.; Glauser, M.; Rossbach, G.; Martin, D.; Carlin, J.-F.; Marcinkevičius, S.; et al. Optical Absorption Edge Broadening in Thick InGaN Layers: Random Alloy Atomic Disorder and Growth Mode Induced Fluctuations. Appl. Phys. Lett. 2018, 112, 032106. [Google Scholar] [CrossRef]
- Tian, A.; Liu, J.; Zhang, L.; Jiang, L.; Ikeda, M.; Zhang, S.; Li, D.; Wen, P.; Cheng, Y.; Fan, X.; et al. Significant Increase of Quantum Efficiency of Green InGaN Quantum Well by Realizing Step-Flow Growth. Appl. Phys. Lett. 2017, 111, 112102. [Google Scholar] [CrossRef]
- Petrov, V.N.; Sidorov, V.G.; Talnishnikh, N.A.; Chernyakov, A.E.; Shabunina, E.I.; Shmidt, N.M.; Usikov, A.S.; Helava, H.; Makarov, Y.N. On the Fractal Nature of Light-Emitting Structures Based on III–N Nanomaterials and Related Phenomena. Semiconductors 2016, 50, 1173–1179. [Google Scholar] [CrossRef]
- Davydov, V.; Roginskii, E.M.; Kitaev, Y.; Smirnov, A.; Eliseyev, I.; Zavarin, E.; Lundin, W.; Nechaev, D.; Jmerik, V.; Smirnov, M.; et al. The Effect of Interface Diffusion on Raman Spectra of Wurtzite Short-Period GaN/AlN Superlattices. Nanomaterials 2021, 11, 2396. [Google Scholar] [CrossRef] [PubMed]
- Tronc, P.; Kitaev, Y.E.; Wang, G.; Limonov, M.F.; Neu, G. Phonon-Assisted Optical Transitions in GaN with Impurities and Defects. Phys. B Condens. Matter 2001, 302–303, 291–298. [Google Scholar] [CrossRef]
- Yassievich, I.N. Recombination-Induced Defect Heating and Related Phenomena. Semicond. Sci. Technol. 1994, 9, 1433–1453. [Google Scholar] [CrossRef]
- Abakumov, V.N.; Perel, V.I.; Yassievich, I.N.; Gordeeva, G.V. Nonradiative Recombination in Semiconductors; Modern Problems in Condensed Matter Sciences; North-Holland: Amsterdam, The Netherlands; Oxford, UK; New York, NY, USA, 1991; ISBN 978-0-444-88854-9. [Google Scholar]
- Mandurrino, M.; Goano, M.; Vallone, M.; Bertazzi, F.; Ghione, G.; Verzellesi, G.; Meneghini, M.; Meneghesso, G.; Zanoni, E. Semiclassical Simulation of Trap-Assisted Tunneling in GaN-Based Light-Emitting Diodes. J. Comput. Electron. 2015, 14, 444–455. [Google Scholar] [CrossRef]
- Huang, K.; Rhys, A. Theory of Light Absorption and Non-Radiative Transitions in F -Centres. Proc. R. Soc. Lond. Ser. Math. Phys. Sci. 1950, 204, 406–423. [Google Scholar] [CrossRef]
- Bourgoin, J.C.; Zazoui, M. Carrier Capture on Defects in Multiband Semiconductors. Phys. Rev. B 1992, 45, 11324–11327. [Google Scholar] [CrossRef] [PubMed]
- Lochner, Z.; Kao, T.-T.; Liu, Y.-S.; Li, X.-H.; Satter, M.M.; Shen, S.-C.; Douglas Yoder, P.; Ryou, J.-H.; Dupuis, R.D.; Wei, Y.; et al. Deep-Ultraviolet Lasing at 243 Nm from Photo-Pumped AlGaN/AlN Heterostructure on AlN Substrate. Appl. Phys. Lett. 2013, 102, 101110. [Google Scholar] [CrossRef]
- Optrinics Labs. Available online: https://Optroniclabs.Com/Products/Spectroradiometers/Ol-770-Led-Test-and-Measurement-System/ (accessed on 22 June 2022).
- Approved Method: Optical and Electrical Measurements of Solid-State Lighting Products: An American National Standard; Illuminating Engineering Society: New York, NY, USA, 2019; ISBN 978-0-87995-226-6.
- IES Approved Method for Measuring Lumen Maintenance of LED Light Sources; Illuminating Engineering Society of North America, Ed.; IES LM/Illuminating Engineering Society of North America; IESNA: New York, NY, USA, 2008; ISBN 978-0-87995-227-3. [Google Scholar]
- Giona, M.; Piccirilli, P.; Cimagalli, V. Multifractal Analysis of Chaotic Power Spectra. J. Phys. Math. Gen. 1991, 24, 367–373. [Google Scholar] [CrossRef]
- Vstovsky, G.V.; Kolmakov, A.G.; Bunin, I.Z. Introduction in Multi-Fractal Parametrization of Material Structures; Regular and Chaotic Dynamics: Izhevsk, Russia, 2001; ISBN 5-93972-085-4. [Google Scholar]
- Kolmakov, A.G.; Vstovsky, G.V. Multifractal Analysis of Metallic Surface Structure Changes during Mechanical Treatment. Mater. Sci. Technol. 1999, 15, 705–710. [Google Scholar] [CrossRef]
- Zhou, S.; Lv, J.; Wu, Y.; Zhang, Y.; Zheng, C.; Liu, S. Reverse Leakage Current Characteristics of InGaN/GaN Multiple Quantum Well Ultraviolet/Blue/Green Light-Emitting Diodes. Jpn. J. Appl. Phys. 2018, 57, 051003. [Google Scholar] [CrossRef]
- Wu, Y.-R.; Shivaraman, R.; Wang, K.-C.; Speck, J.S. Analyzing the Physical Properties of InGaN Multiple Quantum Well Light Emitting Diodes from Nano Scale Structure. Appl. Phys. Lett. 2012, 101, 083505. [Google Scholar] [CrossRef]
- Mandurrino, M.; Goano, M.; Dominici, S.; Vallone, M.; Bertazzi, F.; Ghione, G.; Bernabei, M.; Rovati, L.; Verzellesi, G.; Meneghini, M.; et al. Trap-Assisted Tunneling Contributions to Subthreshold Forward Current in InGaN/GaN Light-Emitting Diodes. In Proceedings of the Fourteenth International Conference on Solid State Lighting and LED-Based Illumination Systems, San Diego, CA, USA, 12–13 August 2015. [Google Scholar]
- Shabunina, E.I.; Chernyakov, A.E.; Ivanov, A.E.; Kartashova, A.P.; Kuchinsky, V.I.; Poloskin, D.S.; Talnishnikh, N.A.; Shmidt, N.M.; Zakgeim, A.L. Contribution of Zone Fluctuation Potential and Disordering of Heteroboundaries to the Decreased Efficiency of Nitride-Based Leds. J. Appl. Spectrosc. 2023, 90, 24–28. [Google Scholar] [CrossRef]
- Steingrube, S.; Breitenstein, O.; Ramspeck, K.; Glunz, S.; Schenk, A.; Altermatt, P.P. Explanation of Commonly Observed Shunt Currents in C-Si Solar Cells by Means of Recombination Statistics beyond the Shockley-Read-Hall Approximation. J. Appl. Phys. 2011, 110, 014515. [Google Scholar] [CrossRef]
- Schubert, F.E. Light-Emitting Diodes, 2nd ed.; Cambridge University Press: Cambridge, UK, 2006; ISBN 978-0-521-86538-8. [Google Scholar]
- Jeong, H.; Jeong, H.J.; Oh, H.M.; Hong, C.-H.; Suh, E.-K.; Lerondel, G.; Jeong, M.S. Carrier Localization in In-Rich InGaN/GaN Multiple Quantum Wells for Green Light-Emitting Diodes. Sci. Rep. 2015, 5, 9373. [Google Scholar] [CrossRef] [PubMed]
- David, A.; Hurni, C.A.; Young, N.G.; Craven, M.D. Field-Assisted Shockley-Read-Hall Recombinations in III-Nitride Quantum Wells. Appl. Phys. Lett. 2017, 111, 233501. [Google Scholar] [CrossRef]
- Polyakov, A.Y.; Shmidt, N.M.; Smirnov, N.B.; Shchemerov, I.V.; Shabunina, E.I.; Tal’nishnih, N.A.; Lee, I.-H.; Alexanyan, L.A.; Tarelkin, S.A.; Pearton, S.J. Deep Trap Analysis in Green Light Emitting Diodes: Problems and Solutions. J. Appl. Phys. 2019, 125, 215701. [Google Scholar] [CrossRef]
- Bochkareva, N.I.; Zhirnov, E.A.; Efremov, A.A.; Rebane, Y.T.; Gorbunov, R.I.; Shreter, Y.G. Tunnel-Recombination Currents and Electroluminescence Efficiency in InGaN/GaN LEDs. Semiconductors 2005, 39, 594–599. [Google Scholar] [CrossRef]
- Kivisaari, P.; Kim, I.; Suihkonen, S.; Oksanen, J. Elimination of Lateral Resistance and Current Crowding in Large-Area LEDs by Composition Grading and Diffusion-Driven Charge Transport. Adv. Electron. Mater. 2017, 3, 1700103. [Google Scholar] [CrossRef]
- Shmidt, N.M.; Chernyakov, A.E.; Tal’nishnih, N.A.; Nikolaev, A.E.; Sakharov, A.V.; Petrov, V.N.; Gushchina, E.V.; Shabunina, E.I. The Impact of the Surface Morphology on Optical Features of the Green Emitting InGaN/GaN Multiple Quantum Wells. J. Cryst. Growth 2019, 520, 82–84. [Google Scholar] [CrossRef]
- Talnishnikh, N.; Ivanov, A.; Shabunina, E.; Shmidt, N. Peculiarities of Low Frequency Noise and Non-Radiative Recombination in AlGaN QWs Emitting at 280 Nm. St. Petersburg State Polytech. Univ. J. Phys. Math. 2023, 16, 85–89. [Google Scholar] [CrossRef]
- Alkauskas, A.; Yan, Q.; Van De Walle, C.G. First-Principles Theory of Nonradiative Carrier Capture via Multiphonon Emission. Phys. Rev. B 2014, 90, 075202. [Google Scholar] [CrossRef]
- Pozina, G.; Ciechonski, R.; Bi, Z.; Samuelson, L.; Monemar, B. Dislocation Related Droop in InGaN/GaN Light Emitting Diodes Investigated via Cathodoluminescence. Appl. Phys. Lett. 2015, 107, 251106. [Google Scholar] [CrossRef]
- Talnishnih, N.A.; Ivanov, A.E.; Shabunina, E.I.; Shmidt, N.M. Participation of Defects Localized at Heterointerfaces and Extended Defects in the Degradation of Nitride-Based Light-Emitting Devices. Opt. Spectrosc. 2023, 131, 1499–1501, (In Russian, English version to be published). [Google Scholar]







| Title 1 | Blue | Green 1 | Green 2 | Green 3 | Green 4 |
|---|---|---|---|---|---|
| Maximum EQE value (Figure 6a), % | 73 | 38 | 30 | 16 | 12 |
| uth-u0, (Figure 3b,c), V | 0 | 0.13 | 0.46 | 0.67 | 1 |
| FHWM at 0.3 mA (Figure 6a), nm | 15 | 29.1 | 31.6 | 37.5 | 42 |
| BFP within the SCR (Figure 7b), meV | 4 | 8 | 12 | 15 | 50 |
| BFP outside the SCR (Figure 7b), meV | 24 | 38 | 50 | 36 | 20 |
Disclaimer/Publisher’s Note: The statements, opinions and data contained in all publications are solely those of the individual author(s) and contributor(s) and not of MDPI and/or the editor(s). MDPI and/or the editor(s) disclaim responsibility for any injury to people or property resulting from any ideas, methods, instructions or products referred to in the content. |
© 2024 by the authors. Licensee MDPI, Basel, Switzerland. This article is an open access article distributed under the terms and conditions of the Creative Commons Attribution (CC BY) license (https://creativecommons.org/licenses/by/4.0/).
Share and Cite
Savchenko, G.; Shabunina, E.; Chernyakov, A.; Talnishnikh, N.; Ivanov, A.; Abramov, A.; Zakgeim, A.; Kuchinskii, V.; Sokolovskii, G.; Averkiev, N.; et al. Carrier Recombination in Nitride-Based Light-Emitting Devices: Multiphonon Processes, Excited Defects, and Disordered Heterointerfaces. Nanomaterials 2024, 14, 1072. https://doi.org/10.3390/nano14131072
Savchenko G, Shabunina E, Chernyakov A, Talnishnikh N, Ivanov A, Abramov A, Zakgeim A, Kuchinskii V, Sokolovskii G, Averkiev N, et al. Carrier Recombination in Nitride-Based Light-Emitting Devices: Multiphonon Processes, Excited Defects, and Disordered Heterointerfaces. Nanomaterials. 2024; 14(13):1072. https://doi.org/10.3390/nano14131072
Chicago/Turabian StyleSavchenko, Grigorii, Evgeniia Shabunina, Anton Chernyakov, Nadezhda Talnishnikh, Anton Ivanov, Alexandr Abramov, Alexander Zakgeim, Vladimir Kuchinskii, Grigorii Sokolovskii, Nikita Averkiev, and et al. 2024. "Carrier Recombination in Nitride-Based Light-Emitting Devices: Multiphonon Processes, Excited Defects, and Disordered Heterointerfaces" Nanomaterials 14, no. 13: 1072. https://doi.org/10.3390/nano14131072
APA StyleSavchenko, G., Shabunina, E., Chernyakov, A., Talnishnikh, N., Ivanov, A., Abramov, A., Zakgeim, A., Kuchinskii, V., Sokolovskii, G., Averkiev, N., & Shmidt, N. (2024). Carrier Recombination in Nitride-Based Light-Emitting Devices: Multiphonon Processes, Excited Defects, and Disordered Heterointerfaces. Nanomaterials, 14(13), 1072. https://doi.org/10.3390/nano14131072

