Optimisation Challenge for a Superconducting Adiabatic Neural Network That Implements XOR and OR Boolean Functions
Abstract
1. Introduction
2. The Model for Two Coupled Adiabatic Neurons
3. Formulation and Solution of the Optimisation Problem
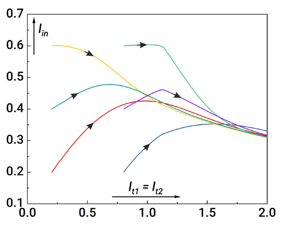
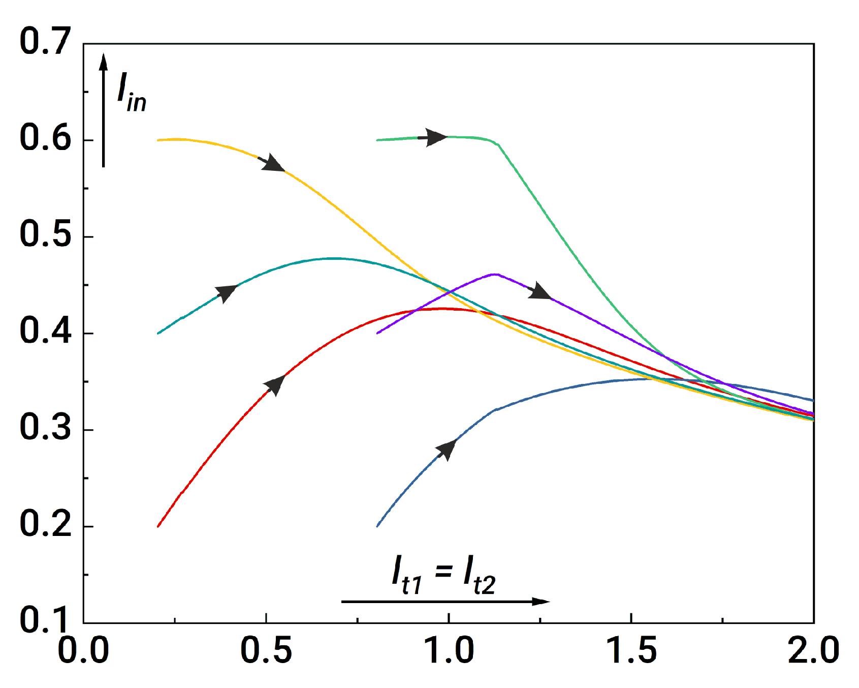
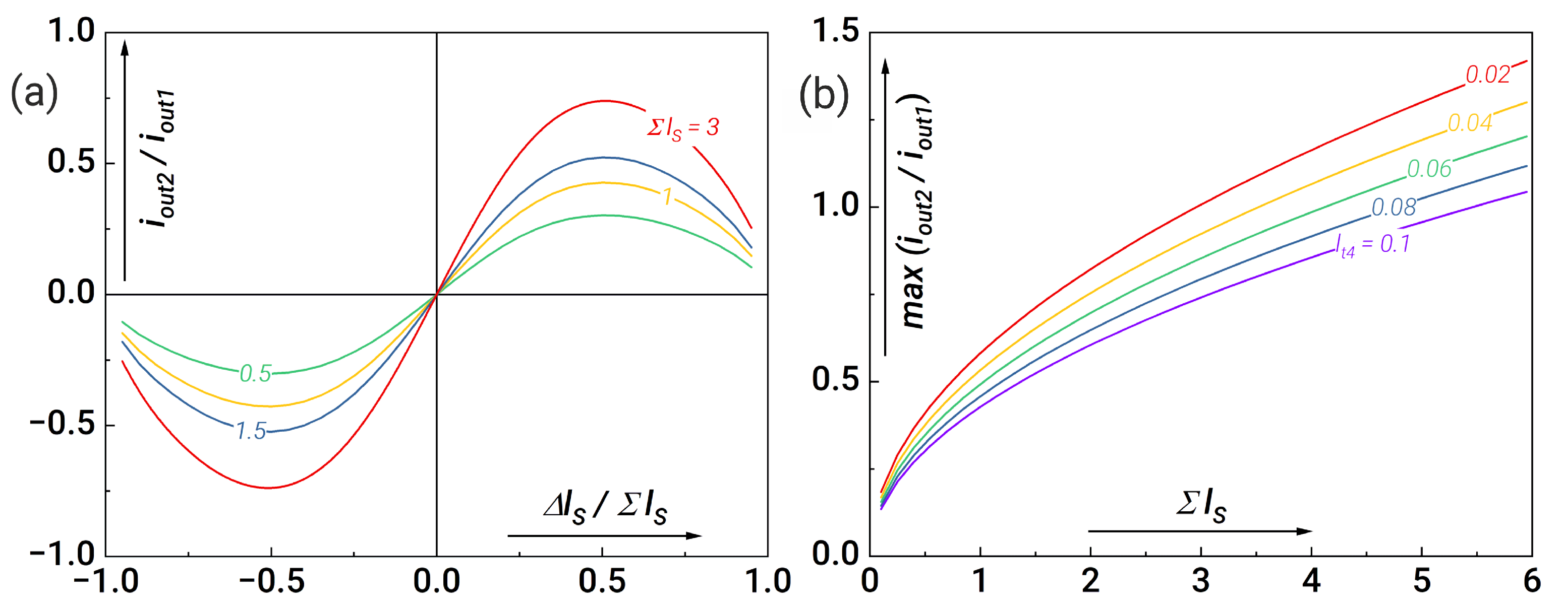
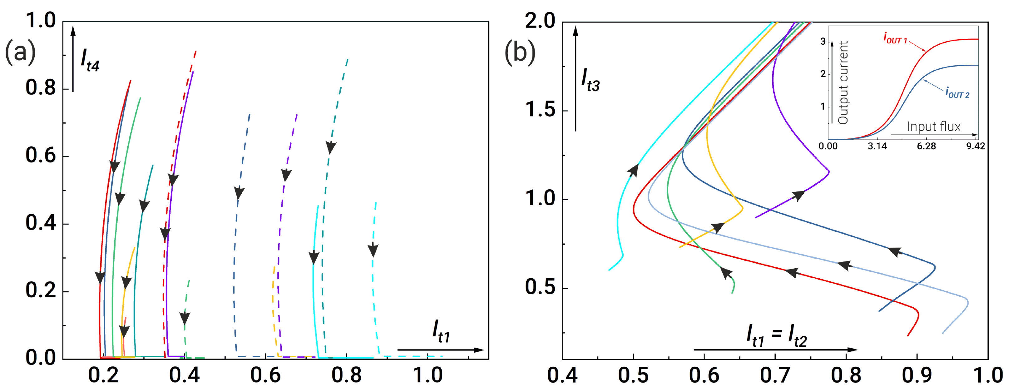
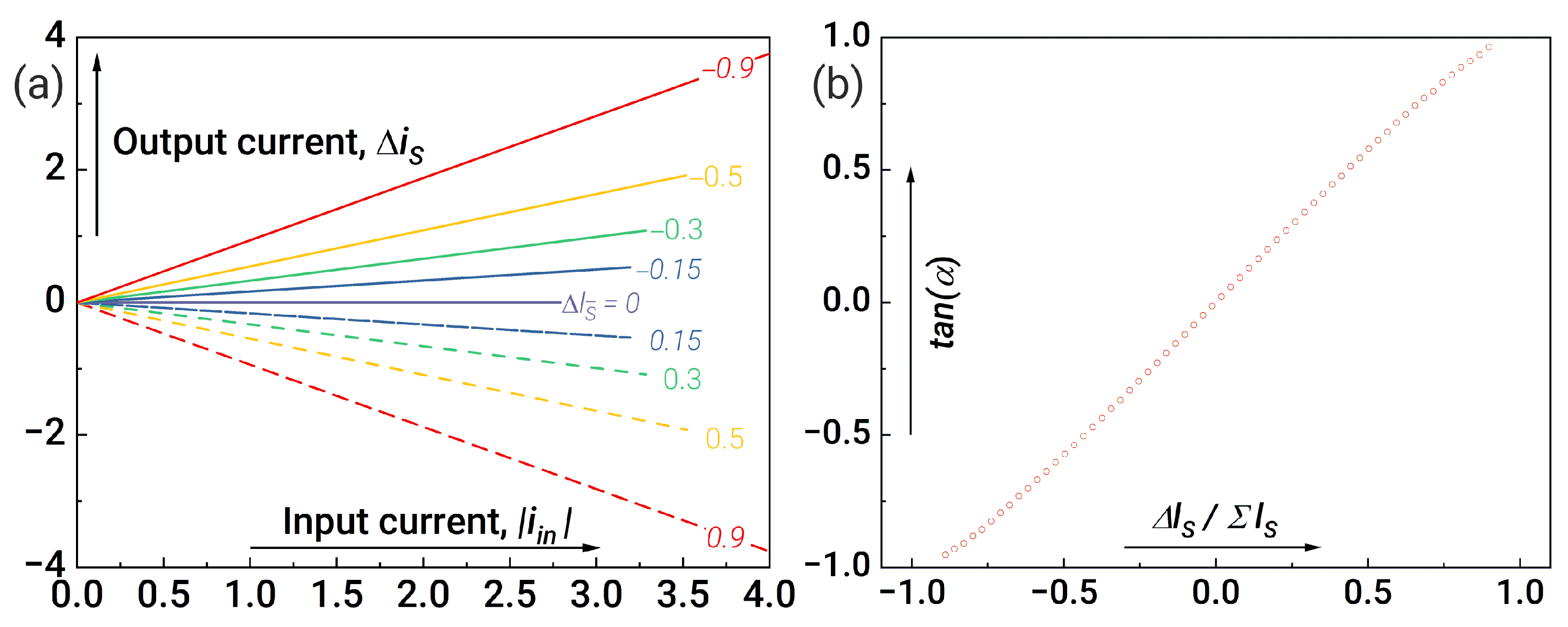
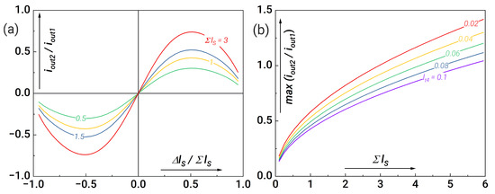
4. Circuit Structure Optimisation
5. Analog Implementation of the XOR and OR Logic Elements
6. Conclusions
Author Contributions
Funding
Institutional Review Board Statement
Data Availability Statement
Conflicts of Interest
Appendix A. Analytical Expressions for Coefficients of “Motion Equations”
Appendix B. Hamiltonian Formalism for Two Coupled Neurons
Appendix C. Superconducting XOR/OR Network Scheme with Notations

References
- Zbontar, J.; LeCun, Y. Stereo matching by training a convolutional neural network to compare image patches. J. Mach. Learn. Res. 2016, 17, 2287–2318. [Google Scholar]
- Tolosana, R.; Vera-Rodriguez, R.; Fierrez, J.; Ortega-Garcia, J. Exploring recurrent neural networks for on-line handwritten signature biometrics. IEEE Access 2018, 6, 5128–5138. [Google Scholar] [CrossRef]
- Kaya, M.; Bilge, H.Ş. Deep metric learning: A survey. Symmetry 2019, 11, 1066. [Google Scholar] [CrossRef]
- Ruiz, V.; Linares, I.; Sanchez, A.; Velez, J.F. Off-line handwritten signature verification using compositional synthetic generation of signatures and Siamese Neural Networks. Neurocomputing 2020, 374, 30–41. [Google Scholar] [CrossRef]
- Wang, M.; Deng, W. Deep face recognition: A survey. Neurocomputing 2021, 429, 215–244. [Google Scholar] [CrossRef]
- Ilina, O.; Ziyadinov, V.; Klenov, N.; Tereshonok, M. A survey on symmetrical neural network architectures and applications. Symmetry 2022, 14, 1391. [Google Scholar] [CrossRef]
- Le Gallo, M.; Khaddam-Aljameh, R.; Stanisavljevic, M.; Vasilopoulos, A.; Kersting, B.; Dazzi, M.; Karunaratne, G.; Brändli, M.; Singh, A.; Mueller, S.M.; et al. A 64-core mixed-signal in-memory compute chip based on phase-change memory for deep neural network inference. Nat. Electron. 2023, 1–14. [Google Scholar] [CrossRef]
- Modha, D.S.; Akopyan, F.; Andreopoulos, A.; Appuswamy, R.; Arthur, J.V.; Cassidy, A.S.; Datta, P.; DeBole, M.V.; Esser, S.K.; Otero, C.O.; et al. Neural inference at the frontier of energy, space, and time. Science 2023, 382, 329–335. [Google Scholar] [CrossRef] [PubMed]
- Kumar, S. Introducing qualcomm zeroth processors: Brain-inspired computing. Qualcomm OnQ Blog, 14 October 2013; 1. [Google Scholar]
- Prezioso, M.; Merrikh-Bayat, F.; Hoskins, B.; Adam, G.C.; Likharev, K.K.; Strukov, D.B. Training and operation of an integrated neuromorphic network based on metal-oxide memristors. Nature 2015, 521, 61. [Google Scholar] [CrossRef]
- Bose, S.K.; Mallinson, J.B.; Gazoni, R.M.; Brown, S.A. Stable self-assembled atomic-switch networks for neuromorphic applications. IEEE Trans. Electron. Devices 2017, 64, 5194–5201. [Google Scholar] [CrossRef]
- Davies, M.; Srinivasa, N.; Lin, T.H.; Chinya, G.; Cao, Y.; Choday, S.H.; Dimou, G.; Joshi, P.; Imam, N.; Jain, S.; et al. Loihi: A neuromorphic manycore processor with on-chip learning. IEEE Micro 2018, 38, 82–99. [Google Scholar] [CrossRef]
- Cheng, R.; Goteti, U.S.; Hamilton, M.C. Spiking neuron circuits using superconducting quantum phase-slip junctions. J. Appl. Phys. 2018, 124, 152126. [Google Scholar] [CrossRef]
- Jeong, H.; Shi, L. Memristor devices for neural networks. J. Phys. Appl. Phys. 2018, 52, 023003. [Google Scholar] [CrossRef]
- DeBole, M.V.; Taba, B.; Amir, A.; Akopyan, F.; Andreopoulos, A.; Risk, W.P.; Kusnitz, J.; Otero, C.O.; Nayak, T.K.; Appuswamy, R.; et al. TrueNorth: Accelerating from zero to 64 million neurons in 10 years. Computer 2019, 52, 20–29. [Google Scholar] [CrossRef]
- Arute, F.; Arya, K.; Babbush, R.; Bacon, D.; Bardin, J.C.; Barends, R.; Biswas, R.; Boixo, S.; Brandao, F.G.; Buell, D.A.; et al. Quantum supremacy using a programmable superconducting processor. Nature 2019, 574, 505–510. [Google Scholar] [CrossRef]
- Berggren, K.; Xia, Q.; Likharev, K.K.; Strukov, D.B.; Jiang, H.; Mikolajick, T.; Querlioz, D.; Salinga, M.; Erickson, J.R.; Pi, S.; et al. Roadmap on emerging hardware and technology for machine learning. Nanotechnology 2020, 32, 012002. [Google Scholar] [CrossRef]
- Wan, W.; Kubendran, R.; Schaefer, C.; Eryilmaz, S.B.; Zhang, W.; Wu, D.; Deiss, S.; Raina, P.; Qian, H.; Gao, B.; et al. A compute-in-memory chip based on resistive random-access memory. Nature 2022, 608, 504–512. [Google Scholar] [CrossRef]
- Feldmann, J.; Youngblood, N.; Wright, C.D.; Bhaskaran, H.; Pernice, W.H. All-optical spiking neurosynaptic networks with self-learning capabilities. Nature 2019, 569, 208–214. [Google Scholar] [CrossRef]
- Jha, A.; Huang, C.; Peng, H.T.; Shastri, B.; Prucnal, P.R. Photonic Spiking Neural Networks and Graphene-on-Silicon Spiking Neurons. J. Light. Technol. 2022, 40, 2901–2914. [Google Scholar] [CrossRef]
- Singh, R.; Zheludev, N. Superconductor photonics. Nat. Photonics 2014, 8, 679–680. [Google Scholar] [CrossRef]
- Fan, L.; Zou, C.L.; Cheng, R.; Guo, X.; Han, X.; Gong, Z.; Wang, S.; Tang, H.X. Superconducting cavity electro-optics: A platform for coherent photon conversion between superconducting and photonic circuits. Sci. Adv. 2018, 4, eaar4994. [Google Scholar] [CrossRef] [PubMed]
- Gu, X.; Kockum, A.F.; Miranowicz, A.; Liu, Y.x.; Nori, F. Microwave photonics with superconducting quantum circuits. Phys. Rep. 2017, 718, 1–102. [Google Scholar]
- Berman, O.L.; Lozovik, Y.E.; Eiderman, S.L.; Coalson, R.D. Superconducting photonic crystals: Numerical calculations of the band structure. Phys. Rev. B 2006, 74, 092505. [Google Scholar] [CrossRef]
- Shainline, J.M.; Buckley, S.M.; Mirin, R.P.; Nam, S.W. Superconducting optoelectronic circuits for neuromorphic computing. Phys. Rev. Appl. 2017, 7, 034013. [Google Scholar] [CrossRef]
- Shainline, J.M.; Buckley, S.M.; McCaughan, A.N.; Chiles, J.; Jafari-Salim, A.; Mirin, R.P.; Nam, S.W. Circuit designs for superconducting optoelectronic loop neurons. J. Appl. Phys. 2018, 124, 152130. [Google Scholar] [CrossRef]
- Shainline, J.M.; Buckley, S.M.; McCaughan, A.N.; Chiles, J.T.; Jafari Salim, A.; Castellanos-Beltran, M.; Donnelly, C.A.; Schneider, M.L.; Mirin, R.P.; Nam, S.W. Superconducting optoelectronic loop neurons. J. Appl. Phys. 2019, 126, 044902. [Google Scholar] [CrossRef]
- Schneider, M.; Toomey, E.; Rowlands, G.; Shainline, J.; Tschirhart, P.; Segall, K. SuperMind: A survey of the potential of superconducting electronics for neuromorphic computing. Supercond. Sci. Technol. 2022, 35, 053001. [Google Scholar] [CrossRef]
- Crotty, P.; Schult, D.; Segall, K. Josephson junction simulation of neurons. Phys. Rev. E 2010, 82, 011914. [Google Scholar] [CrossRef]
- Russek, S.E.; Donnelly, C.A.; Schneider, M.L.; Baek, B.; Pufall, M.R.; Rippard, W.H.; Hopkins, P.F.; Dresselhaus, P.D.; Benz, S.P. Stochastic single flux quantum neuromorphic computing using magnetically tunable Josephson junctions. In Proceedings of the 2016 IEEE International Conference on Rebooting Computing (ICRC), San Diego, CA, USA, 17–19 October 2016; pp. 1–5. [Google Scholar]
- Schneider, M.L.; Donnelly, C.A.; Russek, S.E.; Baek, B.; Pufall, M.R.; Hopkins, P.F.; Dresselhaus, P.D.; Benz, S.P.; Rippard, W.H. Ultralow power artificial synapses using nanotextured magnetic Josephson junctions. Sci. Adv. 2018, 4, e1701329. [Google Scholar] [CrossRef]
- Toomey, E.; Segall, K.; Castellani, M.; Colangelo, M.; Lynch, N.; Berggren, K.K. Superconducting nanowire spiking element for neural networks. Nano Lett. 2020, 20, 8059–8066. [Google Scholar] [CrossRef]
- Ishida, K.; Byun, I.; Nagaoka, I.; Fukumitsu, K.; Tanaka, M.; Kawakami, S.; Tanimoto, T.; Ono, T.; Kim, J.; Inoue, K. Superconductor Computing for Neural Networks. IEEE Micro 2021, 41, 19–26. [Google Scholar] [CrossRef]
- Zhang, H.; Gang, C.; Xu, C.; Gong, G.; Lu, H. Brain-inspired spiking neural network using superconducting devices. IEEE Trans. Emerg. Top. Comput. Intell. 2021, 7, 271–277. [Google Scholar] [CrossRef]
- Semenov, V.K.; Golden, E.B.; Tolpygo, S.K. A new family of bioSFQ logic/memory cells. IEEE Trans. Appl. Supercond. 2021, 32, 1–5. [Google Scholar] [CrossRef]
- Casaburi, A.; Hadfield, R.H. Superconducting circuits that mimic the brain. Nat. Electron. 2022, 5, 627–628. [Google Scholar] [CrossRef]
- Feldhoff, F.; Toepfer, H. Short- and Long-Term State Switching in the Superconducting Niobium Neuron Plasticity. IEEE Trans. Appl. Supercond. 2024, 34, 1–5. [Google Scholar] [CrossRef]
- Siddiqi, I. Engineering high-coherence superconducting qubits. Nat. Rev. Mater. 2021, 6, 875–891. [Google Scholar] [CrossRef]
- Vozhakov, V.A.; Bastrakova, M.V.; Klenov, N.V.; Soloviev, I.I.; Pogosov, W.V.; Babukhin, D.V.; Zhukov, A.A.; Satanin, A.M. State control in superconducting quantum processors. Phys.-Uspekhi 2022, 65, 457–476. [Google Scholar] [CrossRef]
- Calzona, A.; Carrega, M. Multi-mode architectures for noise-resilient superconducting qubits. Supercond. Sci. Technol. 2022, 36, 023001. [Google Scholar] [CrossRef]
- Segall, K.; LeGro, M.; Kaplan, S.; Svitelskiy, O.; Khadka, S.; Crotty, P.; Schult, D. Synchronization dynamics on the picosecond time scale in coupled Josephson junction neurons. Phys. Rev. E 2017, 95, 032220. [Google Scholar] [CrossRef]
- Feldhoff, F.; Toepfer, H. Niobium Neuron: RSFQ Based Bio-Inspired Circuit. IEEE Trans. Appl. Supercond. 2021, 31, 1–5. [Google Scholar] [CrossRef]
- Goteti, U.S.; Dynes, R.C. Superconducting neural networks with disordered Josephson junction array synaptic networks and leaky integrate-and-fire loop neurons. J. Appl. Phys. 2021, 129, 073901. [Google Scholar] [CrossRef]
- Chalkiadakis, D.; Hizanidis, J. Dynamical properties of neuromorphic Josephson junctions. Phys. Rev. E 2022, 106, 044206. [Google Scholar] [CrossRef] [PubMed]
- Schegolev, A.E.; Klenov, N.V.; Gubochkin, G.I.; Kupriyanov, M.Y.; Soloviev, I.I. Bio-Inspired Design of Superconducting Spiking Neuron and Synapse. Nanomaterials 2023, 13, 2101. [Google Scholar] [CrossRef] [PubMed]
- Crotty, P.; Segall, K.; Schult, D. Biologically realistic behaviors from a superconducting neuron model. IEEE Trans. Appl. Supercond. 2023, 33, 1–6. [Google Scholar] [CrossRef]
- Schegolev, A.; Klenov, N.; Soloviev, I.; Tereshonok, M. Learning cell for superconducting neural networks. Supercond. Sci. Technol. 2020, 34, 015006. [Google Scholar] [CrossRef]
- Bastrakova, M.; Gorchavkina, A.; Schegolev, A.; Klenov, N.; Soloviev, I.; Satanin, A.; Tereshonok, M. Dynamic processes in a superconducting adiabatic neuron with non-shunted Josephson contacts. Symmetry 2021, 13, 1735. [Google Scholar] [CrossRef]
- Ionin, A.; Shuravin, N.; Karelina, L.; Rossolenko, A.; Sidel’nikov, M.; Egorov, S.; Chichkov, V.; Chichkov, M.; Zhdanova, M.; Shchegolev, A.; et al. Experimental Study of a Prototype of a Superconducting Sigma Neuron for Adiabatic Neural Networks. J. Exp. Theor. Phys. 2023, 137, 888–898. [Google Scholar] [CrossRef]
- Takeuchi, N.; Arai, K.; Yoshikawa, N. Directly coupled adiabatic superconductor logic. Supercond. Sci. Technol. 2020, 33, 065002. [Google Scholar] [CrossRef]
- Khazali, M.; Mølmer, K. Fast multiqubit gates by adiabatic evolution in interacting excited-state manifolds of Rydberg atoms and superconducting circuits. Phys. Rev. X 2020, 10, 021054. [Google Scholar] [CrossRef]
- Ayala, C.L.; Tanaka, T.; Saito, R.; Nozoe, M.; Takeuchi, N.; Yoshikawa, N. Mana: A monolithic adiabatic integration architecture microprocessor using 1.4-zj/op unshunted superconductor josephson junction devices. IEEE J.-Solid-State Circuits 2020, 56, 1152–1165. [Google Scholar] [CrossRef]
- Yamazaki, Y.; Takeuchi, N.; Yoshikawa, N. A compact interface between adiabatic quantum-flux-parametron and rapid single-flux-quantum circuits. IEEE Trans. Appl. Supercond. 2021, 31, 1–5. [Google Scholar] [CrossRef]
- Setiawan, F.; Groszkowski, P.; Ribeiro, H.; Clerk, A.A. Analytic design of accelerated adiabatic gates in realistic qubits: General theory and applications to superconducting circuits. PRX Quantum 2021, 2, 030306. [Google Scholar] [CrossRef]
- Bastrakova, M.V.; Pashin, D.S.; Rybin, D.A.; Schegolev, A.E.; Klenov, N.V.; Soloviev, I.I.; Gorchavkina, A.A.; Satanin, A.M. A superconducting adiabatic neuron in a quantum regime. Beilstein J. Nanotechnol. 2022, 13, 653–665. [Google Scholar] [CrossRef] [PubMed]
- Pashin, D.S.; Pikunov, P.V.; Bastrakova, M.V.; Schegolev, A.E.; Klenov, N.V.; Soloviev, I.I. A bifunctional superconducting cell as flux qubit and neuron. Beilstein J. Nanotechnol. 2023, 14, 1116–1126. [Google Scholar] [CrossRef] [PubMed]
- Mizushima, N.; Takeuchi, N.; Yamanashi, Y.; Yoshikawa, N. Adiabatic quantum-flux-parametron boosters for long interconnection and large fanouts. Supercond. Sci. Technol. 2023, 36, 115021. [Google Scholar] [CrossRef]
- Bakurskiy, S.; Kupriyanov, M.; Klenov, N.V.; Soloviev, I.; Schegolev, A.; Morari, R.; Khaydukov, Y.; Sidorenko, A. Controlling the proximity in a Co/Nb multilayer: The properties of electronic transport. Beilstein J. Nanotechnol. 2020, 11, 1336–1345. [Google Scholar] [CrossRef] [PubMed]
- Njitacke, Z.T.; Ramakrishnan, B.; Rajagopal, K.; Fozin, T.F.; Awrejcewicz, J. Extremely rich dynamics of coupled heterogeneous neurons through a Josephson junction synapse. Chaos Solitons Fractals 2022, 164, 112717. [Google Scholar] [CrossRef]
- Schegolev, A.E.; Klenov, N.V.; Bakurskiy, S.V.; Soloviev, I.I.; Kupriyanov, M.Y.; Tereshonok, M.V.; Sidorenko, A.S. Tunable superconducting neurons for networks based on radial basis functions. Beilstein J. Nanotechnol. 2022, 13, 444–454. [Google Scholar] [CrossRef] [PubMed]
- Annunziata, A.J.; Santavicca, D.F.; Frunzio, L.; Catelani, G.; Rooks, M.J.; Frydman, A.; Prober, D.E. Tunable superconducting nanoinductors. Nanotechnology 2010, 21, 445202. [Google Scholar] [CrossRef]
- Splitthoff, L.J.; Bargerbos, A.; Grünhaupt, L.; Pita-Vidal, M.; Wesdorp, J.J.; Liu, Y.; Kou, A.; Andersen, C.K.; Van Heck, B. Gate-tunable kinetic inductance in proximitized nanowires. Phys. Rev. Appl. 2022, 18, 024074. [Google Scholar] [CrossRef]
- Klenov, N.; Khaydukov, Y.; Bakurskiy, S.; Morari, R.; Soloviev, I.; Boian, V.; Keller, T.; Kupriyanov, M.; Sidorenko, A.; Keimer, B. Periodic Co/Nb pseudo spin valve for cryogenic memory. Beilstein J. Nanotechnol. 2019, 10, 833–839. [Google Scholar] [CrossRef] [PubMed]
- Stewart, W.C. Current–voltage characteristics of Josephson junctions. Appl. Phys. Lett. 1968, 12, 277. [Google Scholar] [CrossRef]
- Ionin, A.; Karelina, L.; Shuravin, N.; Sidel’nikov, M.; Razorenov, F.; Egorov, S.; Bol’ginov, V. Experimental Study of the Transfer Function of a Superconducting Gauss Neuron Prototype. JETP Lett. 2023, 118, 766–772. [Google Scholar] [CrossRef]
- He, Y.; Ayala, C.L.; Takeuchi, N.; Yamae, T.; Hironaka, Y.; Sahu, A.; Gupta, V.; Talalaevskii, A.; Gupta, D.; Yoshikawa, N. A compact AQFP logic cell design using an 8-metal layer superconductor process. Supercond. Sci. Technol. 2020, 33, 035010. [Google Scholar] [CrossRef]
- Takeuchi, N.; Yamae, T.; Luo, W.; Hirayama, F.; Yamamoto, T.; Yoshikawa, N. Scalable flux controllers using adiabatic superconductor logic for quantum processors. Phys. Rev. Res. 2023, 5, 013145. [Google Scholar] [CrossRef]











Disclaimer/Publisher’s Note: The statements, opinions and data contained in all publications are solely those of the individual author(s) and contributor(s) and not of MDPI and/or the editor(s). MDPI and/or the editor(s) disclaim responsibility for any injury to people or property resulting from any ideas, methods, instructions or products referred to in the content. |
© 2024 by the authors. Licensee MDPI, Basel, Switzerland. This article is an open access article distributed under the terms and conditions of the Creative Commons Attribution (CC BY) license (https://creativecommons.org/licenses/by/4.0/).
Share and Cite
Pashin, D.S.; Bastrakova, M.V.; Rybin, D.A.; Soloviev, I.I.; Klenov, N.V.; Schegolev, A.E. Optimisation Challenge for a Superconducting Adiabatic Neural Network That Implements XOR and OR Boolean Functions. Nanomaterials 2024, 14, 854. https://doi.org/10.3390/nano14100854
Pashin DS, Bastrakova MV, Rybin DA, Soloviev II, Klenov NV, Schegolev AE. Optimisation Challenge for a Superconducting Adiabatic Neural Network That Implements XOR and OR Boolean Functions. Nanomaterials. 2024; 14(10):854. https://doi.org/10.3390/nano14100854
Chicago/Turabian StylePashin, Dmitrii S., Marina V. Bastrakova, Dmitrii A. Rybin, Igor. I. Soloviev, Nikolay V. Klenov, and Andrey E. Schegolev. 2024. "Optimisation Challenge for a Superconducting Adiabatic Neural Network That Implements XOR and OR Boolean Functions" Nanomaterials 14, no. 10: 854. https://doi.org/10.3390/nano14100854
APA StylePashin, D. S., Bastrakova, M. V., Rybin, D. A., Soloviev, I. I., Klenov, N. V., & Schegolev, A. E. (2024). Optimisation Challenge for a Superconducting Adiabatic Neural Network That Implements XOR and OR Boolean Functions. Nanomaterials, 14(10), 854. https://doi.org/10.3390/nano14100854

