Tunable Unexplored Luminescence in Waveguides Based on D-A-D Benzoselenadiazoles Nanofibers
Abstract
1. Introduction
2. Materials and Methods
2.1. General Techniques
2.2. Experimental Section
3. Results and Discussion
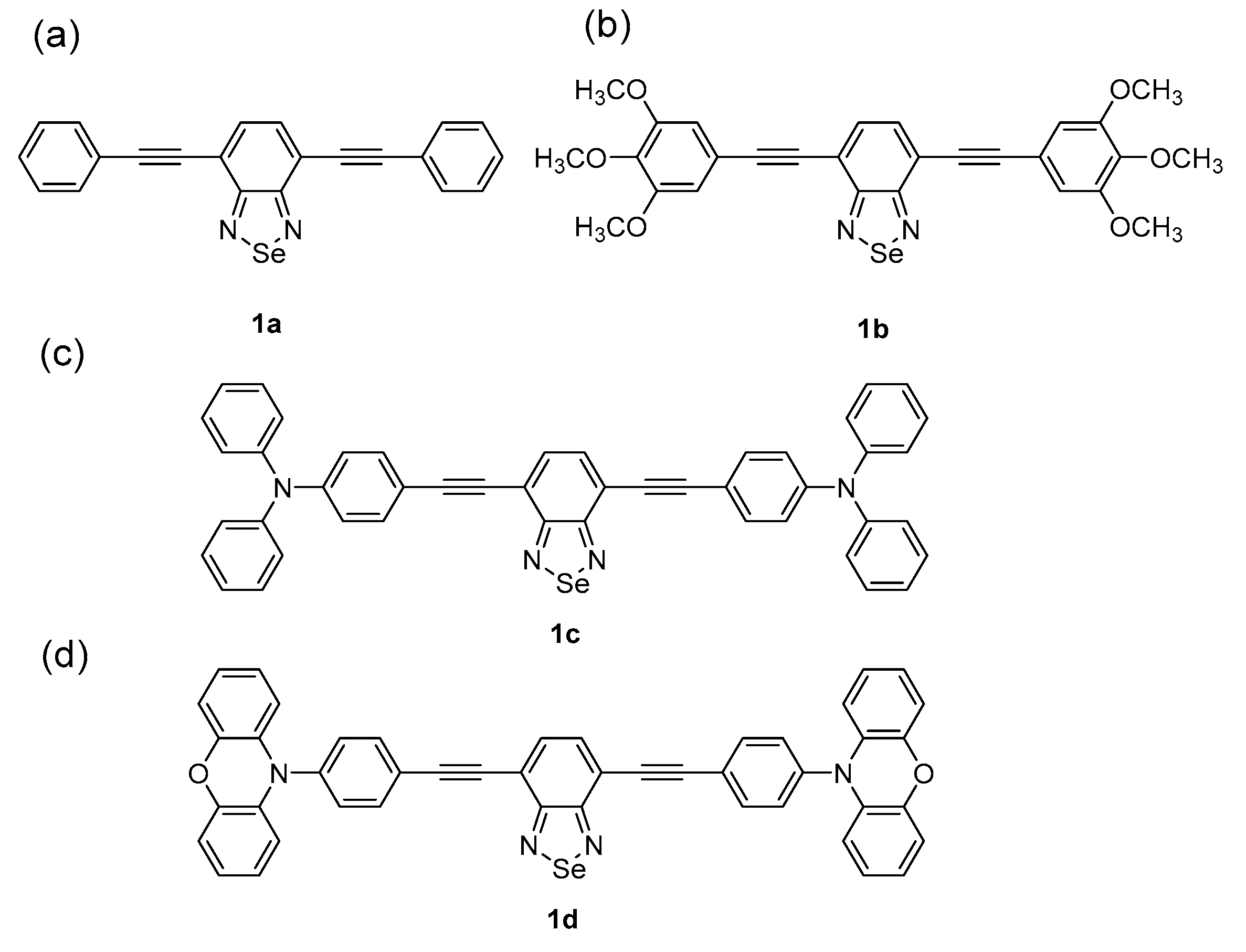
3.1. Synthesis
3.2. Theoretical Calculations
3.3. Photophysical Studies
3.4. Self-Assembling Studies
3.5. Optical Waveguiding Behaviour
4. Conclusions
Supplementary Materials
Author Contributions
Funding
Data Availability Statement
Acknowledgments
Conflicts of Interest
References
- Annadhasan, M.; Karothu, D.P.; Chinnasamy, R.; Catalano, L.; Ahmed, E.; Ghosh, S.; Naumov, P.; Chandrasekar, R. Micromanipulation of mechanically compliant organic single-crystal optical microwaveguides. Angew. Chem. Int. Ed. 2020, 59, 13821–13830. [Google Scholar] [CrossRef] [PubMed]
- Jamil, B.; Choi, Y. Soft Optical Waveguide Sensors Tuned by Reflective Pigmentation for Robotic Applications. J. Korea Robot. Soc. 2021, 16, 1–11. [Google Scholar] [CrossRef]
- Butt, M.A.; Khonina, S.N.; Kazanskiy, N.L. Recent Advances in Photonic Crystal Optical Devices: A Review. Opt. Laser Technol. 2021, 142, 107265. [Google Scholar] [CrossRef]
- Shahbaz, M.; Butt, M.A.; Piramidowicz, R. A Concise Review of the Progress in Photonic Sensing Devices. Photonics 2023, 10, 698. [Google Scholar] [CrossRef]
- Chen, S.; Zhuo, M.-P.; Wang, X.-D.; Wei, G.-Q.; Liao, L.-S. Optical Waveguides Based on One-Dimensional Organic Crystals. Photonix 2021, 2, 2. [Google Scholar] [CrossRef]
- Wu, S.; Zhou, B.; Yan, D. Recent Advances on Molecular Crystalline Luminescent Materials for Optical Waveguides. Adv. Opt. Mater. 2021, 9, 2001768. [Google Scholar] [CrossRef]
- Tian, D.; Chen, Y. Optical Waveguides in Organic Crystals of Polycyclic Arenes. Adv. Opt. Mater. 2021, 9, 2002264. [Google Scholar] [CrossRef]
- Shi, Y.-L.; Wang, X.-D. Organic Micro/Nanostructures for Photonics. Adv. Funct. Mater. 2021, 31, 2008149. [Google Scholar] [CrossRef]
- Lucas, N. Integrated Photonics: Advances in Miniaturization and Integration. J. Laser Opt. Photonics 2023, 10, 6. [Google Scholar]
- Chandrasekar, R. Mechanophotonics—A Guide to Integrating Microcrystals toward Monolithic and Hybrid All-Organic Photonic Circuits. Chem. Commun. 2022, 58, 3415–3428. [Google Scholar] [CrossRef]
- Annadhasan, M.; Basak, S.; Chandrasekhar, N.; Chandrasekar, R. Next-generation Organic Photonics: The Emergence of Flexible Crystal Optical Waveguides. Adv. Opt. Mater. 2020, 8, 2000959. [Google Scholar] [CrossRef]
- Ravi, J.; Chandrasekar, R. Micromechanical Fabrication of Resonator Waveguides Integrated Four-port Photonic Circuit from Flexible Organic Single Crystals. Adv. Opt. Mater. 2021, 9, 2100550. [Google Scholar] [CrossRef]
- Di, Q.; Li, L.; Miao, X.; Lan, L.; Yu, X.; Liu, B.; Yi, Y.; Naumov, P.; Zhang, H. Fluorescence-Based Thermal Sensing with Elastic Organic Crystals. Nat. Commun. 2022, 13, 5280. [Google Scholar] [CrossRef] [PubMed]
- Abdullah; Akhtar, M.S.; Kim, E.-B.; Fijahi, L.; Shin, H.-S.; Ameen, S. A Symmetric Benzoselenadiazole Based D–A–D Small Molecule for Solution Processed Bulk-Heterojunction Organic Solar Cells. J. Ind. Eng. Chem. 2020, 81, 309–316. [Google Scholar] [CrossRef]
- Ting, H.-C.; Chen, Y.-H.; Lin, L.-Y.; Chou, S.-H.; Liu, Y.-H.; Lin, H.-W.; Wong, K.-T. Benzochalcogenodiazole-based Donor–Acceptor–Acceptor Molecular Donors for Organic Solar Cells. ChemSusChem 2014, 7, 457–465. [Google Scholar] [CrossRef]
- Mondal, S.; Rashid, A.; Ghosh, P. Benzoselenadiazole Containing Donor–Acceptor–Donor Receptor as a Superior and Selective Probe for Fluoride in DMSO. Inorganica Chim. Acta 2022, 538, 120973. [Google Scholar] [CrossRef]
- Lu, X.; Fan, S.; Wu, J.; Jia, X.; Wang, Z.-S.; Zhou, G. Controlling the Charge Transfer in D–A–D Chromophores Based on Pyrazine Derivatives. J. Org. Chem. 2014, 79, 6480–6489. [Google Scholar] [CrossRef] [PubMed]
- Qian, G.; Dai, B.; Luo, M.; Yu, D.; Zhan, J.; Zhang, Z.; Ma, D.; Wang, Z.Y. Band Gap Tunable, Donor−Acceptor−Donor Charge-Transfer Heteroquinoid-Based Chromophores: Near Infrared Photoluminescence and Electroluminescence. Chem. Mater. 2008, 20, 6208–6216. [Google Scholar] [CrossRef]
- Tao, T.; Ma, B.-B.; Peng, Y.-X.; Wang, X.-X.; Huang, W.; You, X.-Z. Asymmetrical/Symmetrical D−π–A/D−π–D Thiazole-Containing Aromatic Heterocyclic Fluorescent Compounds Having the Same Triphenylamino Chromophores. J. Org. Chem. 2013, 78, 8669–8679. [Google Scholar] [CrossRef]
- Wang, J.-L.; Xiao, Q.; Pei, J. Benzothiadiazole-Based D−π-A−π-D Organic Dyes with Tunable Band Gap: Synthesis and Photophysical Properties. Org. Lett. 2010, 12, 4164–4167. [Google Scholar] [CrossRef]
- Homnick, P.J.; Tinkham, J.S.; Devaughn, R.; Lahti, P.M. Engineering Frontier Energy Levels in Donor–Acceptor Fluoren-9-Ylidene Malononitriles versus Fluorenones. J. Phys. Chem. A 2014, 118, 475–486. [Google Scholar] [CrossRef]
- Liang, A.; Wang, H.; Chen, Y.; Zheng, X.; Cao, T.; Yang, X.; Cai, P.; Wang, Z.; Zhang, X.; Huang, F. Benzoselenadiazole-Based Donor-Acceptor Small Molecule: Synthesis, Aggregation-Induced Emission and Electroluminescence. Dyes Pigm. 2018, 149, 399–406. [Google Scholar] [CrossRef]
- Gao, S.; Balan, B.; Yoosaf, K.; Monti, F.; Bandini, E.; Barbieri, A.; Armaroli, N. Highly Efficient Luminescent Solar Concentrators Based on Benzoheterodiazole Dyes with Large Stokes Shifts. Chemistry 2020, 26, 11013–11023. [Google Scholar] [CrossRef]
- Torres-Moya, I.; Martín, R.; Díaz-Ortiz, Á.; Prieto, P.; Carrillo, J.R. Self-assembled Alkynyl Azoles and Benzoazoles as Colored Optical Waveguides. Isr. J. Chem. 2018, 58, 827–836. [Google Scholar] [CrossRef]
- Cáceres, D.; Cebrián, C.; Rodríguez, A.M.; Carrillo, J.R.; Díaz-Ortiz, Á.; Prieto, P.; Aparicio, F.; García, F.; Sánchez, L. Optical Waveguides from 4-Aryl-4H-1,2,4-Triazole-Based Supramolecular Structures. Chem. Commun. 2013, 49, 621–623. [Google Scholar] [CrossRef]
- Pastor, M.J.; Torres, I.; Cebrián, C.; Carrillo, J.R.; Díaz-Ortiz, Á.; Matesanz, E.; Buendía, J.; García, F.; Barberá, J.; Prieto, P.; et al. 4-aryl-3,5-bis(Arylethynyl)Aryl-4H-1,2,4-triazoles: Multitasking Skeleton as a Self-assembling Unit. Chemistry 2015, 21, 1795–1802. [Google Scholar] [CrossRef]
- Li, H.; Guo, Y.; Lei, Y.; Gao, W.; Liu, M.; Chen, J.; Hu, Y.; Huang, X.; Wu, H. D-π-A Benzo[c][1,2,5]Selenadiazole-Based Derivatives via an Ethynyl Bridge: Photophysical Properties, Solvatochromism and Applications as Fluorescent Sensors. Dyes Pigm. 2015, 112, 105–115. [Google Scholar] [CrossRef]
- Zhao, Y.; Truhlar, D.G. Density Functionals for Noncovalent Interaction Energies of Biological Importance. J. Chem. Theory Comput. 2007, 3, 289–300. [Google Scholar] [CrossRef]
- Francl, M.M.; Pietro, W.J.; Hehre, W.J.; Binkley, J.S.; Gordon, M.S.; DeFrees, D.J.; Pople, J.A. Self-Consistent Molecular Orbital Methods. XXIII. A Polarization-Type Basis Set for Second-Row Elements. J. Chem. Phys. 1982, 77, 3654–3665. [Google Scholar] [CrossRef]
- Guo, Z.-H.; Lei, T.; Jin, Z.-X.; Wang, J.-Y.; Pei, J. T-Shaped Donor–Acceptor Molecules for Low-Loss Red-Emission Optical Waveguide. Org. Lett. 2013, 15, 3530–3533. [Google Scholar] [CrossRef]
- Zheng, J.Y.; Yan, Y.; Wang, X.; Zhao, Y.S.; Huang, J.; Yao, J. Wire-on-Wire Growth of Fluorescent Organic Heterojunctions. J. Am. Chem. Soc. 2012, 134, 2880–2883. [Google Scholar] [CrossRef]
- Kong, Q.; Liao, Q.; Xu, Z.; Wang, X.; Yao, J.; Fu, H. Epitaxial Self-Assembly of Binary Molecular Components into Branched Nanowire Heterostructures for Photonic Applications. J. Am. Chem. Soc. 2014, 136, 2382–2388. [Google Scholar] [CrossRef]
- Li, Z.-Z.; Tao, Y.-C.; Wang, X.-D.; Liao, L.-S. Organic Nanophotonics: Self-Assembled Single-Crystalline Homo-/Heterostructures for Optical Waveguides. ACS Photonics 2018, 5, 3763–3771. [Google Scholar] [CrossRef]







| Compound | HOMO (eV) | LUMO (eV) | HOMO LUMO Gap (eV) |
|---|---|---|---|
| 1a | −5.66![]() | −3.06![]() | 2.60 |
| 1b | −5.58![]() | −3.14![]() | 2.44 |
| 1c | −5.28![]() | −3.08![]() | 2.20 |
| 1d | −5.11![]() | −3.06![]() | 2.05 |
| Compound | λabs [a] (nm) | λem [b] (nm) | λemsol [c] (nm) | λonset [d] (nm) | Φdis [e] | Φsol [f] | HOMO-LUMO Gap [g] (eV) | HOMO-LUMO Gap [h] (eV) |
|---|---|---|---|---|---|---|---|---|
| 1a | 329, 434 | 546 | 550 | 488 | 0.20 | 0.13 | 2.60 | 2.54 |
| 1b | 330, 448 | 574 | 595 | 514 | 0.54 | 0.43 | 2.44 | 2.41 |
| 1c | 300, 470 | 625 | 640 | 552 | 0.69 | 0.41 | 2.20 | 2.25 |
| 1d | 315, 491 | 664 | 698 | 585 | 0.60 | 0.35 | 2.05 | 2.11 |
Disclaimer/Publisher’s Note: The statements, opinions and data contained in all publications are solely those of the individual author(s) and contributor(s) and not of MDPI and/or the editor(s). MDPI and/or the editor(s) disclaim responsibility for any injury to people or property resulting from any ideas, methods, instructions or products referred to in the content. |
© 2024 by the authors. Licensee MDPI, Basel, Switzerland. This article is an open access article distributed under the terms and conditions of the Creative Commons Attribution (CC BY) license (https://creativecommons.org/licenses/by/4.0/).
Share and Cite
Tardío, C.; Pinilla-Peñalver, E.; Donoso, B.; Torres-Moya, I. Tunable Unexplored Luminescence in Waveguides Based on D-A-D Benzoselenadiazoles Nanofibers. Nanomaterials 2024, 14, 822. https://doi.org/10.3390/nano14100822
Tardío C, Pinilla-Peñalver E, Donoso B, Torres-Moya I. Tunable Unexplored Luminescence in Waveguides Based on D-A-D Benzoselenadiazoles Nanofibers. Nanomaterials. 2024; 14(10):822. https://doi.org/10.3390/nano14100822
Chicago/Turabian StyleTardío, Carlos, Esther Pinilla-Peñalver, Beatriz Donoso, and Iván Torres-Moya. 2024. "Tunable Unexplored Luminescence in Waveguides Based on D-A-D Benzoselenadiazoles Nanofibers" Nanomaterials 14, no. 10: 822. https://doi.org/10.3390/nano14100822
APA StyleTardío, C., Pinilla-Peñalver, E., Donoso, B., & Torres-Moya, I. (2024). Tunable Unexplored Luminescence in Waveguides Based on D-A-D Benzoselenadiazoles Nanofibers. Nanomaterials, 14(10), 822. https://doi.org/10.3390/nano14100822









