Novel Catalyst Composites of Ni- and Co-Based Nanoparticles Supported on Inorganic Oxides for Fatty Acid Hydrogenations
Abstract
1. Introduction
2. Materials and Methods
2.1. Materials
2.2. Synthesis of Supported Metal Nanoparticles
2.2.1. Synthesis of Nickel Nanoparticles Stabilized by Quinidine and Supported on MgAl2O4 or TiO2, NiNP@MgAl2O4, and NiNP@TiO2, Respectively
2.2.2. Synthesis of Cobalt Nanoparticles Stabilized by Quinidine and Supported on MgAl2O4 and TiO2, CoNP@MgAl2O4, and CoNP@TiO2
2.2.3. Synthesis of Nickel–Cobalt Nanoparticles Stabilized by Quinidine and Supported on MgAl2O4 or TiO2, NiCoNP@MgAl2O4, and NiCoNP@TiO2, Respectively
2.2.4. Extraction of Metal Nanoparticles from the Inorganic Support with Glycerol
2.3. Catalytic Hydrogenation Reactions Using NiNP@MgAl2O4
3. Results and Discussion
3.1. Design and Characterization of Nanocomposite Materials
3.2. Catalytic Hydrogenation of Fatty Acids
4. Conclusions
Supplementary Materials
Author Contributions
Funding
Data Availability Statement
Acknowledgments
Conflicts of Interest
References
- Sabatier, P.; Senderens, J. Action of nickel on ethylene. Ethane synthesis. C. R. Hebd. Seances Acad. Sci 1897, 124, 1358. [Google Scholar]
- Sabatier, P.; Senderens, J. Action of hydrogen on acetylene in presence of nickel. C. R. Hebd. Seances Acad. Sci. 1899, 128, 1173. [Google Scholar]
- Sabatier, P. Hydrogénations et déshydrogénations par catalyse. Ber. Dtsch. Chem. Ges. 1911, 44, 1984–2001. [Google Scholar] [CrossRef]
- Sabatier, P. Catalysis in Organic Chemistry; D. Van Nostrand Company: New York, NY, USA, 1922. [Google Scholar]
- Fouilloux, P. The nature of raney nickel, its adsorbed hydrogen and its catalytic activity for hydrogenation reactions (review). Appl. Catal. 1983, 8, 1–42. [Google Scholar] [CrossRef]
- Murray, R. Method of Producing Finely-Divided Nickel. U.S. Patent US1628190A, 10 May 1927. [Google Scholar]
- Murray, R. Method of Preparing Catalytic Material. U.S. Patent US1915473A, 27 June 1933. [Google Scholar]
- Aller, B. Raney cobalt hydrogenation catalysts. I. The preparation of the catalyst. J. Appl. Chem. 1957, 7, 130–134. [Google Scholar] [CrossRef]
- Heinz, I.; Gerhard, M. Process for the Production of Hexamethylene Diamine. U.S. Patent US3048635A, 7 August 1962. [Google Scholar]
- Gray, J.I.; Russell, L.F. Hydrogenation catalysts—Their effect on selectivity. J. Am. Oil Chem. Soc. 1979, 56, 36–44. [Google Scholar] [CrossRef]
- Devred, F.; Reinhart, G.; Iles, G.N.; van der Klugt, B.; Adkins, N.J.; Bakker, J.W.; Nieuwenhuys, B.E. Synchrotron X-ray microtomography of Raney-type nickel catalysts prepared by gas atomisation: Effect of microstructure on catalytic performance. Catal. Today 2011, 163, 13–19. [Google Scholar] [CrossRef]
- Hata, K.; Motoyama, I.; Sakai, K. The Urushibara hydrogenation catalysts: A review. Org. Prep. Proced. Int. 1972, 4, 179–209. [Google Scholar] [CrossRef]
- Genchi, G.; Carocci, A.; Lauria, G.; Sinicropi, M.S.; Catalano, A. Nickel: Human Health and Environmental Toxicology. Int. J. Environ. Res. Public Health 2020, 17, 679. [Google Scholar] [CrossRef] [PubMed]
- Yang, P.; Zhang, L.J.; Wang, X.J.; Wang, Z.L. Exploring the management of industrial hazardous waste based on recent accidents. J. Loss Prev. Process Ind. 2020, 67, 104224. [Google Scholar] [CrossRef]
- Leyssens, L.; Vinck, B.; Van Der Straeten, C.; Wuyts, F.; Maes, L. Cobalt toxicity in humans-A review of the potential sources and systemic health effects. Toxicology 2017, 387, 43–56. [Google Scholar] [CrossRef] [PubMed]
- Unice, K.M.; Monnot, A.D.; Gaffney, S.H.; Tvermoes, B.E.; Thuett, K.A.; Paustenbach, D.J.; Finley, B.L. Inorganic cobalt supplementation: Prediction of cobalt levels in whole blood and urine using a biokinetic model. Food Chem. Toxicol. 2012, 50, 2456–2461. [Google Scholar] [CrossRef]
- Tvermoes, B.E.; Paustenbach, D.J.; Kerger, B.D.; Finley, B.L.; Unice, K.M. Review of cobalt toxicokinetics following oral dosing: Implications for health risk assessments and metal-on-metal hip implant patients. Crit. Rev. Toxicol. 2015, 45, 367–387. [Google Scholar] [CrossRef]
- Anneken, D.J.; Both, S.; Christoph, R.; Fieg, G.; Steinberner, U.; Westfechtel, A. Fatty Acids. In Ullmann’s Encyclopedia of Industrial Chemistry; Verlag Chemie: Hoboken, NJ, USA, 2006. [Google Scholar] [CrossRef]
- Taylor, N.J.; Pottebaum, A.J.; Uz, V.; Laine, R.M. The bottom up approach is not always the best processing method: Dense a-Al2O3/NiAl2O4 composites. Adv. Funct. Mater. 2014, 24, 3392–3398. [Google Scholar] [CrossRef]
- Ribeiro, N.F.P.; Neto, R.C.R.; Moya, S.F.; Souza, M.M.V.M.; Schmal, M. Synthesis of NiAl2O4 with high surface area as precursor of Ni nanoparticles for hydrogen production. Int. J. Hydrog. Energy 2010, 35, 11725–11732. [Google Scholar] [CrossRef]
- Sahli, N.; Petit, C.; Roger, A.C.; Kiennemann, A.; Libs, S.; Bettahar, M.M. Ni catalysts from NiAl2O4 spinel for CO2 reforming of methane. Catal. Today 2006, 113, 187–193. [Google Scholar] [CrossRef]
- Zhang, X.; Lu, G.; Hoffmann, M.J.; Metselaar, R. Properties and interface structures of Ni and Ni-Ti alloy toughened Al2O3 ceramic composites. J. Eur. Ceram. Soc. 1995, 15, 225–232. [Google Scholar] [CrossRef]
- Breval, E.; Deng, Z.; Chiou, S.; Pantano, C.G. Sol-gel prepared Ni-alumina composite materials. J. Mater. Sci. 1992, 27, 1464–1468. [Google Scholar] [CrossRef]
- Itzhak, H.; Danut, D.; Ersan, Ü.; Alan, F.Y.; Elizabeth, H.A.; Jingzhu, H.; Maddury, S.S. The effect of pressure on the structure of NiAl2O4. J. Phys. Condens. Matter 2002, 14, 10511. [Google Scholar] [CrossRef]
- Barroso, M.N.; Galetti, A.E.; Abello, M.C. Ni catalysts supported over MgAl2O4 modified with Pr for hydrogen production from ethanol steam reforming. Appl. Catal. A Gen. 2011, 394, 124–131. [Google Scholar] [CrossRef]
- Yu, S.; Hu, Y.; Cui, H.; Cheng, Z.; Zhou, Z. Ni-based catalysts supported on MgAl2O4 with different properties for combined steam and CO2 reforming of methane. Chem. Eng. Sci. 2021, 232, 116379. [Google Scholar] [CrossRef]
- Ganesh, I. A review on magnesium aluminate (MgAl2O4) spinel: Synthesis, processing and applications. Int. Mater. Rev. 2013, 58, 63–112. [Google Scholar] [CrossRef]
- Sinhamahapatra, S.; Das, P.; Dana, K.; Tripathi, H.S. Magnesium Aluminate Spinel: Structure, Properties, Synthesis and Applications. Trans. Indian Ceram. Soc. 2022, 81, 97–120. [Google Scholar] [CrossRef]
- Sápi, A.; Rajkumar, T.; Kiss, J.; Kukovecz, Á.; Kónya, Z.; Somorjai, G.A. Metallic Nanoparticles in Heterogeneous Catalysis. Catal. Lett. 2021, 151, 2153–2175. [Google Scholar] [CrossRef]
- Reina, A.; Favier, I.; Pradel, C.; Gómez, M. Stable Zero-Valent Nickel Nanoparticles in Glycerol. Adv. Synth. Catal. 2018, 360, 3544–3552. [Google Scholar] [CrossRef]
- Pérez Alonso, A.; Mauriés, S.; Ledeuil, J.-B.; Madec, L.; Pham Minh, D.; Pla, D.; Gómez, M. Nickel Nanoparticles Immobilized on Pristine Halloysite: An Outstanding Catalyst for Hydrogenation Processes. ChemCatChem 2022, 14, e2022007. [Google Scholar] [CrossRef]
- Favier, I.; Pla, D.; Gómez, M. Palladium nanoparticles in polyols: Synthesis, catalytic couplings and hydrogenations. Chem. Rev. 2020, 120, 1146–1183. [Google Scholar] [CrossRef]
- Garg, G.; Foltran, S.; Favier, I.; Pla, D.; Medina-González, Y.; Gómez, M. Palladium Nanoparticles Stabilized by Novel Choline-based Ionic Liquids in Glycerol Applied in Hydrogenation Reactions. Catal. Today 2020, 346, 69–75. [Google Scholar] [CrossRef]
- Mamontova, E.; Favier, I.; Pla, D.; Gómez, M. Chapter Two–Organometallic interactions between metal nanoparticles and carbon-based molecules: A surface reactivity rationale. In Advances in Organometallic Chemistry; Pérez, P.J., Ed.; Academic Press: Cambridge, MA, USA, 2022; Volume 77, pp. 43–103. [Google Scholar] [CrossRef]
- Leal-Duaso, A.; Favier, I.; Pla, D.; Pires, E.; Gómez, M. Design of Glycerol-Based Solvents for the Immobilization of Palladium Nanocatalysts: A Hydrogenation Study. ACS Sustain. Chem. Eng. 2021, 9, 6875–6885. [Google Scholar] [CrossRef]
- Billas, I.M.L.; Châtelain, A.; de Heer, W.A. Magnetism from the Atom to the Bulk in Iron, Cobalt, and Nickel Clusters. Science 1994, 265, 1682–1684. [Google Scholar] [CrossRef] [PubMed]
- Ishizaki, T.; Yatsugi, K.; Akedo, K. Effect of Particle Size on the Magnetic Properties of Ni Nanoparticles Synthesized with Trioctylphosphine as the Capping Agent. Nanomaterials 2016, 6, 172. [Google Scholar] [CrossRef] [PubMed]
- Nishikawa, M.; Kita, E.; Erata, T.; Tasaki, A. Enhanced magnetization in cobalt/magnesium oxide multilayer thin films. J. Magn. Magn. Mater. 1993, 126, 303. [Google Scholar] [CrossRef]
- Lozhkomoev, A.S.; Pervikov, A.V.; Kazantsev, S.O.; Suliz, K.V.; Veselovskiy, R.V.; Miller, A.A.; Lerner, M.I. Controlled Oxidation of Cobalt Nanoparticles to Obtain Co/CoO/Co3O4 Composites with Different Co Content. Nanomaterials 2022, 12, 2523. [Google Scholar] [CrossRef] [PubMed]
- Guo, B.; Xu, Y.; Zhou, S. Morphology dependence of low temperatures exchange bias Co/CoO core-shell nanoparticles/spheres by eco-friendly solvothermal route. AIP Adv. 2018, 8, 115115. [Google Scholar] [CrossRef]
- Xie, X.; Ni, C.; Lin, Z.; Wu, D.; Sun, X.; Zhang, Y.; Wang, B.; Du, W. Phase and morphology evolution of high dielectric CoO/Co3O4 particles with Co3O4 nanoneedles on surface for excellent microwave absorption application. Chem. Eng. J. 2020, 396, 125205. [Google Scholar] [CrossRef]
- Srivastava, A.K.; Madhavi, S.; Menon, M.; Ramanujan, R.V. Synthesis of Co/Co3O4 Nanocomposite Particles Relevant to Magnetic Field Processing. J. Nanosci. Nanotechnol. 2010, 10, 6580–6585. [Google Scholar] [CrossRef]
- Van Schooneveld, M.M.; Kurian, R.; Juhin, A.; Zhou, K.; Schlappa, J.; Strocov, V.N.; Schmitt, T.; de Groot, F.M.F. Electronic Structure of CoO Nanocrystals and a Single Crystal Probed by Resonant X-ray Emission Spectroscopy. J. Phys. Chem. C 2012, 116, 15218–15230. [Google Scholar] [CrossRef]
- Belyakov, A.V.; Faikov, P.P.; Tsvigunov, A.N.; Andrianov, N.T.; Ivleva, Y.V. Synthesis of aluminomagnesian spinel with excess magnesium oxide under varying flow rates of cation mass transfer. Glass Ceram. 2006, 63, 46–51. [Google Scholar] [CrossRef]
- Varga, E.; Pusztai, P.; Óvári, L.; Oszkó, A.; Erdőhelyi, A.; Papp, C.; Steinrück, H.P.; Kónya, Z.; Kiss, J. Probing the interaction of Rh, Co and bimetallic Rh–Co nanoparticles with the CeO2 support: Catalytic materials for alternative energy generation. Phys. Chem. Chem. Phys. 2015, 17, 27154–27166. [Google Scholar] [CrossRef]
- Song, S.; Yao, S.; Cao, J.; Di, L.; Wu, G.; Guan, N.; Li, L. Heterostructured Ni/NiO composite as a robust catalyst for the hydrogenation of levulinic acid to γ-valerolactone. Appl. Catal. B 2017, 217, 115–124. [Google Scholar] [CrossRef]
- Jia, W.; Xu, G.; Liu, X.; Zhou, F.; Ma, H.; Zhang, Y.; Fu, Y. Direct Selective Hydrogenation of Fatty Acids and Jatropha Oil to Fatty Alcohols over Cobalt-Based Catalysts in Water. Energy Fuels 2018, 32, 8438–8446. [Google Scholar] [CrossRef]
- Van Rooijen, M.A.; Mensink, R.P. Palmitic Acid Versus Stearic Acid: Effects of Interesterification and Intakes on Cardiometabolic Risk Markers—A Systematic Review. Nutrients 2020, 12, 615. [Google Scholar] [CrossRef] [PubMed]
- Biesinger, M.C.; Payne, B.P.; Lau, L.W.M.; Gerson, A.; Smart, R.S.C. X-ray photoelectron spectroscopic chemical state quantification of mixed nickel metal, oxide and hydroxide systems. Surf. Interface Anal. 2009, 41, 324–332. [Google Scholar] [CrossRef]
- Biesinger, M.C.; Lau, L.W.; Gerson, A.R.; Smart, R.S.C. The role of the Auger parameter in XPS studies of nickel metal, halides and oxides. Phys. Chem. Chem. Phys. 2012, 14, 2434–2442. [Google Scholar] [CrossRef] [PubMed]
- Biesinger, M.C.; Payne, B.P.; Grosvenor, A.P.; Lau, L.W.M.; Gerson, A.R.; Smart, R.S.C. Resolving surface chemical states in XPS analysis of first row transition metals, oxides and hydroxides: Cr, Mn, Fe, Co and Ni. Appl. Surf. Sci. 2011, 257, 2717–2730. [Google Scholar] [CrossRef]
- Polack, F.; Silly, M.; Chauvet, C.; Lagarde, B.; Bergeard, N.; Izquierdo, M.; Chubar, O.; Krizmancic, D.; Ribbens, M.; Duval, J.P.; et al. TEMPO: A New Insertion Device Beamline at SOLEIL for Time Resolved Photoelectron Spectroscopy Experiments on Solids and Interfaces. AIP Conf. Proc. 2010, 1234, 185–188. [Google Scholar] [CrossRef]





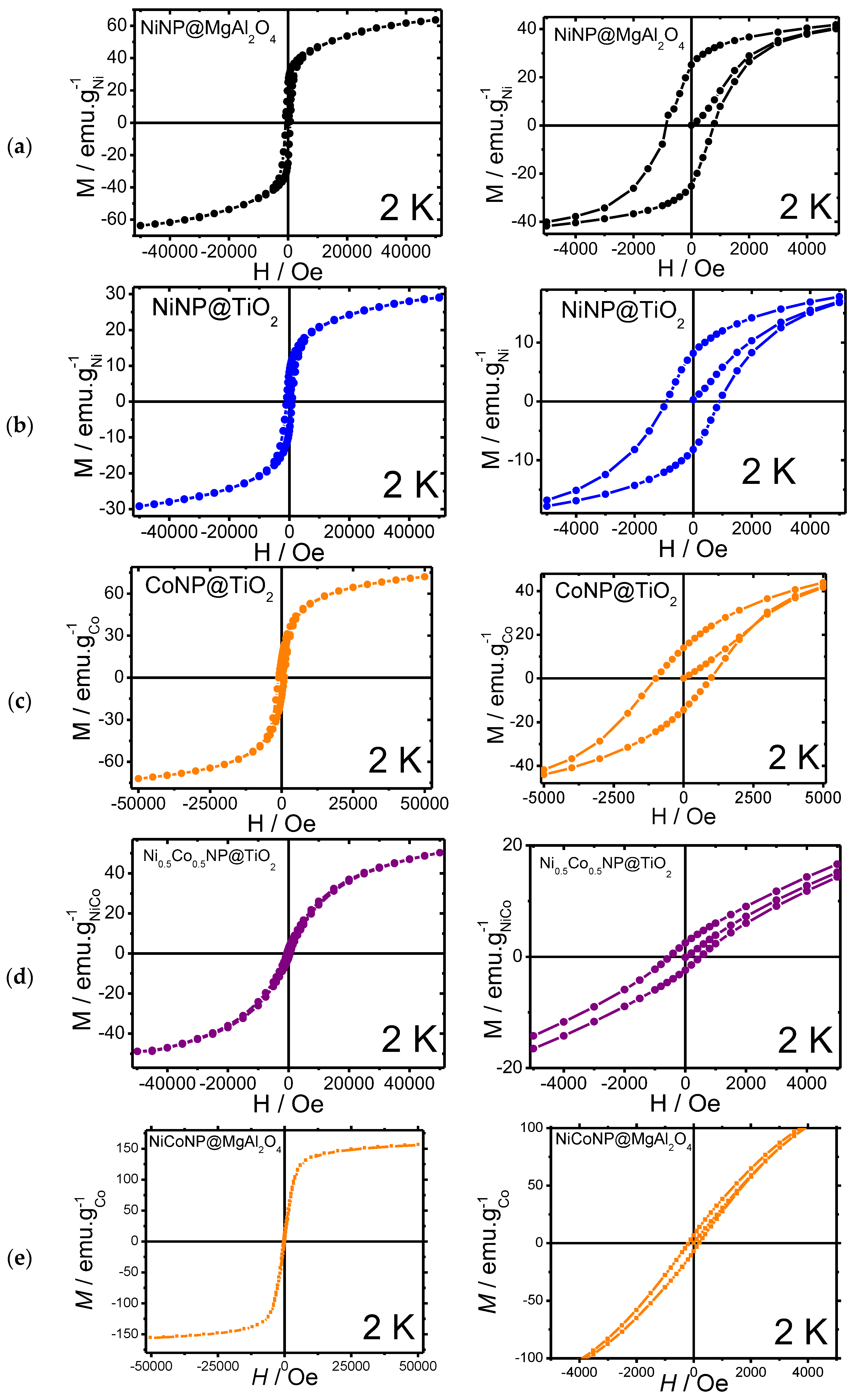
| Sample | Hc (Oe) | MrMNPs (emu.g−1) | MsMNPs (emu.g−1) |
|---|---|---|---|
| NiNP@MgAl2O4 | 775 | 25.2 | 63.7 |
| NiNP@TiO2 | 947 | 8.3 | 29.1 |
| CoNP@TiO2 | 982 | 13.7 | 72.0 |
| NiCoNP@MgAl2O4 | 181 | 6.7 | 156.2 |
| NiCoNP@TiO2 | 511 | 2.7 | 52.0 |

| Entry | Catalyst | Metal Loading (mol%) | Conv. (%) b |
|---|---|---|---|
| 1 | CoNP@TiO2 | 1 | 10 |
| 2 | NiNP@TiO2 | 1 | 65 |
| 3 | NiCoNP@TiO2 | 1 | 31 |
| 4 | CoNP@MgAl2O4 | 1 | 12 |
| 5 | NiNP@MgAl2O4 | 1 | 96 |
| 6 | NiCoNP@MgAl2O4 | 1 c | 93 |
| 7 | NiCoNP@MgAl2O4 | 0.6 d | 91 |
| 8 | NiNP@MgAl2O4 | 0.6 | 35 |

| Entry | Substrate | Conv. (%) b | Selectivity (%) b |
|---|---|---|---|
| 1 | 3 | 72 | 100 c |
| 2 | 4 | 97 | 70/30 d |
| 3 e | 5 | 86 | 100 d |
| 4 f | 4 | >99 | 100 c |
| 5 e,f | 5 | >99 | 100 c |
| 6 f | Agri-food waste g | >99 | 96 c (4) h |
Disclaimer/Publisher’s Note: The statements, opinions and data contained in all publications are solely those of the individual author(s) and contributor(s) and not of MDPI and/or the editor(s). MDPI and/or the editor(s) disclaim responsibility for any injury to people or property resulting from any ideas, methods, instructions or products referred to in the content. |
© 2023 by the authors. Licensee MDPI, Basel, Switzerland. This article is an open access article distributed under the terms and conditions of the Creative Commons Attribution (CC BY) license (https://creativecommons.org/licenses/by/4.0/).
Share and Cite
Mamontova, E.; Trabbia, C.; Favier, I.; Serrano-Maldonado, A.; Ledeuil, J.-B.; Madec, L.; Gómez, M.; Pla, D. Novel Catalyst Composites of Ni- and Co-Based Nanoparticles Supported on Inorganic Oxides for Fatty Acid Hydrogenations. Nanomaterials 2023, 13, 1435. https://doi.org/10.3390/nano13091435
Mamontova E, Trabbia C, Favier I, Serrano-Maldonado A, Ledeuil J-B, Madec L, Gómez M, Pla D. Novel Catalyst Composites of Ni- and Co-Based Nanoparticles Supported on Inorganic Oxides for Fatty Acid Hydrogenations. Nanomaterials. 2023; 13(9):1435. https://doi.org/10.3390/nano13091435
Chicago/Turabian StyleMamontova, Ekaterina, Corine Trabbia, Isabelle Favier, Alejandro Serrano-Maldonado, Jean-Bernard Ledeuil, Lénaïc Madec, Montserrat Gómez, and Daniel Pla. 2023. "Novel Catalyst Composites of Ni- and Co-Based Nanoparticles Supported on Inorganic Oxides for Fatty Acid Hydrogenations" Nanomaterials 13, no. 9: 1435. https://doi.org/10.3390/nano13091435
APA StyleMamontova, E., Trabbia, C., Favier, I., Serrano-Maldonado, A., Ledeuil, J.-B., Madec, L., Gómez, M., & Pla, D. (2023). Novel Catalyst Composites of Ni- and Co-Based Nanoparticles Supported on Inorganic Oxides for Fatty Acid Hydrogenations. Nanomaterials, 13(9), 1435. https://doi.org/10.3390/nano13091435

