Stability and Thermophysical Properties of GNP-Fe2O3 Hybrid Nanofluid: Effect of Volume Fraction and Temperature
Abstract
1. Introduction
2. Materials and Methods
3. Results and Discussion
3.1. Nanofluid Stability
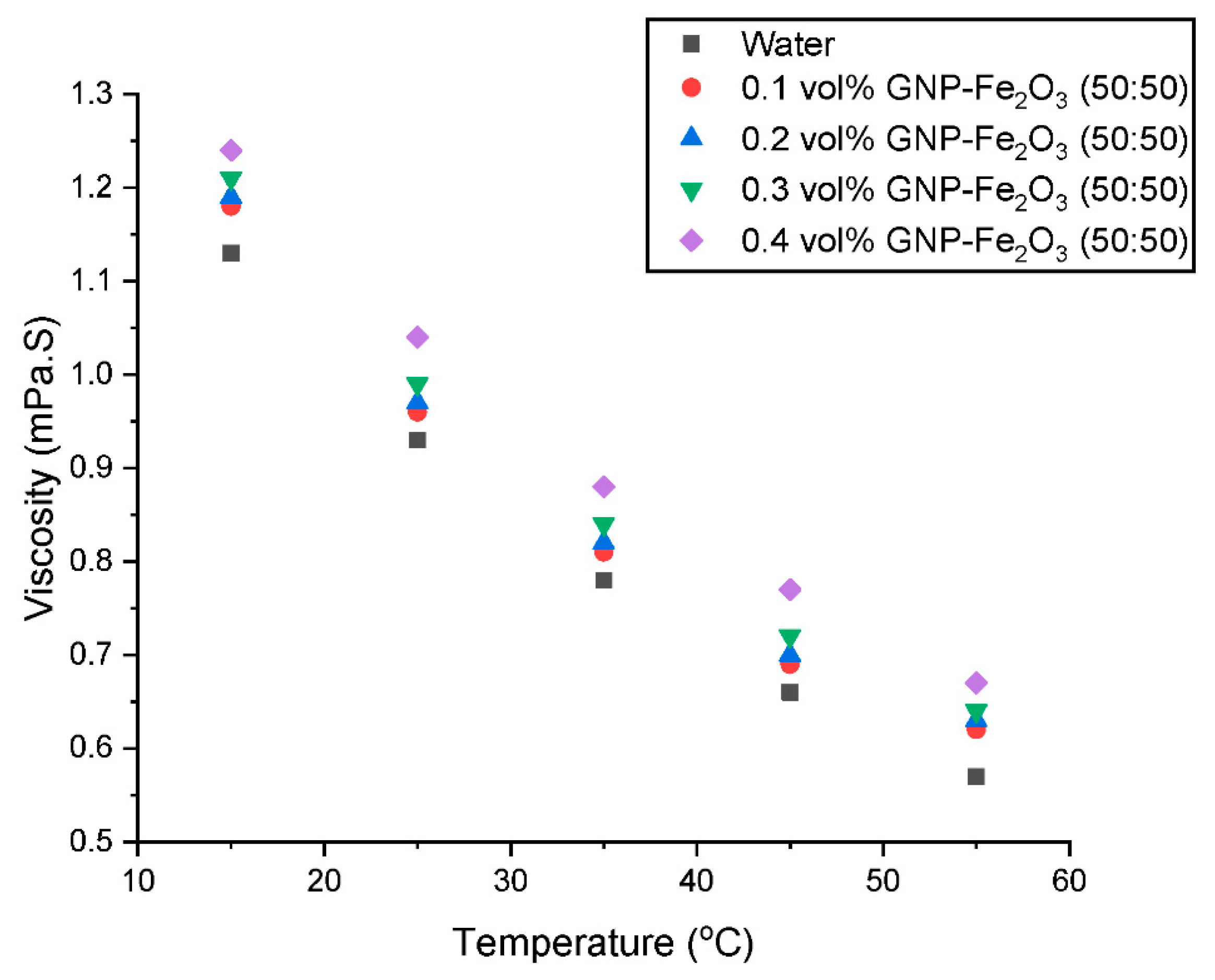
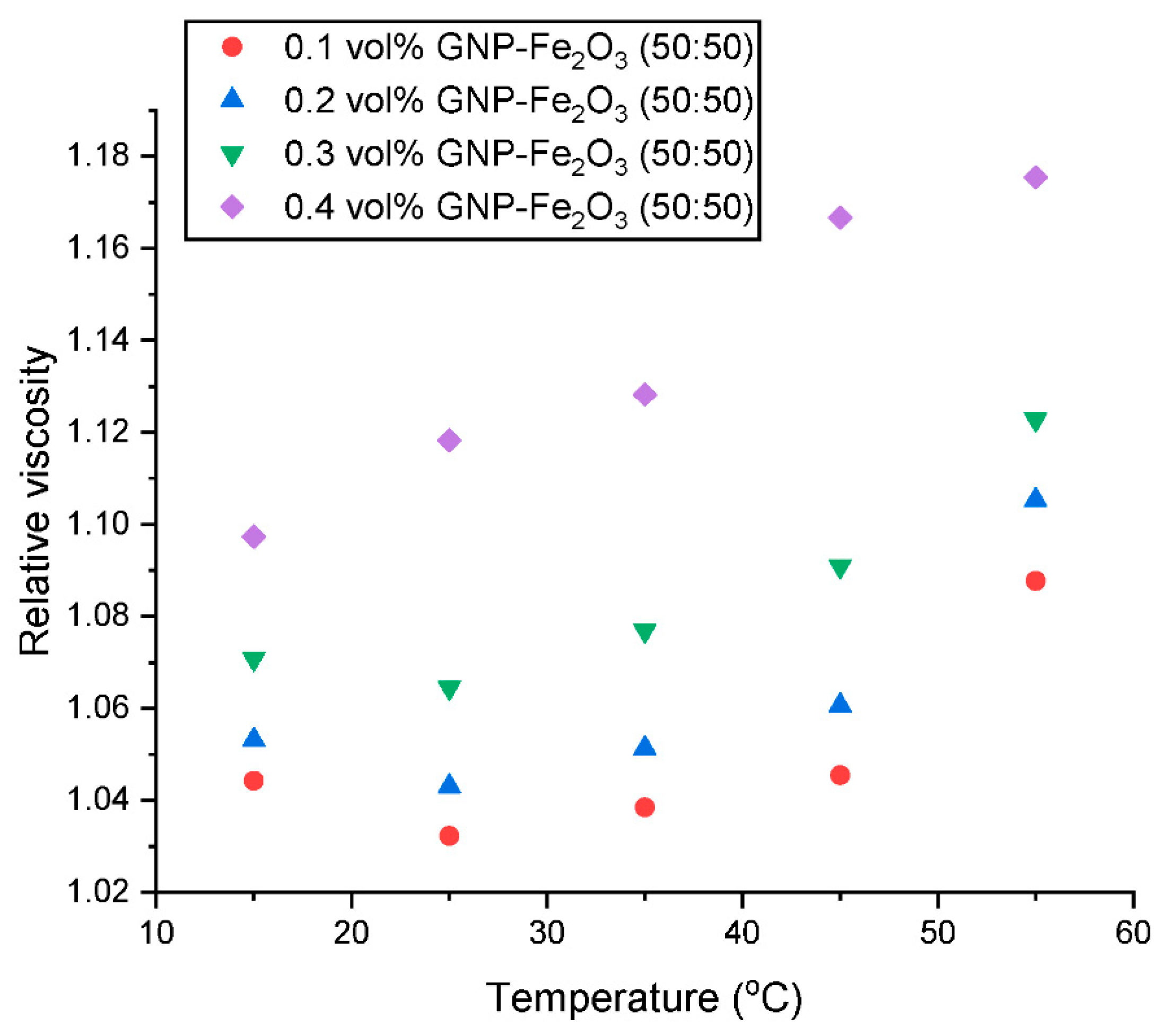
3.2. Viscosity
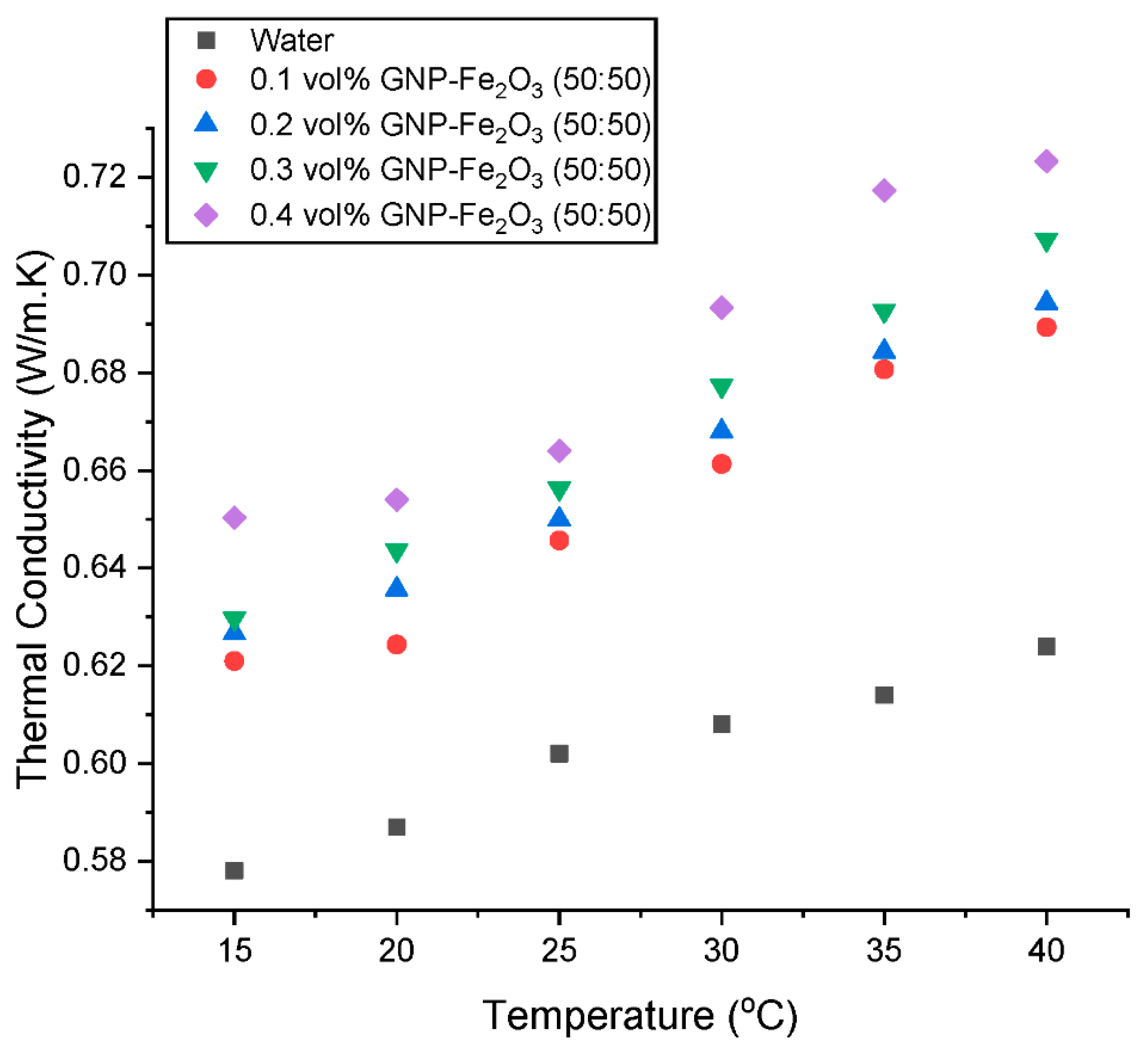
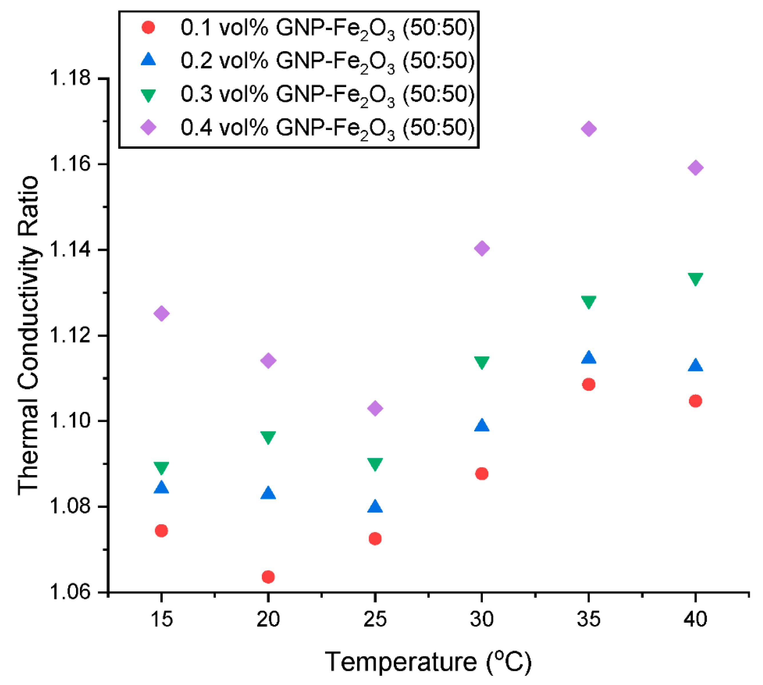
3.3. Thermal Conductivity
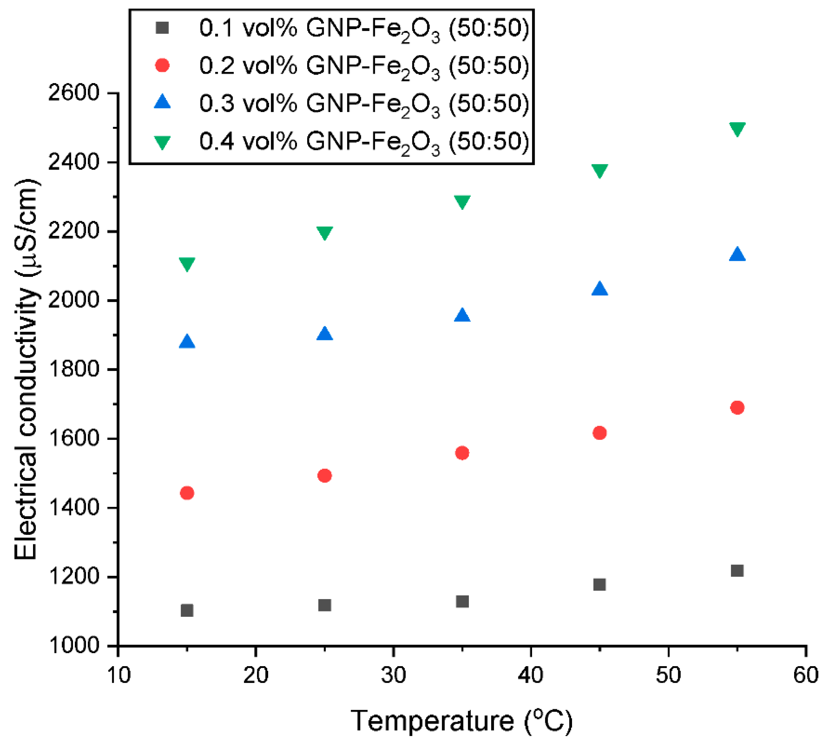
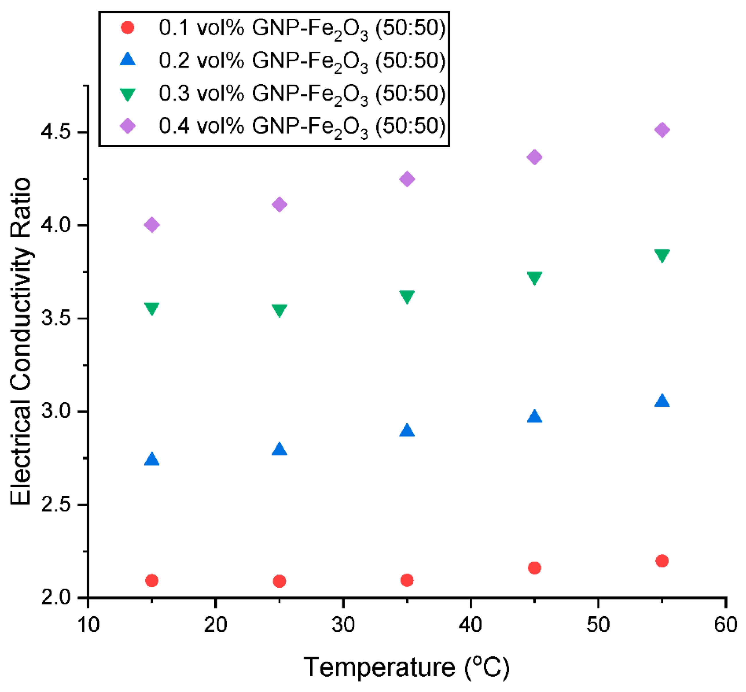
3.4. Electrical Conductivity
3.5. Heat Transfer Efficacy
3.6. Correlation
4. Conclusions
Author Contributions
Funding
Institutional Review Board Statement
Informed Consent Statement
Data Availability Statement
Acknowledgments
Conflicts of Interest
References
- Eastman, J.; Choi, U.S.; Li, S.; Thompson, L.J.; Lee, S. Enhanced Thermal Conductivity Through the Development of Nanofluids. MRS Online Proc. Libr. 1996, 457, 3. [Google Scholar] [CrossRef]
- Borode, A.O.; Ahmed, N.A.; Olubambi, P.A. A review of heat transfer application of carbon-based nanofluid in heat exchangers. Nano-Struct. Nano-Objects 2019, 20, 100394. [Google Scholar] [CrossRef]
- Elsheikh, A.H.H.; Sharshir, S.W.W.; Mostafa, M.E.; Essa, F.A.A.; Ali, M.K.A. Applications of nanofluids in solar energy: A review of recent advances. Renew. Sustain. Energy Rev. 2018, 82, 3483–3502. [Google Scholar] [CrossRef]
- Khanafer, K.; Vafai, K. A review on the applications of nanofluids in solar energy field. Renew. Energy 2018, 123, 398–406. [Google Scholar] [CrossRef]
- Ahmadi, A.; Ganji, D.D.; Jafarkazemi, F. Analysis of utilizing Graphene nanoplatelets to enhance thermal performance of flat plate solar collectors. Energy Convers. Manag. 2016, 126, 1–11. [Google Scholar] [CrossRef]
- Wang, Y.; Al-Saaidi, H.A.I.; Kong, M.; Alvarado, J.L. Thermophysical performance of graphene based aqueous nanofluids. Int. J. Heat Mass Transf. 2018, 119, 408–417. [Google Scholar] [CrossRef]
- Borode, A.O.; Ahmed, N.A.; Olubambi, P.A.; Sharifpur, M.; Meyer, J.P. Effect of Various Surfactants on the Viscosity, Thermal and Electrical Conductivity of Graphene Nanoplatelets Nanofluid. Int. J. Thermophys. 2021, 42, 158. [Google Scholar] [CrossRef]
- Selvam, C.; Lal, D.M.; Harish, S.; Lal, D.M.; Harish, S. Enhanced heat transfer performance of an automobile radiator with graphene based suspensions. Appl. Therm. Eng. 2017, 123, 50–60. [Google Scholar] [CrossRef]
- Osama, M.; Singh, A.; Walvekar, R.; Khalid, M.; Gupta, T.C.S.M.; Yin, W.W. Recent developments and performance review of metal working fluids. Tribol. Int. 2017, 114, 389–401. [Google Scholar] [CrossRef]
- Esfe, M.H.; Esfandeh, S.; Kamyab, M.H. History and introduction. In Hybrid Nanofluids for Convection Heat Transfer; ACM: New York, NY, USA, 2020; pp. 1–48. [Google Scholar] [CrossRef]
- Scott, T.O.; Ewim, D.R.E.; Eloka-Eboka, A.C. Hybrid nanofluids flow and heat transfer in cavities: A technological review. Int. J. Low-Carbon Technol. 2022, 17, 1104–1123. [Google Scholar] [CrossRef]
- Borode, A.O.; Ahmed, N.A.; Olubambi, P.A.; Sharifpur, M.; Meyer, J.P. Investigation of the Thermal Conductivity, Viscosity, and Thermal Performance of Graphene Nanoplatelet-Alumina Hybrid Nanofluid in a Differentially Heated Cavity. Front. Energy Res. 2021, 9, 737915. [Google Scholar] [CrossRef]
- Suresh, S.; Venkitaraj, K.P.; Selvakumar, P.; Chandrasekar, M. Synthesis of Al2O3-Cu/water hybrid nanofluids using two step method and its thermo physical properties. Colloids Surf. A Physicochem. Eng. Asp. 2011, 388, 41–48. [Google Scholar] [CrossRef]
- Wole-Osho, I.; Adun, H.; Adedeji, M.; Okonkwo, E.C.; Kavaz, D.; Dagbasi, M. Effect of hybrid nanofluids mixture ratio on the performance of a photovoltaic thermal collector. Int. J. Energy Res. 2020, 44, 9064–9081. [Google Scholar] [CrossRef]
- Giwa, S.O.; Sharifpur, M.; Ahmadi, M.H.; Murshed, S.M.S.; Meyer, J.P. Experimental Investigation on Stability, Viscosity, and Electrical Conductivity of Water-Based Hybrid Nanofluid of MWCNT-Fe2O3. Nanomaterials 2021, 11, 136. [Google Scholar] [CrossRef] [PubMed]
- Adun, H.; Kavaz, D.; Dagbasi, M.; Umar, H.; Wole-Osho, I. An experimental investigation of thermal conductivity and dynamic viscosity of Al2O3-ZnO-Fe3O4 ternary hybrid nanofluid and development of machine learning model. Powder Technol. 2021, 394, 1121–1140. [Google Scholar] [CrossRef]
- Esfe, M.H.; Amiri, M.K.; Alirezaie, A. Thermal conductivity of a hybrid nanofluid. J. Therm. Anal. Calorim. 2018, 134, 1113–1122. [Google Scholar] [CrossRef]
- Kakavandi, A.; Akbari, M. Experimental investigation of thermal conductivity of nanofluids containing of hybrid nanoparticles suspended in binary base fluids and propose a new correlation. Int. J. Heat Mass Transf. 2018, 124, 742–751. [Google Scholar] [CrossRef]
- Sajid, M.U.; Ali, H.M. Thermal conductivity of hybrid nanofluids: A critical review. Int. J. Heat Mass Transf. 2018, 126, 211–234. [Google Scholar] [CrossRef]
- Nasrin, R.; Hossain, S.; Zahan, I.; Ahmed, K.F.U.; Fayaz, H. Performance analysis of hybrid/single nanofluids on augmentation of heat transport in lid-driven undulated cavity. Heat Transf. 2020, 49, 4204–4225. [Google Scholar] [CrossRef]
- Colla, L.; Fedele, L.; Scattolini, M.; Bobbo, S. Water-Based Fe2O3 Nanofluid Characterization: Thermal Conductivity and Viscosity Measurements and Correlation. Adv. Mech. Eng. 2012, 4, 674947. [Google Scholar] [CrossRef]
- Krasia-Christoforou, T.; Socoliuc, V.; Knudsen, K.D.; Tombácz, E.; Turcu, R.; Vékás, L. From Single-Core Nanoparticles in Ferrofluids to Multi-Core Magnetic Nanocomposites: Assembly Strategies, Structure, and Magnetic Behavior. Nanomaterials 2020, 10, 2178. [Google Scholar] [CrossRef] [PubMed]
- Kumar, N.; Sonawane, S.S. Experimental study of Fe2O3/water and Fe2O3/ethylene glycol nanofluid heat transfer enhancement in a shell and tube heat exchanger. Int. Commun. Heat Mass Transf. 2016, 78, 277–284. [Google Scholar] [CrossRef]
- Guo, S.Z.; Li, Y.; Jiang, J.S.; Xie, H.Q. Nanofluids Containing γ-Fe2O3 Nanoparticles and Their Heat Transfer Enhancements. Nanoscale Res. Lett. 2010, 5, 1222–1227. [Google Scholar] [CrossRef] [PubMed]
- Syarif, D.G.; Prajitno, D.H.; Pane, J.S. Viscosity and CHF of water-γ-Fe2O3 nanofluids utilizing γ-Fe2O3 nanoparticles synthesized from local material using carbon reduction. AIP Conf. Proc. 2018, 1984, 020006. [Google Scholar] [CrossRef]
- Borode, A.O.; Ahmed, N.A.; Olubambi, P.A. Surfactant-aided dispersion of carbon nanomaterials in aqueous solution. Phys. Fluids 2019, 31, 071301. [Google Scholar] [CrossRef]
- Ilyas, S.U.; Pendyala, R.; Narahari, M. Stability and thermal analysis of MWCNT-thermal oil-based nanofluids. Colloids Surf. A Physicochem. Eng. Asp. 2017, 527, 11–22. [Google Scholar] [CrossRef]
- Devendiran, D.K.; Amirtham, V.A. A review on preparation, characterization, properties and applications of nanofluids. Renew. Sustain. Energy Rev. 2016, 60, 21–40. [Google Scholar] [CrossRef]
- Borode, A.; Ahmed, N.; Olubambi, P. A review of solar collectors using carbon-based nanofluids. J. Clean. Prod. 2019, 241, 118311. [Google Scholar] [CrossRef]
- Giwa, S.O.; Sharifpur, M.; Meyer, J.P. Experimental investigation into heat transfer performance of water-based magnetic hybrid nanofluids in a rectangular cavity exposed to magnetic excitation. Int. Commun. Heat Mass Transf. 2020, 116, 104698. [Google Scholar] [CrossRef]
- Khairul, M.A.; Shah, K.; Doroodchi, E.; Azizian, R.; Moghtaderi, B. Effects of surfactant on stability and thermo-physical properties of metal oxide nanofluids. Int. J. Heat Mass Transf. 2016, 98, 778–787. [Google Scholar] [CrossRef]
- Mukherjee, S.; Mishra, P.C.; Chaudhuri, P. Thermo-economic performance analysis of Al2O3-water nanofluids—An experimental investigation. J. Mol. Liq. 2019, 299, 112200. [Google Scholar] [CrossRef]
- Zhai, Y.; Li, L.; Wang, J.; Li, Z. Evaluation of surfactant on stability and thermal performance of Al2O3-ethylene glycol (EG) nanofluids. Powder Technol. 2018, 343, 215–224. [Google Scholar] [CrossRef]
- Abdolbaqi, M.K.; Azmi, W.H.; Mamat, R.; Sharma, K.V.; Najafi, G. Experimental investigation of thermal conductivity and electrical conductivity of BioGlycol–water mixture based Al2O3 nanofluid. Appl. Therm. Eng. 2016, 102, 932–941. [Google Scholar] [CrossRef]
- Saeedi, A.H.; Akbari, M.; Toghraie, D. An experimental study on rheological behavior of a nanofluid containing oxide nanoparticle and proposing a new correlation. Phys. E Low-Dimens. Syst. Nanostruct. 2018, 99, 285–293. [Google Scholar] [CrossRef]
- Giwa, S.O.; Sharifpur, M.; Meyer, J.P.; Wongwises, S.; Mahian, O. Experimental measurement of viscosity and electrical conductivity of water-based γ-Al2O3/MWCNT hybrid nanofluids with various particle mass ratios. J. Therm. Anal. Calorim. 2020, 143, 1037–1050. [Google Scholar] [CrossRef]


















| Property | Equation | R | R2 | RSME |
|---|---|---|---|---|
| µrelative | 0.91999 | 0.8464 | 0.015968 | |
| λratio | 0.91291 | 0.8334 | 0.010666 | |
| σratio | 0.99596 | 0.9919 | 0.072709 |
Disclaimer/Publisher’s Note: The statements, opinions and data contained in all publications are solely those of the individual author(s) and contributor(s) and not of MDPI and/or the editor(s). MDPI and/or the editor(s) disclaim responsibility for any injury to people or property resulting from any ideas, methods, instructions or products referred to in the content. |
© 2023 by the authors. Licensee MDPI, Basel, Switzerland. This article is an open access article distributed under the terms and conditions of the Creative Commons Attribution (CC BY) license (https://creativecommons.org/licenses/by/4.0/).
Share and Cite
Borode, A.; Tshephe, T.; Olubambi, P.; Sharifpur, M.; Meyer, J. Stability and Thermophysical Properties of GNP-Fe2O3 Hybrid Nanofluid: Effect of Volume Fraction and Temperature. Nanomaterials 2023, 13, 1238. https://doi.org/10.3390/nano13071238
Borode A, Tshephe T, Olubambi P, Sharifpur M, Meyer J. Stability and Thermophysical Properties of GNP-Fe2O3 Hybrid Nanofluid: Effect of Volume Fraction and Temperature. Nanomaterials. 2023; 13(7):1238. https://doi.org/10.3390/nano13071238
Chicago/Turabian StyleBorode, Adeola, Thato Tshephe, Peter Olubambi, Mohsen Sharifpur, and Josua Meyer. 2023. "Stability and Thermophysical Properties of GNP-Fe2O3 Hybrid Nanofluid: Effect of Volume Fraction and Temperature" Nanomaterials 13, no. 7: 1238. https://doi.org/10.3390/nano13071238
APA StyleBorode, A., Tshephe, T., Olubambi, P., Sharifpur, M., & Meyer, J. (2023). Stability and Thermophysical Properties of GNP-Fe2O3 Hybrid Nanofluid: Effect of Volume Fraction and Temperature. Nanomaterials, 13(7), 1238. https://doi.org/10.3390/nano13071238

