All-Silicon Photoelectric Biosensor on Chip Based on Silicon Nitride Waveguide with Low Loss
Abstract
1. Introduction
2. System Design and Device Structure
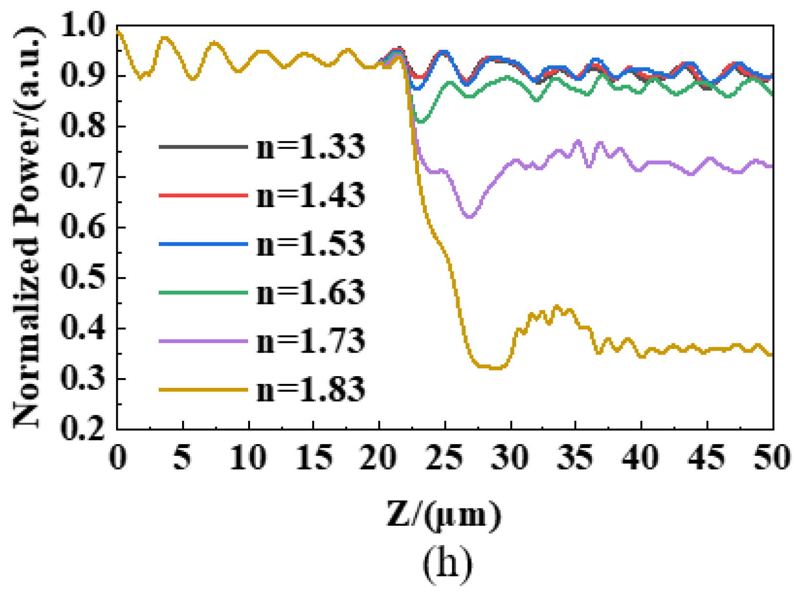
3. Results and Discussion
4. Conclusions
Author Contributions
Funding
Conflicts of Interest
References
- Gavela, A.F.; García, D.G.; Ramirez, J.C.; Lechuga, L.M. Last Advances in Silicon-Based Optical Biosensors. Sensors 2016, 16, 285. [Google Scholar] [CrossRef]
- Dastgeer, G.; Shahzad, Z.M.; Chae, H.; Kim, Y.H.; Ko, B.M.; Eom, J. Bipolar Junction Transistor Exhibiting Excellent Output Characteristics with a Prompt Response against the Selective Protein. Adv. Funct. Mater. 2022, 32, 38. [Google Scholar] [CrossRef]
- Dastgeer, G.; Afzal, A.; Jaffery, S.; Imran, M.; Assiri, M.; Nisar, S. Gate modulation of the spin current in gra-phene/WSe2 van der Waals heterostructure at room temperature. J. Alloy. Compd. 2022, 919, 165815. [Google Scholar] [CrossRef]
- Mignani, A.G.; Baldini, F. Biomedical sensors using optical fibres. Rep. Prog. Phys. 1996, 59, 1–28. [Google Scholar] [CrossRef]
- Correia, R.; James, S.W.; Lee, S.-W.; Morgan, S.P.; Korposh, S. Biomedical application of optical fibre sensors. J. Opt. 2018, 20, 073003. [Google Scholar] [CrossRef]
- Pospíšilová, M.; Kuncová, G.; Trögl, J. Fiber-Optic Chemical Sensors and Fiber-Optic Bio-Sensors. Sensors 2015, 15, 25208–25259. [Google Scholar] [CrossRef] [PubMed]
- Wang, X.; Wolfbeis, O. Fiber-optic chemical sensors and biosensors. Anal. Chem. 2016, 88, 203–227. [Google Scholar] [CrossRef]
- Krupin, O.; Wong, W.R.; Beland, P.; Adikan, F.R.M.; Berini, P. Long-Range Surface Plasmon-Polariton Waveguide Bi-osensors for Disease Detection. J. Light. Technol. 2016, 34, 4673–4681. [Google Scholar] [CrossRef]
- Wu, B.; Lu, Y.; Hao, C.; Duan, L.; Musideke, M.; Yao, J. A photonic crystal fiber sensor based on differential optical absorption spectroscopy for mixed gases detection. Optik 2014, 125, 2909–2911. [Google Scholar] [CrossRef]
- Bahrami, F.; Maisonneuve, M.; Meunier, M.; Aitchison, J.S.; Mojahedi, M. An improved refractive index sensor based on genetic optimization of plasmon waveguide resonance. Opt. Express 2013, 21, 20863–20872. [Google Scholar] [CrossRef]
- Sudarsono, S.; Yudoyono, G.; Prajitno, G.; Sunarno, H.; Rohedi, A.Y.; Indarto, B.; Pramono, Y.H. Detection of salinity in the process of heating seawater by using a directional coupler of the multimode plastic optical fiber with a plane mirror as a reflector. J. Opt. 2020, 49, 48–52. [Google Scholar] [CrossRef]
- Liu, Q.; Gu, Z.; Park, M.; Chung, J. Experimental demonstration of highly sensitive optical sensor based on grat-ing-assisted light coupling between strip and slot waveguides. Opt. Express 2016, 24, 12549. [Google Scholar] [CrossRef] [PubMed]
- Guan, X.; Wang, X.; Frandsen, L.H. Optical temperature sensor with enhanced sensitivity by employing hybrid waveguides in a silicon Mach-Zehnder interferometer. Opt. Express 2016, 24, 16349–16356. [Google Scholar] [CrossRef] [PubMed]
- Okhai, T.A.; Snyman, L.W.; Polleux, J.-L. Wavelength dispersion characteristics of integrated silicon avalanche LEDs: Potential applications in futuristic on-chip micro- and nano-biosensors. SPIE 2017, 10036, 26–47. [Google Scholar] [CrossRef]
- Okhai, T.A.; Snyman, L.W.; Polleux, J.-L. Wavelength dispersion phenomena observed for emitted optical radiation from a p+nn+ silicon avalanche mode light-emitting device in a radio frequency bipolar-integrated circuitry. Opt. Eng. 2019, 58, 017104. [Google Scholar] [CrossRef]
- Okhai, T.; Snyman, L. Realizing micro-and nano-optical biosensors on chip. Proc. SPIE 2019, 11043, 1104308. [Google Scholar]
- Zhang, J.; Luo, C.; Zhao, Z. Design and Application of Integrated Optics Sensor for Measurement of Intense Pulsed Electric Field. J. Light. Technol. 2019, 37, 1440–1448. [Google Scholar] [CrossRef]
- Xu, K.; Chen, Y.; Okhai, T.A.; Snyman, L.W. Micro optical sensors based on avalanching silicon light-emitting devices monolithically integrated on chips. Opt. Mater. Express 2019, 9, 3985–3997. [Google Scholar] [CrossRef]
- Chaudhuri, R.; Song, Y.; Seo, S. Heterogeneously integrated optical detection platform for on-chip sensing applica-tions. J. Opt. 2015, 17, 105804. [Google Scholar] [CrossRef]
- Xu, K.; Huang, L.; Zhang, Z.; Zhao, J.; Zhang, Z.; Snyman, L.W.; Swart, J.W. Light emission from a poly-silicon device with carrier injection engineering. Mater. Sci. Eng. B 2018, 231, 28–31. [Google Scholar] [CrossRef]
- Badri, S.H.; Gilarlue, M. Coupling Si3N4 waveguide to SOI waveguide using transformation optics. Opt. Commun. 2019, 460, 125089. [Google Scholar] [CrossRef]
- Guo, W.; Ding, H.; Zhou, P.; Wang, Y.; Su, B. Electrochemiluminescence Waveguide in Single Crystalline Molecular Wires. Angew. Chem. Int. Ed. 2020, 59, 6745–6749. [Google Scholar] [CrossRef]
- Xu, L.; Liu, N.; Zhou, S.; Zhang, L.; Li, J. Dual-spectroscopy technique based on quartz crystal tuning fork detector. Sens. Actuators A: Phys. 2020, 304, 111873. [Google Scholar] [CrossRef]
- Bai, R.; Zhang, C.; Liu, Z.; Chen, X.; Chen, H. Electric field effects on organic photovoltaic heterojunction in-terfaces: The model case of pentacene/C60. J. Theor. Comput. Chem. 2020, 1186, 112914. [Google Scholar] [CrossRef]
- Yamada, S.; Shirayanagi, Y.; Narihara, T.; Kumada, M.; Porponth, S.; Ichikawa, Y.; Miyajima, S.; Konagai, M. Photovoltaic effect in Si/SiO2 superlattice microdisk array solar cell structure. Superlattices Microstruct. 2020, 145, 106640. [Google Scholar] [CrossRef]
- Zheng, Z.; Luo, Q.; Xu, K.; Liu, Z.; Zhu, K. All-silicon PIN photodetector based on black silicon microstructure. Opto-Electron. Eng. 2021, 48, 200364. [Google Scholar]
- Song, F.; Xiao, J.; Xie, A.J.; Seo, S.-W. A polymer waveguide grating sensor integrated with a thin-film photodetector. J. Opt. 2013, 16, 015503. [Google Scholar] [CrossRef] [PubMed]
- Wang, Z. Research progress of silicon nitride ceramic. Mater. Sci. Technol. 2009, 17, 155–158. [Google Scholar]
- Fan, Z.; Chen, Z.; Zhou, X.; He, X.; Jiang, S.; Dong, J. Recent advances in silicon nitride-based photonic devices and applications. Chin. Opt. 2021, 14, 0998–1018. [Google Scholar]
- Tang, Y.; Liu, H. Study of Goos-Hanchen displacement and evanescent wave’s depth penetration based on the polarization. Basic Sci. J. Text. Univ. 2003, 16, 320–322. [Google Scholar]
- Lou, J.; Xu, H.-Z.; Xu, B.; Huang, J.; Li, B.-C.; Shen, W.-M. Fiber-optic evanescent wave sensor with a segmented structure. Appl. Opt. 2014, 53, 4200–4205. [Google Scholar] [CrossRef] [PubMed]
- Kishore, P.; Dinakar, D.; Rao, P.V.; Srimannarayana, K. Study the effect of fiber-dia on the alongside dual-plastic optical fiber vibration sensor. J. Opt. 2015, 44, 128–135. [Google Scholar] [CrossRef]
- Ai, K.; Cheng, J.; Zhu, K.; Wu, K.; Liu, Z.; Liu, Z.; Zhao, J.; Huang, L.; Xu, K. Design and realization of a novel poly-silicon light-emitting device based on standard CMOS technology. Chin. J. Lasers 2020, 47, 0701027. [Google Scholar]
- Xu, K.; Li, G.P. A Three-Terminal Silicon-PMOSFET-Like Light-Emitting Device (LED) for Optical Intensity Modulation. IEEE Photon- J. 2012, 4, 2159–2168. [Google Scholar] [CrossRef]
- Huang, B.; Zhang, X.; Wang, W.; Dong, Z.; Guan, N.; Zhang, Z.; Chen, H. CMOS monolithic optoelectronic integrated circuit for on-chip optical interconnection. Opt. Commun. 2011, 284, 3924–3927. [Google Scholar] [CrossRef]
- Zhang, H.; Zhou, C.; Fan, D.; Zhou, A.; Zhao, Y. Fiber cavity ring-down refractive index sensing method based on frequency-shifted interferometry. Laser Optoelectron. Prog. 2019, 56, 170627. [Google Scholar] [CrossRef]
- Wu, D.; Huang, W.; Wang, G.-Y.; Fu, J.-Y.; Chen, Y.-Y. In-line fiber Fabry–Perot refractive index tip sensor based on photonic crystal fiber and spectrum differential integration method. Opt. Commun. 2014, 313, 270–275. [Google Scholar] [CrossRef]
- Zhang, J.; Sun, H.; Wang, R.; Su, D.; Guo, T.; Feng, Z.; Hu, M.; Qiao, X. Simultaneous Measurement of Refractive Index and Temperature Using a Michelson Fiber Interferometer With a Hi-Bi Fiber Probe. IEEE Sens. J. 2013, 13, 2061–2065. [Google Scholar] [CrossRef]










| Type | ηQ | ηW | Driving Voltage | Driving Current | References |
|---|---|---|---|---|---|
| MOS_like | 1.47 × 10−7 | 8.03 × 10−9 | 42 V | 55 mA | [34] |
| Si_LED | \ | 2.4 × 10−8 | 9.8 V | 130 mA | [35] |
| Cascade | 5.78 × 10−5 | 5.4 × 10−6 | 20 V | 20 mA | This work |
| Wavelength | Si3N4 | SiO2 | Detection Range | Refractive Index |
|---|---|---|---|---|
| n1(Core) | n2(Clad) | (TL = −3 dB) | ||
| 550 nm | 2.033 | 1.46 | n > 1.47 | n = 1.78 |
| 580 nm | 2.029 | 1.459 | n > 1.53 | n = 1.79 |
| 620 nm | 2.024 | 1.457 | n > 1.55 | n = 1.77 |
| 680 nm | 2.018 | 1.456 | n > 1.46 | n = 1.79 |
| 770 nm | 2.012 | 1.454 | n > 1.52 | n = 1.77 |
| Average | \ | \ | n > 1.52 | n = 1.78 |
| Wavelength | Sensitivity | ||
|---|---|---|---|
| n < 1.63 | 1.63 < n < 1.73 | 1.73 < n < 1.83 | |
| 550 nm | 1.14 dB/RIU | 9.80 dB/RIU | 31.39 dB/RIU |
| 580 nm | 1.38 dB/RIU | 7.57 dB/RIU | 34.47 dB/RIU |
| 620 nm | 0.71 dB/RIU | 13.73 dB/RIU | 34.48 dB/RIU |
| 680 nm | 2.62 dB/RIU | 7.98 dB/RIU | 31.35 dB/RIU |
| 770 nm | 1.57 dB/RIU | 14.82 dB/RIU | 24.42 dB/RIU |
| Average | 1.26 dB/RIU | 10.68 dB/RIU | 31.26 dB/RIU |
Disclaimer/Publisher’s Note: The statements, opinions and data contained in all publications are solely those of the individual author(s) and contributor(s) and not of MDPI and/or the editor(s). MDPI and/or the editor(s) disclaim responsibility for any injury to people or property resulting from any ideas, methods, instructions or products referred to in the content. |
© 2023 by the authors. Licensee MDPI, Basel, Switzerland. This article is an open access article distributed under the terms and conditions of the Creative Commons Attribution (CC BY) license (https://creativecommons.org/licenses/by/4.0/).
Share and Cite
Tang, Y.; Luo, Q.; Chen, Y.; Xu, K. All-Silicon Photoelectric Biosensor on Chip Based on Silicon Nitride Waveguide with Low Loss. Nanomaterials 2023, 13, 914. https://doi.org/10.3390/nano13050914
Tang Y, Luo Q, Chen Y, Xu K. All-Silicon Photoelectric Biosensor on Chip Based on Silicon Nitride Waveguide with Low Loss. Nanomaterials. 2023; 13(5):914. https://doi.org/10.3390/nano13050914
Chicago/Turabian StyleTang, Yu, Qian Luo, Yuxing Chen, and Kaikai Xu. 2023. "All-Silicon Photoelectric Biosensor on Chip Based on Silicon Nitride Waveguide with Low Loss" Nanomaterials 13, no. 5: 914. https://doi.org/10.3390/nano13050914
APA StyleTang, Y., Luo, Q., Chen, Y., & Xu, K. (2023). All-Silicon Photoelectric Biosensor on Chip Based on Silicon Nitride Waveguide with Low Loss. Nanomaterials, 13(5), 914. https://doi.org/10.3390/nano13050914
