Ag Catalysts Supported on CeO2, MnO2 and CeMnOx Mixed Oxides for Selective Catalytic Reduction of NO by C3H6
Abstract
1. Introduction
2. Materials and Methods
2.1. Preparation of the Supports
2.2. Preparation of Supported Ag Catalysts
2.3. Aging of Supported Ag Catalysts
2.4. Characterization
2.4.1. X-ray Fluorescence Analysis
2.4.2. Low-Temperature Nitrogen Adsorption/Desorption
2.4.3. XRD
2.4.4. Raman Spectroscopy
2.4.5. TEM and EDX
2.4.6. XPS
2.5. Activity Tests in C3H6-SCR of NO
3. Results and Discussion
3.1. Chemical Composition and Textural Characteristics of the Samples
3.2. Phase Composition and Structural Characteristics of Samples
3.2.1. CeO2 and Ag/CeO2 Samples
3.2.2. MnOx and Ag/MnOx Samples
3.2.3. CeMnOx and Ag/CeMnOx Samples
3.3. Surface Composition of the SUPPORTEd Ag Catalysts
3.3.1. Oxidation States of Cerium and Manganese
3.3.2. Oxidation State of Silver
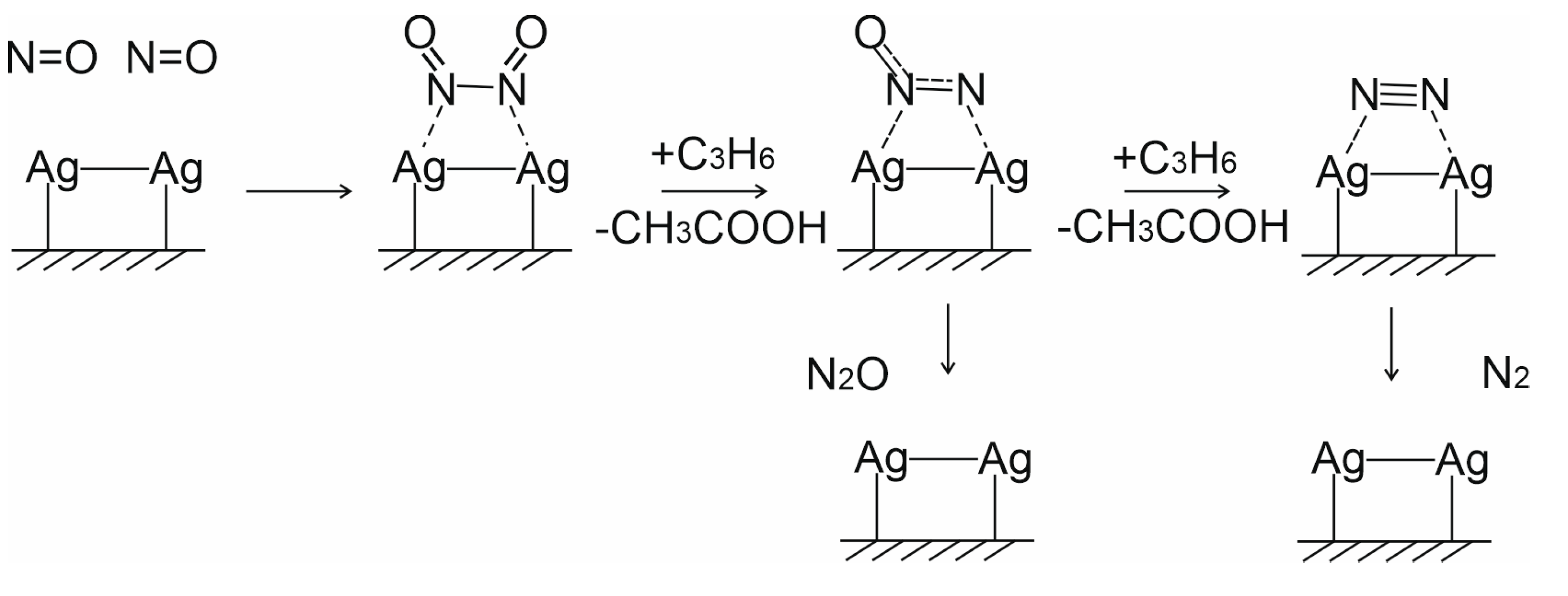
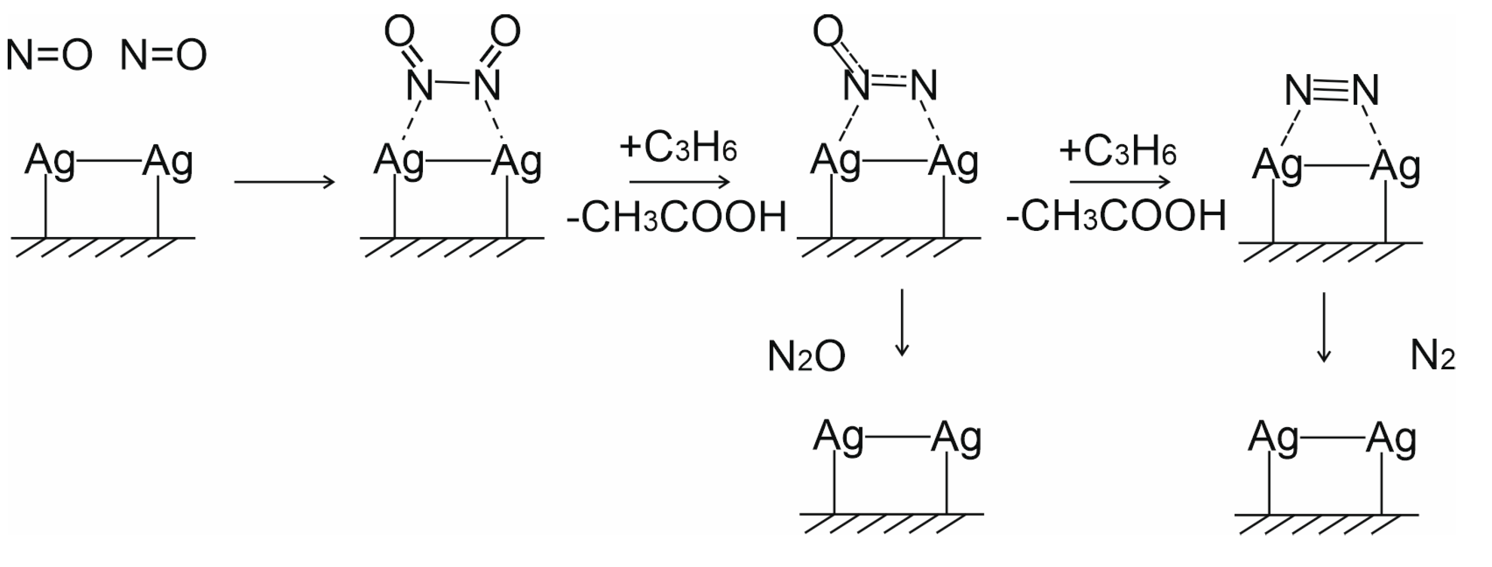
3.4. Catalytic Performance
4. Conclusions
Supplementary Materials
Author Contributions
Funding
Data Availability Statement
Acknowledgments
Conflicts of Interest
References
- Boretti, A. Advantages and Disadvantages of Diesel Single and Dual-Fuel Engines. Front. Mech. Eng. 2019, 5, 64. [Google Scholar] [CrossRef]
- Reşitoʇlu, I.A.; Altinişik, K.; Keskin, A. The pollutant emissions from diesel-engine vehicles and exhaust aftertreatment systems. Clean Technol. Environ. Policy 2015, 17, 15–27. [Google Scholar] [CrossRef]
- Salaev, M.A.; Kulchakovskaya, E.V.; Liotta, L.F.; Vodyankina, O.V. Bimetallic Ag-based catalysts for low-temperature SCR: Quo vadis? Appl. Catal. A 2022, 644, 118815. [Google Scholar] [CrossRef]
- Rodríguez-Fernández, J.; Tsolakis, A.; Ahmadinejad, M.; Sitshebo, S. Investigation of the deactivation of a NOx-reducing hydrocarbon-selective catalytic reduction (HC-SCR) catalyst by thermogravimetric analysis: Effect of the fuel and prototype catalyst. Energy Fuels 2010, 24, 992–1000. [Google Scholar] [CrossRef]
- Mrad, R.; Aissat, A.; Cousin, R.; Courcot, D.; Siffert, S. Catalysts for NOx selective catalytic reduction by hydrocarbons (HC-SCR). Appl. Catal. A 2015, 504, 542–548. [Google Scholar] [CrossRef]
- Gómez-García, M.A.; Pitchon, V.; Kiennemann, A. Pollution by nitrogen oxides: An approach to NOx abatement by using sorbing catalytic materials. Environ. Int. 2005, 31, 445–467. [Google Scholar] [CrossRef]
- Worch, D.; Suprun, W.; Gläser, R. Supported transition metal-oxide catalysts for HC-SCR DeNOx with propene. Catal. Today 2011, 176, 309–313. [Google Scholar] [CrossRef]
- Napolitano, P.; Liotta, L.F.; Guido, C.; Tornatore, C.; Pantaleo, G.; La Parola, V.; Beatrice, C. Insights of Selective Catalytic Reduction Technology for Nitrogen Oxides Control in Marine Engine Applications. Catalysts 2022, 12, 1191. [Google Scholar] [CrossRef]
- Liu, W.; Long, Y.; Zhou, Y.; Liu, S.; Tong, X.; Yin, Y.; Li, X.; Hu, K.; Hu, J. Excellent low temperature NH3-SCR and NH3-SCO performance over Ag-Mn/Ce-Ti catalyst: Evaluation and characterization. Mol. Catal. 2022, 528, 112510. [Google Scholar] [CrossRef]
- Xu, J.; Qin, Y.; Wang, H.; Guo, F.; Xie, J. Recent advances in copper-based zeolite catalysts with low-temperature activity for the selective catalytic reduction of NOx with hydrocarbons. New J. Chem. 2020, 44, 817–831. [Google Scholar] [CrossRef]
- Miyadera, T. Alumina-supported silver catalysts for the selective reduction of nitric oxide with propene and oxygen-containing organic compounds. Appl. Catal. B 1993, 2, 199–205. [Google Scholar] [CrossRef]
- Zhang, X.W.; Su, Y.a.-X.; Cheng, J.H.; Lin, R.; Wen, N.N.; Deng, W.Y.; Zhou, H. Effect of Ag on deNOx performance of SCR-C3H6 over Fe/Al-PILC catalysts. J. Fuel Chem. Technol. 2019, 47, 1368–1378. [Google Scholar] [CrossRef]
- Grabchenko, M.V.; Mamontov, G.V.; Zaikovskii, V.I.; Parola VLa Liotta, L.F.; Vodyankina, O.V. The role of metal–support interaction in Ag/CeO2 catalysts for CO and soot oxidation. Appl. Catal. B 2019, 260, 118148. [Google Scholar] [CrossRef]
- Cao, F.; Xiang, J.; Su, S.; Wang, P.; Hu, S.; Sun, L. Ag modified Mn-Ce/γ-Al2O3 catalyst for selective catalytic reduction of NO with NH3 at low-temperature. Fuel Process. Technol. 2015, 135, 66–72. [Google Scholar] [CrossRef]
- Meunier, F.C.; Breen, J.P.; Zuzaniuk, V.; Olsson, M.; Ross, J.R.H. Mechanistic aspects of the selective reduction of NO by propene over alumina and silver-alumina catalysts. J. Catal. 1999, 187, 493–505. [Google Scholar] [CrossRef]
- Kannisto, H.; Ingelsten, H.H.; Skoglundh, M. Ag-Al2O3 catalysts for lean NOx reduction –Influence of preparation method and reductant. J. Mol. Catal. A Chem. 2009, 302, 86–96. [Google Scholar] [CrossRef]
- Andreoli, S.; Deorsola, F.A.; Pirone, R. MnOx-CeO2 catalysts synthesized by solution combustion synthesis for the low-temperature NH3-SCR. Catal. Today 2015, 253, 199–206. [Google Scholar] [CrossRef]
- Sun, H.; Park, S.J. Recent advances in MnOx/CeO2-based ternary composites for selective catalytic reduction of NOx by NH3: A review. Catalysts 2021, 11, 1519. [Google Scholar] [CrossRef]
- Ma, Y.; Mu, B.; Yuan, D.; Zhang, H.; Xu, H. Design of MnO2/CeO2-MnO2 hierarchical binary oxides for elemental mercury removal from coal-fired flue gas. J. Hazard. Mater. 2017, 333, 186–193. [Google Scholar] [CrossRef]
- Campbell, C.T.; Peden, C.H.F. Oxygen vacancies and catalysis on ceria surfaces. Science 2005, 309, 713–714. [Google Scholar] [CrossRef]
- Kašpar, J.; Fornasiero, P.; Graziani, M. Use of CeO2-based oxides in the three-way catalysis. Catal. Today 1999, 50, 285–298. [Google Scholar] [CrossRef]
- Peña, D.A.; Uphade, B.S.; Smirniotis, P.G. TiO2-supported metal oxide catalysts for low-temperature selective catalytic reduction of NO with NH3: I. Evaluation and characterization of first row transition metals. J. Catal. 2004, 221, 421–431. [Google Scholar] [CrossRef]
- Kapteijn, F.; Singoredjo, L.; Andreini, A.; Moulijn, J.A. Activity and selectivity of pure manganese oxides in the selective catalytic reduction of nitric oxide with ammonia. Appl. Catal. B 1994, 3, 173–189. [Google Scholar] [CrossRef]
- Consentino, L.; Pantaleo, G.; La Parola, V.; Migliore, C.; La Greca, E.; Liotta, L.F. NH3-NO SCR catalysts for engine exhaust gases abatement: Replacement of toxic V2O5 with MnOx to improve the environmental sustainability. Top. Catal. 2022. [Google Scholar] [CrossRef]
- Tang, X.; Zhang, Y.; Lei, Y.; Liu, Y.; Yi, H.; Gao, F. Promotional catalytic activity and reaction mechanism of Ag-modified Ce0.6Zr0.4O2 catalyst for catalytic oxidation of ammonia. J. Environ. Sci. 2023, 124, 491–504. [Google Scholar] [CrossRef]
- Ni, P.; Wang, X.; Li, H. A review on regulations, current status, effects and reduction strategies of emissions for marine diesel engines. Fuel 2020, 279, 118477. [Google Scholar] [CrossRef]
- Duan, J.; Zhao, L.; Gao, S.; Li, X. New aspects on a low-medium temperature mechanism of H2-assisted C3H6-SCR over xAg-CeZr catalyst. Fuel 2021, 305, 121574. [Google Scholar] [CrossRef]
- Zhou, W.; Shao, Z.; Jin, W. Synthesis of nanocrystalline conducting composite oxides based on a non-ion selective combined complexing process for functional applications. J. Alloys Compd. 2006, 426, 368–374. [Google Scholar] [CrossRef]
- Zhao, M.; Cai, W.; Li, J. Preparation and reaction mechanism of novel CexCoyCuz oxide composite catalysts towards oxidation of o-xylene. J. Rare Earths 2022, 40, 1573–1583. [Google Scholar] [CrossRef]
- Grabchenko, M.V.; Dorofeeva, N.V.; Lapin, I.N.; La Parola, V.; Liotta, L.F.; Vodyankina, O.V. Study of Nickel Catalysts Supported on MnOx–CeO2 Mixed Oxides in Dry Reforming of Methane. Kinet. Catal. 2021, 62, 765–777. [Google Scholar] [CrossRef]
- Atabak Asadi, A.; Behrouzifar, A.; Mohammadi, T.; Pak, A. Effects of Nano Powder Synthesis Methods, Shaping and Sintering Conditions on Microstructure and Oxygen Permeation of La0.6Sr0.4Co0.2Fe0.8O3-d (LSCF) Perovskite-type Membranes. High Temp. Mater. Proc. 2012, 31, 47–59. [Google Scholar] [CrossRef]
- Bugrova, T.A.; Kharlamova, T.S.; Svetlichnyi, V.A.; Savel’eva, A.S.; Salaev, M.A.; Mamontov, G.V. Insights into formation of Pt species in Pt/CeO2 catalysts: Effect of treatment conditions and metal-support interaction. Catal. Today 2021, 375, 36–47. [Google Scholar] [CrossRef]
- Kibis, L.S.; Svintsitskiy, D.A.; Kardash, T.Y.; Slavinskaya, E.M.; Gotovtseva, E.Y.; Svetlichnyi, V.A.; Boronin, A.I. Interface interactions and CO oxidation activity of Ag/CeO2 catalysts: A new approach using model catalytic systems. Appl. Catal. A 2019, 570, 51–61. [Google Scholar] [CrossRef]
- Kibis, L.; Simanenko, A.; Stadnichenko, A.; Zaikovskii, V.; Boronin, A. Probing of Pd4+ Species in a PdOx–CeO2 System by X-Ray Photoelectron Spectroscopy. J. Phys. Chem. C 2021, 125, 20845–20854. [Google Scholar] [CrossRef]
- Moulder, J.; Stickle, W.; Sobol, P.; Bombe, K.D. Handbook of X-ray Photoelectron Spectroscopy; Perkin-Elmer Corp.: Eden Prairie, MN, USA, 1992; 261p. [Google Scholar]
- Thommes, M.; Kaneko, K.; Neimark, A.V.; Olivier, J.P.; Rodriguez-Reinoso, F.; Rouquerol, J.; Sing, K.S.W. Physisorption of gases, with special reference to the evaluation of surface area and pore size distribution (IUPAC Technical Report). Pure Appl. Chem. 2015, 87, 1051–1069. [Google Scholar] [CrossRef]
- Taniguchi, T.; Watanabe, T.; Sugiyama, N.; Subramani, A.K.; Wagata, H.; Matsushita, N.; Yoshimura, M. Identifying defects in ceria-based nanocrystals by UV resonance Raman spectroscopy. J. Phys. Chem. C 2009, 113, 19789–19793. [Google Scholar] [CrossRef]
- Derevyannikova, E.A.; Kardash, T.Y.; Stadnichenko, A.I.; Stonkus, O.A.; Slavinskaya, E.M.; Svetlichnyi, V.A.; Boronin, A.I. Structural Insight into Strong Pt–CeO2 Interaction: From Single Pt Atoms to PtOx Clusters. J. Phys. Chem. C 2019, 123, 1320–1334. [Google Scholar] [CrossRef]
- Schilling, C.; Hofmann, A.; Hess, C.; Ganduglia-Pirovano, M.V. Raman Spectra of Polycrystalline CeO2: A Density Functional Theory Study. J. Phys. Chem. C 2017, 121, 20834–20849. [Google Scholar] [CrossRef]
- Schilling, C.; Ganduglia-Pirovano, M.V.; Hess, C. Experimental and Theoretical Study on the Nature of Adsorbed Oxygen Species on Shaped Ceria Nanoparticles. J. Phys. Chem. Lett. 2018, 9, 6593–6598. [Google Scholar] [CrossRef]
- Yang, X.; Wang, X.; Zhang, G.; Zheng, J.; Wang, T.; Liu, X.; Shu, C.; Jiang, L.; Wang, C. Enhanced electrocatalytic performance for methanol oxidation of Pt nanoparticles on Mn3O4-modified multi-walled carbon nanotubes. Int. J. Hydrogen Energy 2012, 37, 11167–11175. [Google Scholar] [CrossRef]
- Larbi, T.; Doll, K.; Manoubi, T. Density functional theory study of ferromagnetically and ferrimagnetically ordered spinel oxide Mn3O4. A quantum mechanical simulation of their IR and Raman spectra. J. Alloys Compd. 2016, 688, 692–698. [Google Scholar] [CrossRef]
- Gao, T.; Fjellvåg, H.; Norby, P. A comparison study on Raman scattering properties of α- and β-MnO2. Anal. Chim. Acta 2019, 648, 235–239. [Google Scholar] [CrossRef] [PubMed]
- Julien, C.M.; Massot, M.; Poinsignon, C. Lattice vibrations of manganese oxides. Part I. Periodic structures. Spectrochim. Acta A 2004, 60, 689–700. [Google Scholar] [CrossRef] [PubMed]
- Gao, T.; Norby, P.; Krumeich, F.; Okamoto, H.; Nesper, R.; Fjellvåg, H. Synthesis and properties of layered-structured Mn5O8 nanorods. J. Phys. Chem. C 2009, 114, 922–928. [Google Scholar] [CrossRef]
- Aghbolaghy, M.; Soltan, J.; Chen, N. Role of Surface Carboxylates in the Gas Phase Ozone-Assisted Catalytic Oxidation of Toluene. Catal. Lett. 2017, 147, 2421–2433. [Google Scholar] [CrossRef]
- Shim, S.-H.; LaBounty, D.; Duffy, T.S. Raman spectra of bixbyite, Mn2O3, up to 40 GPa. Phys. Chem. Miner. 2011, 38, 685–691. [Google Scholar] [CrossRef]
- Huang, H.; Liu, J.; Sun, P.; Ye, S.; Liu, B. Effects of Mn-doped ceria oxygen-storage material on oxidation activity of diesel soot. RSC Adv. 2017, 7, 7406. [Google Scholar] [CrossRef]
- Murugan, B.; Ramaswamy, A.V. Nature of Manganese Species in Ce1-xMnxO2-ä Solid Solutions Synthesized by the Solution Combustion Route. Chem. Mater. 2005, 17, 3983–3993. [Google Scholar] [CrossRef]
- Wang, H.; Luo, S.; Zhang, M.; Liu, W.; Wu, X.; Liu, S. Roles of oxygen vacancy and O in oxidation reactions over CeO2 and Ag/CeO2 nanorod model catalysts. J. Catal. 2018, 368, 365–378. [Google Scholar] [CrossRef]
- Chang, S.; Li, M.; Hua, Q.; Zhang, L.; Ma, Y.; Ye, B.; Huang, W. Shape-dependent interplay between oxygen vacancies and Ag–CeO2 interaction in Ag/CeO2 catalysts and their influence on the catalytic activity. J. Catal. 2012, 293, 195–204. [Google Scholar] [CrossRef]
- Romeo, M.; Bak, K.; El Fallah, J.; Le Normand, F.; Hilaire, L. XPS Study of the reduction of cerium dioxide. Surf. Interface Anal. 1993, 20, 508–512. [Google Scholar] [CrossRef]
- Chigane, M.; Ishikawa, M. Manganese Oxide Thin Film Preparation by Potentiostatic Electrolyses and Electrochromism. J. Electrochem. Soc. 2000, 147, 2246. [Google Scholar] [CrossRef]
- Lei, K.; Han, X.; Hu, Y.; Liu, X.; Cong, L.; Cheng, F.; Chen, J. Chemical etching of manganese oxides for electrocatalytic oxygen reduction reaction. Chem. Commun. 2015, 51, 11599–11602. [Google Scholar] [CrossRef] [PubMed]
- Fujiwara, M.; Matsushita, T.; Ikeda, S. Evaluation of Mn3s X-ray photoelectron spectroscopy for characterization of manganese complexes. J. Electron Spectros. Relat. Phenom. 1995, 74, 201–206. [Google Scholar] [CrossRef]
- Waterhouse, G.I.N.; Bowmaker, G.A.; Metson, J.B. Oxidation of a polycrystalline silver foil by reaction with ozone. Appl. Surf. Sci. 2001, 183, 191–204. [Google Scholar] [CrossRef]
- Tjeng, L.H.; Meinders, M.B.J.; van Elp, J.; Ghijsen, J.; Sawatzky, G.A.; Johnson, R.L. Electronic structure of Ag2O. Phys. Rev. B 1990, 41, 3190–3199. [Google Scholar] [CrossRef] [PubMed]
- Wang, J.; You, R.; Qian, K.; Pan, Y.; Yang, J.; Huang, W. Effect of the modification of alumina supports with chloride on the structure and catalytic performance of Ag/Al2O3 catalysts for the selective catalytic reduction of NOx with propene and H2/propene. Chin. J. Catal. 2021, 42, 2242–2253. [Google Scholar] [CrossRef]
- Breen, J.P.; Burch, R. A review of the effect of the addition of hydrogen in the selective catalytic reduction of NOx with hydrocarbons on silver catalysts. Top. Catal. 2006, 39, 53–58. [Google Scholar] [CrossRef]
- Sazama, P.; Čapek, L.; Drobná, H.; Sobalík, Z.; Dědeček, J.; Arve, K.; Wichterlová, B. Enhancement of decane-SCR-NOx over Ag/alumina by hydrogen. Reaction kinetics and in situ FTIR and UV-vis study. J. Catal. 2005, 232, 302–317. [Google Scholar] [CrossRef]
- Matulis, V.E.; Ragoyja, E.G.; Ivashkevich, O.A.; Lyakhov, D.A.; Michels, D. DFT Study of NO Reduction Process on Ag/γ-Al2O3 Catalyst: Some Aspects of Mechanism and Catalyst Structure. J. Phys. Chem. C 2020, 125, 419–426. [Google Scholar] [CrossRef]














| Sample | Content, wt.% | Atomic Ratio, XRF/XPS | |||||
|---|---|---|---|---|---|---|---|
| Ag | Ce | Mn | Ce/Mn | Ag/Ce | Ag/Mn | Ag/(Ce+Mn) | |
| Ag/CeO2 | 1.0 | 80.6 | - | - | 0.016/0.019 | - | - |
| Ag/CeMnOx | 1.2 | 58.4 | 20.4 | 1.1/1.2 | 0.027/0.027 | 0.030/0.033 | 0.014/0.015 |
| Ag/MnOx | 1.3 | - | 72.7 | - | - | 0.009/0.022 | - |
| Sample | SSA, m2/g | V, cm3/g | Phase Composition | Structural Parameters | DXRD, nm | ||||
|---|---|---|---|---|---|---|---|---|---|
| Phase | wt.% | S.G. | Symmetry | a, Å | c, Å | ||||
| CeO2 | 40 | 0.14 | fluorite | 100 | Fm-3m | cubic | 5.405 | - | 13 |
| Ag/CeO2 | 34 | 0.13 | fluorite | 100 | Fm-3m | cubic | 5.405 | - | 15 |
| MnOx | 14 | 0.12 | Mn2O3 | 25 | Ia-3 | cubic | 9.402 | - | 61 |
| Mn3O4 | 75 | I41/amd | tetragonal | 5.758 | 9.457 | 33 | |||
| Ag/MnOx | 12 | 0.12 | Mn2O3 | 76 | Ia-3 | cubic | 9.403 | - | 52 |
| Mn3O4 | 24 | I41/amd | tetragonal | 5.755 | 9.466 | n.a. | |||
| CeMnOx | 51 | 0.22 | fluorite | 100 | Fm-3m | cubic | 5.406 | - | 7 |
| Ag/CeMnOx | 47 | 0.22 | fluorite | 100 | Fm-3m | cubic | 5.413 | - | 7 |
| Sample | Ag3d5/2, eV | AgM4N4.5N4.5, eV | α’, eV | AgMNN/Ag3d |
|---|---|---|---|---|
| Ag/Ce | 368.0 | 355.5 | 723.5 | 0.76 |
| Ag/Mn | 368.1 | 356.7 | 724.8 | 0.64 |
| Ag/CeMn | 367.6 | 356.1 | 723.7 | 0.57 |
| Catalyst | Reaction Conditions | NO Reduction Efficiency | Ref. | ||||||
|---|---|---|---|---|---|---|---|---|---|
| NO, ppm | O2, vol.% | C3H6, vol.% | H2, vol.% | WHSV, mL g−1 h−1 | X(NO), % | S(N2), % | Y(N2), % | ||
| 1%Ag/CeMnOx | 1000 | 10 | 3600 | 2.9 | 25,000 | 44 | 91 | 40 | This work |
| 1%Ag/CeMnOx | 1000 | 10 | 3600 | - | 25,000 | 46 | 86 | 40 | This work |
| 1%Ag/CeMnOx (aged) | 1000 | 10 | 3600 | - | 25,000 | 44 | 90 | 40 | This work |
| 1%Ag/CeZrOx | 700 | 3 | 700 | 0.5 | 45,000 | 80 | 60 | 48 | [28] |
| 1%Ag/CeZrOx | 700 | 3 | 700 | - | 45,000 | 50 | 30 | 15 | [28] |
Disclaimer/Publisher’s Note: The statements, opinions and data contained in all publications are solely those of the individual author(s) and contributor(s) and not of MDPI and/or the editor(s). MDPI and/or the editor(s) disclaim responsibility for any injury to people or property resulting from any ideas, methods, instructions or products referred to in the content. |
© 2023 by the authors. Licensee MDPI, Basel, Switzerland. This article is an open access article distributed under the terms and conditions of the Creative Commons Attribution (CC BY) license (https://creativecommons.org/licenses/by/4.0/).
Share and Cite
La Greca, E.; Kharlamova, T.S.; Grabchenko, M.V.; Consentino, L.; Savenko, D.Y.; Pantaleo, G.; Kibis, L.S.; Stonkus, O.A.; Vodyankina, O.V.; Liotta, L.F. Ag Catalysts Supported on CeO2, MnO2 and CeMnOx Mixed Oxides for Selective Catalytic Reduction of NO by C3H6. Nanomaterials 2023, 13, 873. https://doi.org/10.3390/nano13050873
La Greca E, Kharlamova TS, Grabchenko MV, Consentino L, Savenko DY, Pantaleo G, Kibis LS, Stonkus OA, Vodyankina OV, Liotta LF. Ag Catalysts Supported on CeO2, MnO2 and CeMnOx Mixed Oxides for Selective Catalytic Reduction of NO by C3H6. Nanomaterials. 2023; 13(5):873. https://doi.org/10.3390/nano13050873
Chicago/Turabian StyleLa Greca, Eleonora, Tamara S. Kharlamova, Maria V. Grabchenko, Luca Consentino, Daria Yu Savenko, Giuseppe Pantaleo, Lidiya S. Kibis, Olga A. Stonkus, Olga V. Vodyankina, and Leonarda Francesca Liotta. 2023. "Ag Catalysts Supported on CeO2, MnO2 and CeMnOx Mixed Oxides for Selective Catalytic Reduction of NO by C3H6" Nanomaterials 13, no. 5: 873. https://doi.org/10.3390/nano13050873
APA StyleLa Greca, E., Kharlamova, T. S., Grabchenko, M. V., Consentino, L., Savenko, D. Y., Pantaleo, G., Kibis, L. S., Stonkus, O. A., Vodyankina, O. V., & Liotta, L. F. (2023). Ag Catalysts Supported on CeO2, MnO2 and CeMnOx Mixed Oxides for Selective Catalytic Reduction of NO by C3H6. Nanomaterials, 13(5), 873. https://doi.org/10.3390/nano13050873

