Abstract
In this paper, we propose an optically controlling broadband terahertz modulator of a layer-dependent PtSe2 nanofilm based on a high-resistance silicon substrate. Through optical pump and terahertz probe system, the results show that compared with 6-, 10-, and 20-layer films, a 3-layer PtSe2 nanofilm has better surface photoconductivity in the terahertz band and has a higher plasma frequency ωp of 0.23 THz and a lower scattering time τs of 70 fs by Drude–Smith fitting. By the terahertz time-domain spectroscopy system, the broadband amplitude modulation of a 3-layer PtSe2 film in the range of 0.1–1.6 THz was obtained, and the modulation depth reached 50.9% at a pump density of 2.5 W/cm2. This work proves that PtSe2 nanofilm devices are suitable for terahertz modulators.
1. Introduction
Being the transition zone between electronics and photonics, terahertz (THz) waves have unique and fascinating properties that attract extensive research. It has been applied in a variety of fields such as security [1], biological nondestructive testing [2], and communication [3,4]. At the same time, terahertz devices such as modulators [5,6], absorbers [7,8], detectors [9], and so on have also been developed. Among them, the terahertz modulator, an active device for controlling terahertz propagation, is an important device in the field of 6G communication [10] and has become a research trend.
Different types of modulators have been reported in previous studies, mainly based on structures and materials. On the one hand, the structures designed for terahertz modulators are photonic crystals [11,12,13], artificial electromagnetic materials [14,15], ultrasurface microstructures [16,17], and so on. This kind of the device is characterized by accurate design and high-precision etching; but it also has the limitations of having a narrow working band, high processing accuracy, and limited optional materials, and once formed, it cannot be changed. On the other hand, the materials for terahertz modulators can be selected from organic materials [18,19], semiconductors [20,21], polymers [22], and two-dimensional materials [5,6,23,24]. Among them, the application of two-dimensional materials in terahertz modulators is an emerging research hotspot, which has rapidly developed in recent years. Two-dimensional material modulators can use not only their own properties, such as anisotropy and near-zero band gap, to carry out passive modulation but also active field to realize the active modulation of devices [15,25]. Moreover, optical controlling is more widely used in terahertz modulators than electrical controlling because of its faster modulation speed.
One needs to find the material with high carrier mobility, short carrier relaxation time, and significant surface conductivity for the modulator [26,27]. As novel transition metal dichalcogenide (TMDCs) materials, PtSe2 and its parental compounds such as PtTe2, PdTe2, and NiTe2 have been widely studied by researchers for their unique energy band structure and novel physical properties [28,29,30,31]. However, PtSe2 stands out due to its unique properties of having high carrier mobility, an adjustable band gap of 0–1.2 eV, and fast response characteristics [32,33,34]. Although it has been demonstrated that PtSe2 films can be used as high-efficiency terahertz modulators through the properties of the materials as mentioned by Alka Jakhar [35], how the photoconductivity properties of PtSe2 films affects the modulation depth still has not been verified.
In this paper, an optically controlling broadband terahertz modulator of layer-dependent PtSe2 nanofilms based on a high-resistance silicon substrate is proposed. By the terahertz time-domain spectroscopy (THz-TDS) system and optical pump and terahertz probe (OPTP) experimental setup, the optical modulation and photoconductivity characteristics of different PtSe2 films, respectively, are investigated.
2. Sample Characterization
PtSe2 films with different layers of 3L, 6L, 10L, and 20L were grown on a sapphire substrate by chemical vapor deposition (CVD) and then transferred to a high-resistance silicon substrate (resistivity > 10,000 Ω cm, 450 μm thickness) with a size of about 1cm×1cm for the study of optical modulation characteristics. On the other hand, the samples used in the OPTP experiment, Raman spectra, and UV–visible spectra for studying the photoconductivity characteristics and characterization of different layers of PtSe2 films are based on a sapphire substrate. When we measured the band gap of PtSe2 films, another sapphire substrate without a PtSe2 film is required as a control to minimize its influence.
By using a Horiba Jobin Yvon LabRAM HR Evolution spectrometer, the Raman spectra of PtSe2 films with different layers are shown in Figure 1a. The two Raman peaks Eg and A1g resulting from intralayer in-plane vibration and out-of-plane vibration of Se atoms are observed at near 180 cm−1 and 208 cm−1, respectively, which is consistent with previous research results [36,37]. One can also see that the peak positions of both Eg and A1g modes have a certain red shift as the layer numbers increase, and the intensity of the Eg mode is higher than that of the A1g mode. It indicates that the long-distance Coulomb interaction dominates the atomic vibration and structure changes caused by the superposition of PtSe2 films [32]. In addition, the absorption spectra of the PtSe2 films were measured by a UV–visible spectrophotometer. The relationship between the absorption coefficient and band gap of PtSe2 films with 3L, 6L, 10L, and 20L can be obtained by the Tauc plot method as shown in Figure 1b, and the corresponding band gaps of PtSe2 films with a different layer are 0.98 eV, 0.78 eV, 0.48 eV, and 0 eV, respectively. It shows that the 20L PtSe2 film is a semimetal, just like a bulk material, which is in good agreement with previous reports [32,36,38]. Therefore, in order to explore the modulation performance of this thickness-dependent material, we need to study further its surface conductivity characteristics.
Figure 1.
(a) Raman spectra of PtSe2 films with different layers; in the illustration, the yellow circle is Se atom, the green circle is Pt atom, and the arrows indicate the direction of atoms’ motion. (b) Relationship between absorption coefficient and band gap of PtSe2 films with different layers.
3. Results and Discussion
The OPTP and THz-TDS systems in Ref. [36] were used to measure the carrier dynamics of the sample. In order to achieve the optimal modulation performance, the pump laser is obliquely incident to the surface of the material, and the pump spot is larger than the terahertz spot. In the OPTP system, the spot diameter of the terahertz beam is about 8 mm, and the diameter of the pump beam for the femtosecond lasers is about 1 cm. By the OPTP system, the peak electric field intensity of the transmission terahertz wave E0 for the PtSe2 film is obtained without excitation light. Furthermore, there exists a change of the transmission terahertz peak electric field intensity ΔE when the optical wave excites the sample, where ΔE = E − E0, with E representing the peak electric field intensity of the terahertz wave with excitation light. The relative change of −ΔE/E0 with the detection time delay is measured for PtSe2 films with different layers, as shown in Figure 2. One can obtain that the relaxation times of 3L, 6L, 10L, and 20L PtSe2 films at a pump power of 150 mW are 1.98 ± 0.14 ps, 2.28 ± 0.03 ps, 1.61 ± 0.02 ps, and 1.45 ± 0.02 ps, respectively. The relaxation time of carriers in multilayer materials is short. Because the density of defect states in materials increases with the increase in film thickness, the excitons are more easily captured by the defect states of materials. Thus, the recombination velocity of the carriers is increased. However, the thinner the PtSe2 films, the longer the relaxation time. This is because the defect state density of a few-layer PtSe2 film is small, which is not enough to capture all the photogenerated excitons [39]. In addition, the remaining excitons in the conduction band relax to the bottom of the conduction band at a faster recombination time constant in a few-layer PtSe2 film.
Figure 2.
Normalized terahertz transmission change (−ΔE/E0) induced by the pump power of 150 mW in (a) 3L PtSe2 film; (b) 6L PtSe2 film; (c) 10L PtSe2 film; and (d) 20L PtSe2 film.
In Figure 2, the normalized relative field intensity change of −ΔE/E0 for different PtSe2 films induced by the same pump density manifests a single exponential decay. It can be seen that the relative field intensity change with the detection time delay shows a rapid increase and follows by attenuation. This is due to the fact that after the femtosecond laser pulse is incident on the sample, the photogenerated electrons and holes can firstly generate excitons. Then, the excitons are captured by the defect states in the material or recombined in the form of Auger exciton–exciton annihilation. This process typically takes a few picoseconds to generate. Therefore, the relaxation process can be fitted by the convolution of a single exponential function. The formula is given as follows [40]:
where A1 is a constant, t is the delay time of excitation light, and t1 is the carrier relaxation time.
The conductivity Δσ(ω) is extracted from the measured ΔE/E0 data by changing the delay time t between the pump and terahertz probe waves. The change of conductivity with frequency is shown as [41]
where ns is the substrate refractive index, Z0 is the free space impedance, and ΔEt(ω) = Et(ω) − E(ω), with Et(ω) and E(ω) being the transmission spectral amplitude of the sample with and without the excitation delayed by t, respectively. Moreover, ΔEt(ω)/E(ω) refers to the change value of the terahertz amplitude after the material is excited by pump light, which is obtained from Equation (1).
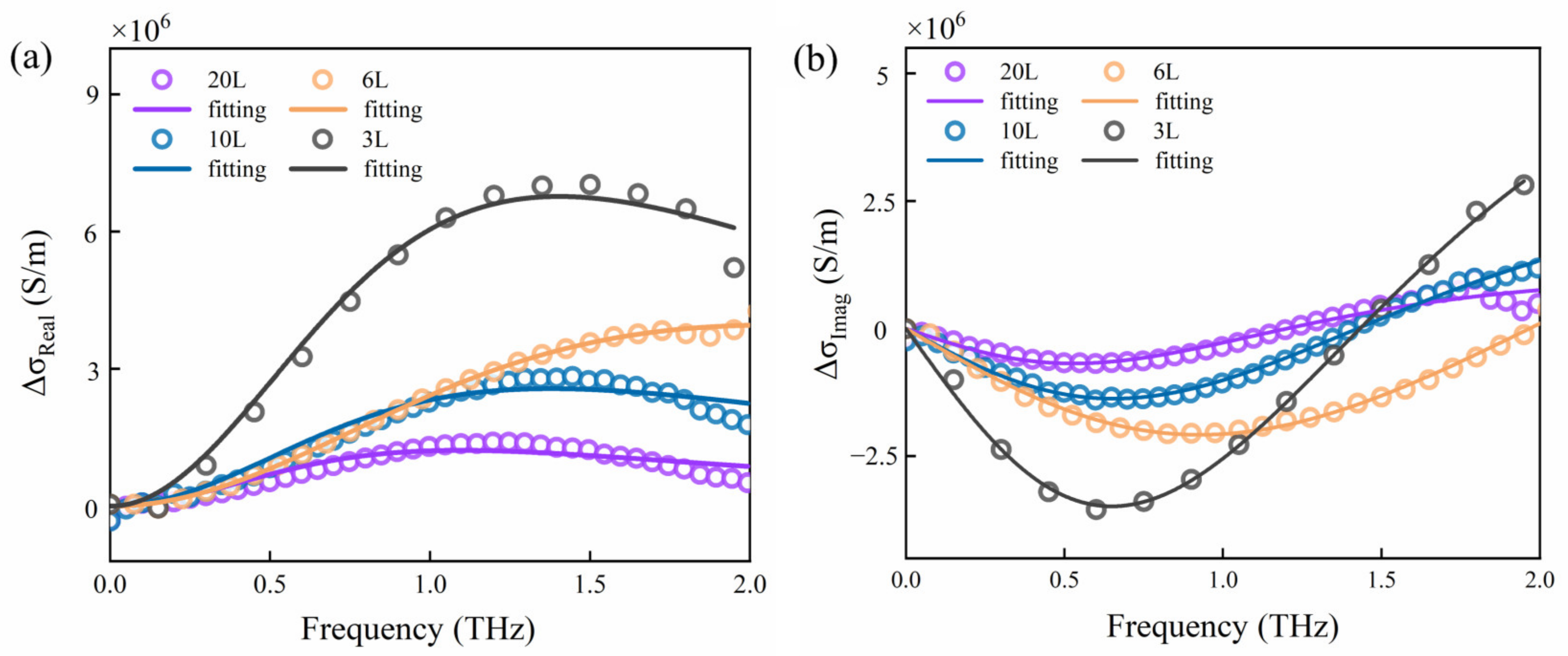
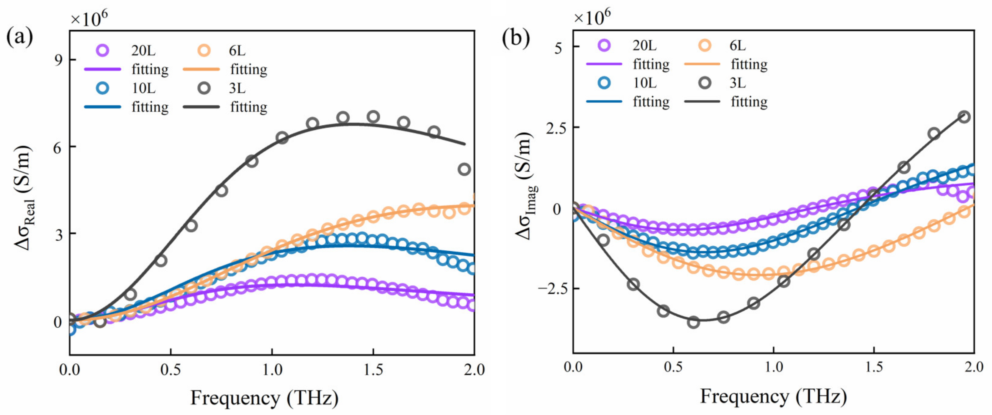
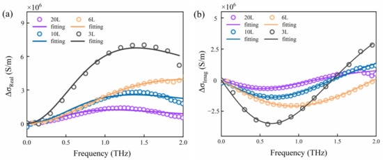
Based on Equation (2), Figure 3 shows the real and imaginary part data values of the photo-induced conductivity change of PtSe2 films, where the hollow circles and solid line are the experimental and fitting curves, respectively, of the complex conductivity by the Drude–Smith (DS) model. It clearly shows that the peak values of the real part of the photo-induced conductivity change for 3L, 6L, 10L, and 20L PtSe2 films are about 7 × 106 S/m, 4 × 106 S/m, 3 × 106 S/m, and 1.5 × 106 S/m, respectively. One can obtain that the thinner the layers of the material, the higher the change value of the photo-induced conductivity, which means the surface photoconductivity of the material is better. The transient response to photo-excitation can be explained by the Drude–Smith model [42] and is described as
where ε0, ωp, τs, and c represent the vacuum dielectric constant, plasma frequency, scattering time, and degree of localization and backscattering of carriers in the film, respectively. Based on the simulation data of the above equation in Figure 3, the Drude–Smith fitting parameters of the different layers of PtSe2 films are shown in Table 1. Furthermore, ωp is proportional to the concentration of the photocarrier of the material, indicating that the 3L PtSe2 film has a higher number of photogenerated carriers and better surface conductivity characteristics than other layers. The scattering time τs is 70 fs, and the constant c is close to -1, indicating that the backscattering process is dominant in the PtSe2 film. Through experiments, it is found that the 3L PtSe2 film has larger conductivity change value ΔσReal and larger plasma frequency ωp. Therefore, the 3L PtSe2 film has excellent surface photoconductivity and is more suitable for a terahertz modulator.
Figure 3.
Changes in photo-induced conductivity Δσ of PtSe2 films with different layers. (a) Real part; (b) imaginary part.
Table 1.
Drude–Smith fitting parameters of different layers of PtSe2 films.
In addition, the terahertz modulation properties of 3L and 6L PtSe2 devices on high-resistance silicon substrates were also measured by THz-TDS. A continuous-wave laser with a wavelength of 1064 nm was used as the optical pump source. Figure 4 shows the transmission terahertz signals in 3L and 6L PtSe2 devices under a different pump power density, where the same color represents an identical pump condition for a different-layer PtSe2 device. Moreover, the solid and dashed lines represent 3L and 6L PtSe2 devices, respectively. The photogenerated carriers in PtSe2 devices are generated by pump light excitation, which can absorb terahertz waves and result in a reduction in amplitude in the time domain. With the increase in the incident laser power density from 0 W/cm2 to 2.5 W/cm2, the electric field amplitude of the sample shows a continuous declination, and the terahertz modulation effect can be clearly observed.
Figure 4.
Time-domain transmission terahertz signals of PtSe2 devices at different pump power density, where solid and dashed lines represent 3L and 6L PtSe2 devices, respectively.
Modulation depth (MD), modulation bandwidth, and modulation rate are used to evaluate the performance of a terahertz modulator, where MD is defined as [40]
where Tp and T0 represent the transmittance of the sample in the corresponding frequency spectra after Fourier transform with and without optical pump, respectively.
Figure 5a shows the MD of 3L and 6L PtSe2 devices at different pump power density. The relationship between the normalized terahertz transmittance and pump power density for the two samples is shown in Figure 5b. The experimental results show that the modulation depth increases with the increase in the pump power density. At a pump power density of 2.5 W/cm2, the maximum MD of 3L and 6L PtSe2 devices can reach 50.9% and 47.1%, respectively. As shown in Figure 3, Figure 5 further verifies that the 3L PtSe2 device has better modulation effect. As the conductivity of the material increases, it will absorb more terahertz waves, which is shown as a decrease in the terahertz amplitude. After the device is excited, more photocarriers are generated in the high-resistance silicon due to the different thickness. Due to the charge gradient, the electrons generated in the silicon are transferred to the side of the PtSe2 films. The carrier mobility of PtSe2 is much higher than that of silicon, and its corresponding carrier relaxation time is shorter than that of silicon, which leads to a larger change in the conductivity of the modulator, thus achieving the effect of modulation enhancement.
Figure 5.
(a) Modulation depths of 3L and 6L PtSe2 devices at different pump power density. (b) Normalized transmittance signals at different pump power density of 3L and 6L PtSe2 devices.
4. Conclusions
The OPTP and TDS systems are used to measure the changes of surface photoconductivity, relaxation time, and modulation performance of PtSe2 devices with different layers. The material with fewer layers has better surface conductivity, and its change of the photo-induced conductivity is more helpful to change the modulation depth of the material than other layers. The relaxation times of 3L, 6L, 10L, and 20L PtSe2 films are 1.98 ± 0.14 ps, 2.28 ± 0.03 ps, 1.61 ± 0.02 ps, and 1.45 ± 0.02 ps, respectively, and the plasma frequencies ωp fitted by the DS model are 0.23 THz, 0.21 THz, 0.17 THz, and 0.15 THz, respectively. For 3L PtSe2 devices, the MD can reach 50.9%. Our research work shows that few-layer PtSe2 is a more efficient terahertz modulation material.
Author Contributions
Conceptualization, H.S.; methodology, Z.Z. and H.S.; software, Z.Z.; formal analysis, Z.Z.; investigation, Z.Z., Z.Y., S.F., and H.L. (Huiting Lan); resources, H.S.; writing—original draft preparation, Z.Z.; writing—review and editing, M.Z., H.L. (Huawei Liang), L.L., S.W., and H.S.; visualization, Z.Z.; supervision, H.S.; project administration, H.S.; funding acquisition H.S. All authors have read and agreed to the published version of the manuscript.
Funding
This work was supported in part by the National Natural Science Foundation of China under Grant No. 11874270, Guangdong Basic and Applied Basic Research Foundation under Grant No. 2022A1515011389, the Natural Science Foundation of Guangdong Province, China under Grant No. 2015A030313551, and the Fund Project for Shenzhen Fundamental Research Program under Grant No. JCYJ20190808143409787. All the samples in this article are from Sixcarbon Tech (Shenzhen, China).
Institutional Review Board Statement
Not applicable.
Informed Consent Statement
Not applicable.
Data Availability Statement
The data presented in this study are available on request from the corresponding author. The data are not publicly available due to restrictions.
Conflicts of Interest
The authors declare no conflict of interest.
References
- Cai, X.; Sushkov, A.; Suess, R.; Jadidi, M.; Jenkins, G.; Nyakiti, L.; Myers-Ward, R.; Wheeler, V.; Eddy, C.; Yan, J. Sensitive room-temperature terahertz detection via photothermoelectric effect in graphene. Am. Phys. Soc. Nat. Nanotechnol. 2014, 9, 814. [Google Scholar] [CrossRef] [PubMed]
- Wu, X.; Pan, X.; Quan, B.; Xu, X.; Gu, C.; Wang, L. Self-referenced sensing based on terahertz metamaterial for aqueous solutions. Appl. Phys. Lett. 2013, 102, 5. [Google Scholar] [CrossRef]
- Federici, J.; Moeller, L. Review of terahertz and subterahertz wireless communications. J. Appl. Phys. 2010, 107, 22. [Google Scholar] [CrossRef]
- Koenig, S.; Lopez-Diaz, D.; Antes, J.; Boes, F.; Henneberger, R.; Leuther, A.; Tessmann, A.; Schmogrow, R.; Hillerkuss, D.; Palmer, R.; et al. Wireless sub-THz communication system with high data rate. Nat. Photonics 2013, 7, 977. [Google Scholar] [CrossRef]
- Sensale-Rodriguez, B.; Yan, R.; Kelly, M.; Fang, T.; Tahy, K.; Hwang, W.; Jena, D.; Liu, L.; Xing, H. Broadband graphene terahertz modulators enabled by intraband transitions. Nat. Commun. 2012, 3, 7. [Google Scholar] [CrossRef]
- Sun, Z.; Martinez, A.; Wang, F. Optical modulators with 2D layered materials. Nat. Photonics 2016, 10, 227. [Google Scholar] [CrossRef]
- Zhao, X.; Wang, Y.; Schalch, J.; Duan, G.; Crernin, K.; Zhang, J.; Chen, C.; Averitt, R.; Zhang, X. Optically Modulated Ultra-Broadband All-Silicon Metamaterial Terahertz Absorbers. ACS Photonics 2019, 6, 830. [Google Scholar] [CrossRef]
- Zhang, Y.; Feng, Y.; Zhu, B.; Zhao, J.; Jiang, T. Graphene based tunable metamaterial absorber and polarization modulation in terahertz frequency. Opt. Express 2014, 22, 22743. [Google Scholar] [CrossRef]
- Cen, C.; Zhang, Y.; Chen, X.; Yang, H.; Yi, Z.; Yao, W.; Tang, Y.; Yi, Y.; Wang, J.; Wu, P. A dual-band metamaterial absorber for graphene surface plasmon resonance at terahertz frequency. Phys. E 2020, 117, 8. [Google Scholar] [CrossRef]
- You, X.; Wang, C.; Huang, J.; Gao, X.; Zhang, Z.; Wang, M.; Huang, Y.; Zhang, C.; Jiang, Y.; Wang, J.; et al. Towards 6G wireless communication networks: Vision, enabling technologies, and new paradigm shifts. Sci. China-Inf. Sci. 2021, 64, 74. [Google Scholar]
- Rahm, M.; Li, J.; Padilla, W. THz Wave Modulators: A Brief Review on Different Modulation Techniques. J. Infrared Millim. Terahertz Waves 2013, 34, 1. [Google Scholar] [CrossRef]
- Sounas, D.; Alu, A. Non-reciprocal photonics based on time modulation. Nat. Photonics 2017, 11, 774. [Google Scholar] [CrossRef]
- Xu, Y.; Song, Q.; Li, E.; Zhang, M.; Sun, Z.; Wang, T.; Liu, F.; Yan, P. Optically tunable split-ring resonators controlled lead sulfide quantum dots modulator for wide THz radiation. Nanophotonics 2022, 11, 1619. [Google Scholar] [CrossRef]
- Li, A.; Singh, S.; Sievenpiper, D. Metasurfaces and their applications. Nanophotonics 2018, 7, 989. [Google Scholar] [CrossRef]
- Sorger, V.; Lanzillotti-Kimura, N.; Ma, R.; Zhang, X. Ultra-compact silicon nanophotonic modulator with broadband response. Nanophotonics 2012, 1, 17. [Google Scholar] [CrossRef]
- Yao, H.; Ge, J.; Wang, C.; Wang, X.; Hu, W.; Zheng, Z.; Ni, Y.; Yu, S. A Flexible and Highly Pressure-Sensitive Graphene-Polyurethane Sponge Based on Fractured Microstructure Design. Adv. Mater. 2013, 25, 6692. [Google Scholar] [CrossRef]
- Qiang, R.; Du, Y.; Wang, Y.; Wang, N.; Tian, C.; Ma, J.; Xu, P.; Han, X. Rational design of yolk-shell C@C microspheres for the effective enhancement in microwave absorption. Carbon 2016, 98, 599. [Google Scholar] [CrossRef]
- Cai, G.; Jiang, H. A Modulator-Induced Defect-Formation Strategy to Hierarchically Porous Metal-Organic Frameworks with High Stability. Angew. Chem.-Int. Ed. 2017, 56, 563. [Google Scholar] [CrossRef]
- Shearer, G.; Chavan, S.; Bordiga, S.; Svelle, S.; Olsbye, U.; Lillerud, K. Defect Engineering: Tuning the Porosity and Composition of the Metal-Organic Framework UiO-66 via Modulated Synthesis. Chem. Mater. 2016, 28, 3749. [Google Scholar] [CrossRef]
- Liu, M.; Yin, X.; Ulin-Avila, E.; Geng, B.; Zentgraf, T.; Ju, L.; Wang, F.; Zhang, X. A graphene-based broadband optical modulator. Nature 2011, 474, 64. [Google Scholar] [CrossRef]
- Kim, K.; Choi, J.; Kim, T.; Cho, S.; Chung, H. A role for graphene in silicon-based semiconductor devices. Nature 2011, 479, 338. [Google Scholar] [CrossRef] [PubMed]
- Umemura, A.; Diring, S.; Furukawa, S.; Uehara, H.; Tsuruoka, T.; Kitagawa, S. Morphology Design of Porous Coordination Polymer Crystals by Coordination Modulation. J. Am. Chem. Soc. 2011, 133, 15506. [Google Scholar] [CrossRef] [PubMed]
- Cao, Y.; Gan, S.; Geng, Z.; Liu, J.; Yang, Y.; Bao, Q.; Chen, H. Optically tuned terahertz modulator based on annealed multilayer MoS2. Sci. Rep. 2016, 6, 9. [Google Scholar] [CrossRef]
- Chen, S.; Fan, F.; Miao, Y.; He, X.; Zhang, K.; Chang, S. Ultrasensitive terahertz modulation by silicon-grown MoS2 nanosheets. Nanoscale 2016, 8, 4713. [Google Scholar] [CrossRef]
- Ostrovsky, A.; Rickenstorff-Parrao, C.; Arrizon, V. Generation of the “perfect” optical vortex using a liquid-crystal spatial light modulator. Opt. Lett. 2013, 38, 534. [Google Scholar] [CrossRef] [PubMed]
- Degl’Innocenti, R.; Lin, H.; Navarro-Cia, M. Recent progress in terahertz metamaterial modulators. Nanophotonics 2022, 11, 1485. [Google Scholar] [CrossRef]
- Shen, S.; Liu, X.; Shen, Y.; Qu, J.; Pickwell-MacPherson, E.; Wei, X.; Sun, Y. Recent Advances in the Development of Materials for Terahertz Metamaterial Sensing. Adv. Opt. Mater. 2022, 10, 2101008. [Google Scholar] [CrossRef]
- Suo, P.; Zhang, H.; Yan, S.; Zhang, W.; Fu, J.; Lin, X.; Hao, S.; Jin, Z.; Zhang, Y.; Zhang, C.; et al. Observation of negative terahertz photoconductivity in large area type-ii dirac semimetal PtTe2. Phys. Rev. Lett. 2021, 126, 22. [Google Scholar] [CrossRef]
- Guo, C.; Hu, Y.; Chen, G.; Wei, D.; Zhang, L.; Chen, Z.; Guo, W.; Xu, H.; Kuo, C.; Lue, C.; et al. Anisotropic ultrasensitive PdTe2-based phototransistor for room-temperature long-wavelength detection. Sci. Adv. 2020, 6, 36. [Google Scholar] [CrossRef]
- Zhang, H.; Li, H.; Wang, F.; Song, X.; Xu, Z.; Wei, D.; Dai, Z.; Ren, Y.; Ye, Y.; Ren, X.; et al. PtSe2 Field-Effect Phototransistor with Positive and Negative Photoconductivity. ACS Appl. Electron. Mater. 2022, 4, 11. [Google Scholar] [CrossRef]
- Shen, J.; Xing, H.; Wang, L.; Hu, Z.; Zhang, L.; Wang, X.; Chen, Z.; Yao, C.; Jiang, M.; Fei, F.; et al. A van der Waals heterostructure based on nickel telluride and graphene with spontaneous high-frequency photoresponse. Appl. Phys. Lett. 2022, 120, 6. [Google Scholar] [CrossRef]
- Zhao, Y.; Qiao, J.; Yu, Z.; Yu, P.; Xu, K.; Lau, S.; Zhou, W.; Liu, Z.; Wang, X.; Ji, W.; et al. High-Electron- Mobility and Air-Stable 2D Layered PtSe2 FETs. Adv. Mater. 2017, 29, 1604230. [Google Scholar] [CrossRef]
- Wang, Y.; Li, L.; Yao, W.; Song, S.; Sun, J.; Pan, J.; Ren, X.; Li, C.; Okunishi, E.; Wang, Y.; et al. Monolayer PtSe2, a New Semiconducting Transition-Metal-Dichalcogenide, Epitaxially Grown by Direct Selenization of Pt. Nano Lett. 2015, 15, 4013. [Google Scholar] [CrossRef]
- Ciarrocchi, A.; Avsar, A.; Ovchinnikov, D.; Kis, A. Thickness-modulated metal-to-semiconductor transformation in a transition metal dichalcogenide. Nat. Commun. 2018, 9, 919. [Google Scholar] [CrossRef] [PubMed]
- Jakhar, A.; Kumar, P.; Moudgil, A.; Dhyani, V.; Das, S. Optically pumped broadband terahertz modulator based on nanostructured PtSe2 thin films. Adv. Opt. Mater. 2020, 8, 1901714. [Google Scholar] [CrossRef]
- Gong, Y.; Lin, Z.; Chen, Y.; Khan, Q.; Wang, C.; Zhang, B.; Nie, G.; Xie, N.; Li, D. Two-Dimensional Platinum Diselenide: Synthesis, Emerging Applications, and Future Challenges. Nano-Micro Lett. 2020, 12, 34. [Google Scholar] [CrossRef]
- O’Brien, M.; McEvoy, N.; Motta, C.; Zheng, J.; Berner, N.; Kotakoski, J.; Elibol, K.; Pennycook, T.; Meyer, J.; Yim, C.; et al. Raman characterization of platinum diselenide thin films. 2D Mater. 2016, 3, 7. [Google Scholar] [CrossRef]
- Karmakar, A.; Karthick, K.; Kumaravel, S.; Sankar, S.; Kundu, S. Surface Decoration of DNA-Aided Amorphous Cobalt Hydroxide via Ag+ Ions as Binder-Free Electrodes toward Electrochemical Oxygen Evolution Reaction. Inorg. Chem. 2021, 60, 2680. [Google Scholar] [CrossRef]
- Zheng, Z.; Peng, Z.; Yu, Z.; Lan, H.; Wang, S.; Zhang, M.; Li, L.; Liang, H.; Su, H. Thickness-dependent optical response and ultrafast carrier dynamics of PtSe2 films. Results Phys. 2022, 42, 106012. [Google Scholar] [CrossRef]
- Xu, S.; Yang, J.; Jiang, H.; Su, F.; Zeng, Z. Transient photoconductivity and free carrier dynamics in a monolayer WS2 probed by time resolved Terahertz spectroscopy. Nanotechnology 2019, 30, 8. [Google Scholar] [CrossRef]
- Lloyd-Hughes, J.; Jeon, T. A Review of the Terahertz Conductivity of Bulk and Nano-Materials. J. Infrared Millim. Terahertz Waves 2012, 33, 871. [Google Scholar] [CrossRef]
- Cocker, T.; Baillie, D.; Buruma, M.; Titova, L.; Sydora, R.; Marsiglio, F.; Hegmann, F. Microscopic origin of the Drude-Smith model. Phys. Rev. B 2017, 96, 16. [Google Scholar] [CrossRef]
Disclaimer/Publisher’s Note: The statements, opinions and data contained in all publications are solely those of the individual author(s) and contributor(s) and not of MDPI and/or the editor(s). MDPI and/or the editor(s) disclaim responsibility for any injury to people or property resulting from any ideas, methods, instructions or products referred to in the content. |
© 2023 by the authors. Licensee MDPI, Basel, Switzerland. This article is an open access article distributed under the terms and conditions of the Creative Commons Attribution (CC BY) license (https://creativecommons.org/licenses/by/4.0/).




