Abstract
A kind of graphene-based perfect absorber which can generate low-threshold and high-extinction-ratio optical bistability in the near-IR band is proposed and simulated with numerical methods. The interaction between input light and monolayer graphene in the absorber can be greatly enhanced due to the perfect absorption. The large nonlinear coefficient of graphene and the strong light-graphene interaction contribute to the nonlinear response of the structure, leading to relatively low switching thresholds of less than 2.5 MW/cm2 for an absorber with a Q factor lower than 1000. Meanwhile, the extinction ratio of bistable states in the absorber reaches an ultrahigh value of 47.3 dB at 1545.3 nm. Moreover, the influence of changing the structural parameters on the bistable behaviors is discussed in detail, showing that the structure can tolerate structural parametric deviation to some extent. The proposed bistable structure with ultra-compact size, low thresholds, high extinction ratio, and ultrafast response time could be of great applications for fabricating high-performance all-optical-communication devices.
1. Introduction
Optical bistability (OB) is a typical phenomenon of nonlinear optics. In some resonant structures with third-order nonlinear optical materials, one given input state has two corresponding output states. Based on this unique property, OB can be applied to the fabrication of all-optical switches, memory cells, and transistors [1,2,3,4,5,6], which are the fundamental components of all-optical communication systems. Up to now, researchers have developed many different methods to realize OB, including ring cavities [7,8], photonic crystals [9,10], subwavelength waveguides [11,12] etc. However, the third-order susceptibilities of bulk dielectrics are usually very small, and as a result, either ultrahigh intensity of incident light or an ultrahigh Q factor is required to generate bistable states, which limits the applications of OB. Therefore, materials with large nonlinear coefficients are needed to overcome this drawback.
Graphene, as a novel 2D material, has been studied intensively over the years due to its outstanding physical properties [13,14], such as full-spectrum optical response, ultrafast response speed, ultrahigh carrier mobility, controllable thermal emission, etc. At the same time, the nonlinear response of graphene is also intriguing since it is much stronger than that of conventional nonlinear materials. It is reported that graphene possesses a giant nonlinear refractive index of more than 10−12 or even 10−11 m2/W, which is about 107 to 109 times larger than that of bulk dielectrics [15,16,17]. Such an excellent characteristic makes it an ideal material for nonlinear optical applications. However, the interaction between light and monolayer graphene is very weak due to the ultrathin thickness of graphene, which seriously limits the applications of graphene in the optical field. In order to greatly enhance the light-graphene interaction, many kinds of graphene-based resonators [18,19,20,21,22,23,24,25,26] and perfect absorbers [27,28,29,30,31,32,33,34] have been proposed, and some applications of those structures have been demonstrated [35,36,37,38,39]. Until now, OB in graphene-based resonators has been theoretically and numerically studied [40,41,42,43,44,45,46,47,48,49,50,51,52,53,54]. Most of the previous studies focus on the mid-IR to terahertz band since low-threshold OB could be achieved in those structures due to the strong field enhancement caused by the surface plasmons of graphene. In the visible to near-IR band, however, graphene plasmonic resonances can hardly be excited due to the limit of the doping level [55,56], and graphene-based OB with low thresholds in this band is still challenging.
In this article, we demonstrate graphene-based OB with a low threshold and high extinction ratio by using a graphene-based perfect absorber. The absorber supports guided-mode resonance (GMR) in the near-IR band, which strongly enhances the electric field intensity in the graphene. With the significant light-graphene interaction as well as the large nonlinear coefficient of graphene, the switching threshold of the bistable states is cut down to a relatively low level. Moreover, by optimizing structural parameters to satisfy the critical coupling condition, the extinction ratio of bistable states reaches an ultrahigh level. As is demonstrated by the simulation, the switching threshold can be lower than 2.5 MW/cm2, and the extinction ratio is over 40 dB. The proposed structure is easy to fabricate and has a toleration to structural parametric deviation, making it practical for the real applications of high-performance graphene-based bistable devices.
2. Model and Methods
Figure 1 shows the schematic of our proposed graphene-based perfect absorber. Monolayer graphene is sandwiched between a 1D polymethy1-methacrylate (PMMA) grating and a silica layer deposited onto a gold substrate. The grating layer in the absorber is essential for generating GMRs, which can greatly enhance the light-graphene interaction. For a designed absorber, the grating period p = 1138 nm, the grating thickness h = 67 nm, and the grating width w = p/2. The thickness of the silica layer d = 1200 nm, and the thickness of the gold substrate is 200 nm. The thickness of the graphene = 0.34 nm, the refractive indices of PMMA and silica are set to 1.48 and 1.45, respectively, with their dispersion effect neglected. The gold layer is modeled as a Drude material which can be expressed by , where = 1.0, = 1.37 × 1016 s−1 and γ = 8.17 × 1013 s−1 [29]. The intraband and interband conductivity of graphene is described by the Kubo formula [57]:
where Ef is the Fermi level, τ is the relaxation time and T is the temperature. In the simulation of this work, Ef is set to 0.1 eV, considering that graphene might be slightly doped even if gate voltage is absent [15]. τ and T are set to 200 fs and 300 K, respectively, which are typical values for graphene relaxation time and environmental temperature. The total surface conductivity of graphene is , and the relative permittivity of graphene is described by , where is the vacuum permittivity, and is the thickness of monolayer graphene. The optical Kerr effect of graphene can be expressed as , where is the relative permittivity of graphene under an electric field and is the amplitude of the local electric field. is the third-order susceptibility of graphene, and it can be calculated by , where is the vacuum impedance, and is the nonlinear refractive index of graphene [17]. In this work, we assume that m2/W, which is a moderate value for Z-scan measurement in the near-IR band [15,16], and the corresponding nonlinear susceptibility is ≈ 3 × 10−14 m2/V2. The nonlinear coefficient of graphene is several orders larger than that of bulk silica, so here silica can be treated as a linear dielectric. Besides the optical Kerr effect, we also consider the saturable absorption effect of graphene, which is necessary for intrinsic or lowly doped graphene [15]. The absorption coefficient of graphene can be fitted by , where and are the saturable and non-saturable components of the absorption coefficient, and is the saturation intensity. Here we assume that = 74 MW/cm2 and the modulation depth of saturable absorption is , according to reported measurements [15]. The sum of and equals to , which is determined by the conductivity of graphene (Equations (1) and (2)). By fitting the image part of graphene’s refractive index k (which can be derived from the conductivity of graphene) with , we can equivalently simulate the saturable absorption effect of graphene. The local optical intensity I is treated as time-average power flow and is calculated by I = |E|·|H|/2. Apparently, the saturable absorption effect of graphene leads to a decrease in graphene’s absorption coefficient with increasing incident intensity, which should be carefully considered when optimizing structural parameters.
Figure 1.
Schematic of the proposed graphene-based perfect absorber.
The model of the proposed structure is defined and simulated in the FEM software COMSOL Multiphysics. In the simulation, a 2D model of the structural cross-section in the xy plane is built since the structure is uniform along the z direction. Periodic boundary condition is added to the x direction of the model so that only one structural period needs to be simulated. A port is added above the grating to give a normal plane wave incidence with a certain intensity and scattering boundary condition is added below the gold layer.
3. Results and Discussion
Figure 2a demonstrates the reflectance and absorption spectrums from 1535 to 1550 nm under low incident intensity. The demonstrated absorption peak is caused by the zeroth-order GMR with TE polarized normal incidence (parallel to the gratings). The total reflectance and absorption of the structure reach 12.3% and 87.7%, respectively, at the resonant wavelength of 1542.9 nm. The peak absorption of graphene reaches 77.9%, much stronger than that of suspended monolayer graphene, indicating a significant enhancement of light-graphene interaction. It is important to note that the peak absorption of the structure has not reached 100% yet, since herein, the mode leakage rate of the incident port is lower than the structural absorption rate , according to the coupled mode theory [36]. As we will see later, to achieve better bistable behaviors, perfect absorption (requiring that , which is called the critical coupling condition) is going to be realized under stronger incidence, which makes OB obvious. Figure 2b shows the distribution of the normalized electric field at 1542.9 nm. For TE resonant modes, the electric field does not possess x or y component, so only the z component of normalized electric field () is shown in the graph. Apparently, the electric field is well confined in the silica layer and is enhanced by 15.4 times at the central part of the silica layer compared with the incident electric field. The field intensity inside the graphene is also relatively strong and is enhanced by 8.7 times right under the PMMA ribbon. Figure 2c shows the reflectance spectrums with different Ef under low incident intensity. As Ef increases, the peak absorption of the structure increases and then decreases. This is because the absorption coefficient of graphene, as well as the structural absorption rate tends to decrease with Ef increasing. As we can see, when Ef increases to 0.4 eV, the peak absorption reaches almost 100%, indicating that . As Ef further increases, becomes smaller than , making the peak absorption drop back. Figure 2d shows the reflectance spectrums with different τ under low incident intensity. Herein Ef = 0.1 eV. The reflectance spectrum is almost invariant with τ changing because in the near-IR band, the conductivity of graphene is mainly determined by the interband transition, which is not influenced by τ.
Figure 2.
(a) Reflectance and absorption spectrums of the graphene-based perfect absorber. The black solid curve, red solid curve, blue dash curve, and magenta short dash curve plot the total reflectance, total absorption, graphene absorption, and gold absorption, respectively. (b) Distribution of normalized electric field at 1542.9 nm. (c) Reflectance spectrums with different Fermi levels. (d) Reflectance spectrums with different relaxation times.
It is known that the rise of incident intensity has a trend to break the spectral symmetry of a resonant structure with Kerr material, with the resonant wavelength shifting away from the initial value and the spectral curve becoming steeper and steeper on one side of the resonant wavelength. Figure 3a shows the nonlinear reflectance spectrums under several incident intensities. When the incident intensity is weak (1 kW/cm2), the reflectance spectrum almost coincides with the linear one. When the incident intensity is strong enough (1.5 and 1.75 MW/cm2), we see a red shift of the resonant wavelength which is caused by the shift of graphene’s relative permittivity, and meanwhile, the reflectance suddenly jumps up as the incident wavelength is swept over the resonant wavelength from left to right, indicating the appearance of bistable states.
Figure 3.
(a) Nonlinear reflectance spectrums at different incident intensities. (b) Hysteresis loops of reflectance at different working wavelengths. (c) Distribution of normalized electric field at the on and off states at 1545.6 nm, with = 1.75 MW/cm2.
To obtain the hysteric behaviors of the perfect absorber, we should choose a working wavelength that deviates from the initial resonant wavelength, and what is more, the incident intensity should be swept increasingly and then decreasingly with the calculation of the next step taking the result of the last step as the initial condition. This procedure is equivalent to setting the incident intensity as a staircase function within FDTD calculations [40]. Figure 3b shows several hysteresis loops with their working wavelengths chosen to be the same as the resonant wavelengths of the spectral curves in Figure 3a with the same colors and types (except for the black solid curve). The higher branches of the loops are calculated with increasing and the lower branches with decreasing. The hysteresis loops keep expanding as the working wavelength moves away from the initial resonant wavelength, and bistable states become increasingly obvious. The switching-on-to-off (switching-off-to-on) thresholds are 1.7 (1.43) and 2.48 MW/cm2 (1.68 MW/cm2) for 1545.1 and 1545.6 nm, respectively. These relatively low thresholds are the main contributions of the strong GMR as well as the large nonlinear coefficient of graphene. The simulation results show that when the incident wavelength is between 1545.1 and 1545.6 nm, the extinction ratio of bistable states is greater than 30 dB, and when the wavelength is 1545.3 nm, the extinction ratio reaches the maximum value of 47.3 dB. As mentioned before, the absorption coefficient of graphene has a trend to decrease with increasing light intensity, so the critical coupling condition () will be satisfied at certain incident intensities. As a result, incident light will be totally absorbed by the absorber at the off state, and the extinction ratio of the bistable states will ascend to an ultrahigh level. Figure 3c shows the distribution of the normalized electric field of the bistable states at 1545.6 nm with = 1.75 MW/cm2. At the on state, reflection is relatively strong since the structure is off-resonant, while at the off state, the structure becomes on-resonant and, since it is critically coupled, the incident light is totally absorbed by the absorber.
In Table 1, we compare the results of Figure 3 with previous works on OB within graphene-based absorption structures. Apparently, the proposed graphene-based absorber has the advantage of both a low threshold and high extinction ratio compared with other works on graphene-based OB in the near-IR band. We can also see that the threshold of graphene-based OB in the THz band can be several orders lower than that in the near-IR band, mainly due to the much stronger resonance effect and field confinement aroused by the surface plasmons of graphene.
Table 1.
Comparison of this work with previous works.
We expect the proposed structure to be practical for real experiments, so it is necessary to discuss the influences of structural parametric deviation on its bistable behaviors, considering the possible inaccuracy of fabrication equipment.
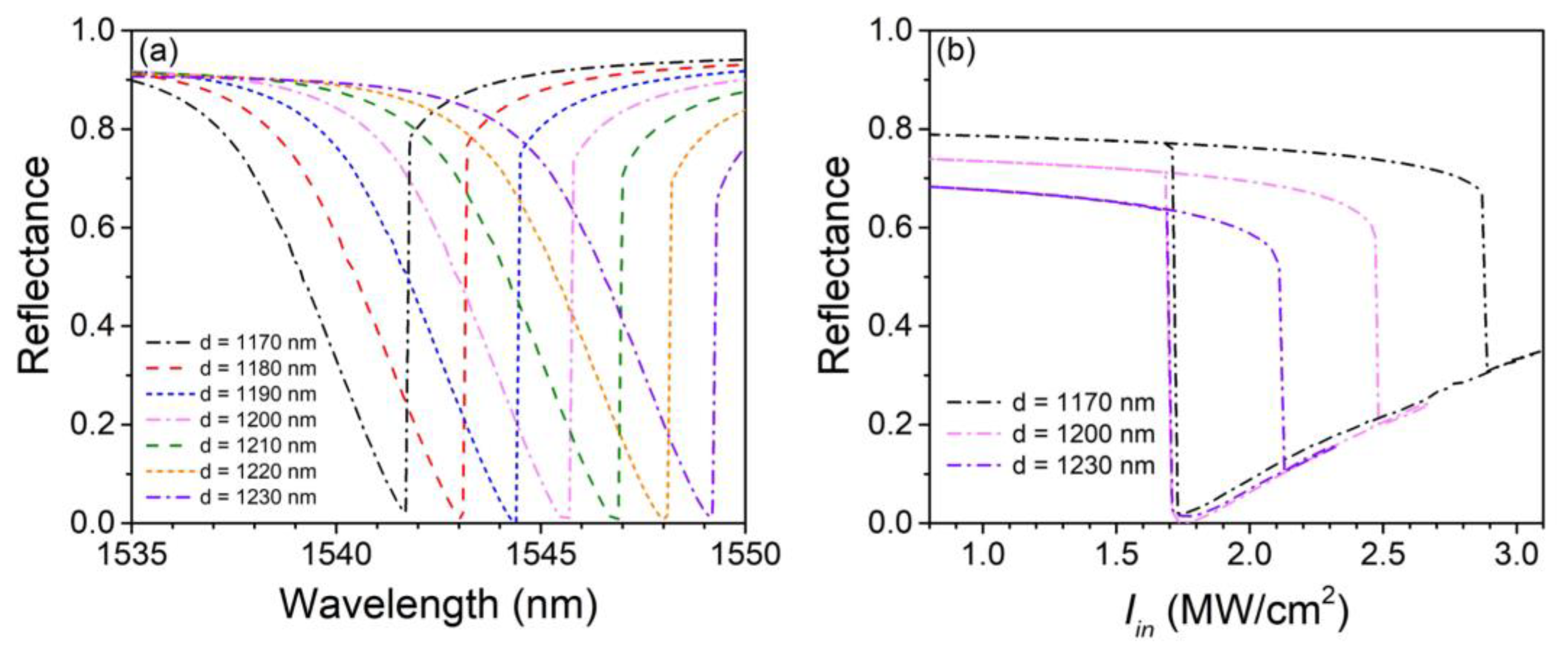
Figure 4a shows the variation of nonlinear reflectance spectrums with the silica layer thickness d varying from 1170 to 1230 nm with a step of 10 nm. Other structural parameters are the same as those in Figure 2 and Figure 3, and meanwhile, is fixed to 1.75 MW/cm2 to make a comparison with the magenta curve in Figure 3a. From the graph, we see that the resonant wavelength blue shifts as d decreases and vice versa, which can be explained by the optical coherence theory. The shift of the resonant wavelength with the deviation of d is approximately linear (1.2 per 10 nm) within the simulation range. The peak absorption of the structure shows better stability to the deviation of d compared with the resonant wavelength. As is shown in the graph, the structure maintains a considerable peak absorption of over 98% within the simulation range, which means that the extinction ratio of bistable states at 1.75 MW/cm2 is very stable, even if d deviates 30 nm away from the optimized value. Figure 4b shows the hysteresis loops with d = 1170, 1200, and 1230 nm at their corresponding working wavelengths, which are 1541.7, 1545.6, and 1549.2 nm, respectively. Bistable characteristics are clear enough for all cases. Apparently, the switching-off-to-on thresholds are maintained at nearly 1.7 MW/cm2, and the extinction ratios at 1.75 MW/cm2 are still very high, which are 18.8 and 19.7 dB for d = 1170 and 1230 nm. The switching-on-to-off threshold decreases with d increasing, which has a trend to slightly cut down the structural Q factor.
Figure 4.
(a) Nonlinear reflectance spectrums with different silica layer thicknesses d. (b) Hysteresis loops with d = 1170, 1200, and 1230 nm, respectively.
Figure 5a shows the shift of nonlinear reflectance spectrums with the grating thickness h varying from 52 to 82 nm with a step of 5 nm. Other structural parameters are still the same as those in Figure 2 and Figure 3, and is also fixed to 1.75 MW/cm2. The change of h has only a slight influence on the resonant wavelength, which shifts no more than 1.5 nm within the simulation range. Its influence on the peak absorption is much stronger compared with that of the silica layer thickness. The peak absorptions drop to 93.4% and 95.7% for h = 52 and 82 nm, respectively. Moreover, the jump of reflectance at the right side of the resonant wavelength is weakened with h increasing, indicating that the structural bistable behaviors will be affected. Figure 5b shows the hysteresis loops with h = 52 nm, 67 and 82 nm at their corresponding working wavelengths, which are 1544.3, 1545.6, and 1546.5 nm, respectively. The extinction ratios at 1.75 MW/cm2 are 13.5 and 13.7 dB for h = 52 and 82 nm, respectively. Apparently, the hysteresis loop sharply shrinks with h increasing since h directly determines the mode leakage rate of the structure and has a tremendous influence on the structural Q factor. It is predictable that the hysteresis loop is going to vanish if h further increases unless a higher is selected for the simulation.
Figure 5.
(a) Nonlinear reflectance spectrums with different grating thicknesses h. (b) Hysteresis loops with h = 52, 67, and 82 nm, respectively.
Figure 6a shows the shift of nonlinear reflectance spectrums with the grating width-to-period ratio δ varying from 0.3 to 0.7. Likewise, other structural parameters are the same as those in Figure 2 and Figure 3, and = 1.75 MW/cm2. The structure shows significant stability to the change of δ since the spectrum only shifts a little with δ varying from 0.4 to 0.65. Figure 6b shows the hysteresis loops with δ = 0.3, 0.5, and 0.7 at their corresponding working wavelengths, which are 1544.9, 1545.6, and 1545.9 nm, respectively. Even if δ extremely deviates away from the value of 0.5, the structure still possesses clear bistable characteristics. Similar to that in Figure 4b, the switching-off-to-on thresholds are well maintained at nearly 1.7 MW/cm2.
Figure 6.
(a) Nonlinear reflectance spectrums with different grating width-to-period ratio δ. (b) Hysteresis loops with δ = 0.3, 0.5, and 0.7, respectively.
Finally, we would like to discuss the response time of the OB in the proposed graphene-based absorber, which is decided by both the graphene’s Kerr effect and the photon lifetime of the absorber. The photon lifetime is related to the Q factor of the absorber and can be calculated by [57]. For the absorber in Figure 2 and Figure 3, the Q factor is 530 at a low incident intensity and close to 1000 at extremely high incident intensity when the absorption of graphene is saturated, so varies within the range from 434 fs to 821 fs. The photon lifetime is longer than the response time of graphene’s Kerr effect, which can be as short as 100 fs [57], as was previously measured. Therefore, the response time of OB in the proposed absorber is limited by of less than 821 fs.
The proposed perfect absorber can be easily fabricated with standard nanofabrication technology. The gold layer can be deposited onto a chromium-coated silicon substrate by magnetron sputtering. The silica layer can be deposited onto the gold layer by plasma-enhanced chemical vapor deposition (PECVD). The monolayer graphene can be obtained by mechanical exfoliation and can be transferred onto the top of the silica layer. A PMMA film can be spin coated onto the graphene, and the designed grating patterns can be formed by E-beam lithography [29,30]. We believe that the proposed bistable structure with low thresholds, high extinction ratio, ultrafast response time, and ultra-compact size could be of great applications in the field of all-optical-communication devices, such as all-optical switches, memory cells, transistors, etc.
4. Conclusions
This work demonstrates a graphene-based perfect absorber that possesses bistable characteristics in the near-IR band. By coupling monolayer graphene with dielectric grating patterns, the electric field intensity is highly enhanced within the graphene. The strong light-graphene interaction, together with the large nonlinear coefficient of graphene, highly contributes to low switching thresholds, which can be lower than 2.5 MW/cm2 according to the simulation. Meanwhile, the extinction ratio of bistable states exceeds 40 dB at certain incident intensities. The structure is compact and can be easily fabricated with standard nanofabrication technology, which is practical for designing and fabricating graphene-based bistable devices and all-optical switches in the near-IR band.
Author Contributions
Conceptualization, C.G.; writing—original draft, Z.Z. (Zhengzhuo Zhang); writing—review and editing, Z.Z. (Zhengzhuo Zhang) and C.G.; methodology, Z.Z. (Zhengzhuo Zhang), Q.S. and Y.F.; validation, Z.Z. (Zhihong Zhu), J.Z. and X.Y.; data curation, C.G. All authors have read and agreed to the published version of the manuscript.
Funding
This research was funded by National Natural Science Foundation of China, 61404174.
Institutional Review Board Statement
Not applicable.
Informed Consent Statement
Not applicable.
Data Availability Statement
Not applicable.
Conflicts of Interest
The authors declare no conflict of interest.
References
- Tan, Y.; Xia, X.-S.; Liao, X.-L.; Li, J.-B.; Zhong, H.-H.; Liang, S.; Xiao, S.; Liu, L.-H.; Luo, J.-H.; He, M.-D.; et al. A highly-flexible bistable switch based on a suspended monolayer Z-shaped graphene nanoribbon nanoresonator. Carbon 2020, 157, 724–730. [Google Scholar] [CrossRef]
- Mazurenko, D.A.; Kerst, R.; Dijkhuis, J.I.; Akimov, A.V.; Golubev, V.G.; Kurdyukov, D.A.; Pevtsov, A.B.; Sel’Kin, A.V. Ultrafast Optical Switching in Three-Dimensional Photonic Crystals. Phys. Rev. Lett. 2003, 91, 213903. [Google Scholar] [CrossRef] [PubMed]
- Chang, H.; Wu, H.; Xie, C.; Wang, H. Controlled Shift of Optical Bistability Hysteresis Curve and Storage of Optical Signals in a Four-Level Atomic System. Phys. Rev. Lett. 2004, 93, 213901. [Google Scholar] [CrossRef]
- Mavrogordatos, T.K.; Tancredi, G.; Elliott, M.; Peterer, M.J.; Patterson, A.; Rahamim, J.; Leek, P.J.; Ginossar, E.; Szymańska, M.H. Simultaneous Bistability of a Qubit and Resonator in Circuit Quantum Electrodynamics. Phys. Rev. Lett. 2017, 118, 040402. [Google Scholar] [CrossRef]
- Dutta, S.; Rangwala, S.A. All-optical switching in a continuously operated and strongly coupled atom-cavity system. Appl. Phys. Lett. 2017, 110, 121107. [Google Scholar] [CrossRef]
- Guo, K.; Yang, L.; Shi, X.; Liu, X.; Cao, Y.; Zhang, J.; Wang, X.; Yang, J.; Ou, H.; Zhao, Y. Nonclassical Optical Bistability and Resonance-Locked Regime of Photon-Pair Sources Using Silicon Microring Resonator. Phys. Rev. Appl. 2019, 11, 034007. [Google Scholar] [CrossRef]
- Li, J.; Lü, X.; Luo, J.; Huang, Q. Optical bistability and multistability via atomic coherence in an N-type atomic medium. Phys. Rev. A 2006, 74, 035801. [Google Scholar] [CrossRef]
- Joshi, A.; Brown, A.; Wang, H.; Xiao, M. Controlling optical bistability in a three-level atomic system. Phys. Rev. A 2003, 67, 041801(R). [Google Scholar] [CrossRef]
- Shinya, A.; Mitsugi, S.; Tanabe, T.; Notomi, M.; Yokohama, I.; Takara, H.; Kawanishi, S. All-optical flip-flop circuit composed of coupled two-port resonant tunneling filter in two-dimensional photonic crystal slab. Opt. Express 2006, 14, 1230–1235. [Google Scholar] [CrossRef]
- Haret, L.-D.; Tanabe, T.; Kuramochi, E.; Notomi, M. Extremely low power optical bistability in silicon demonstrated using 1D photonic crystal nanocavity. Opt. Express 2009, 17, 21108–21117. [Google Scholar] [CrossRef]
- Song, G.; Yu, L.; Wu, C.; Duan, G.; Wang, L.; Xiao, J. Polarization Splitter with Optical Bistability in Metal Gap Waveguide Nanocavities. Plasmonics 2013, 8, 943–947. [Google Scholar] [CrossRef]
- Hamidi, S.M.; Eslamiat, Z. Optical bistability in one-dimensional coupled resonator nonlinear optical waveguide. J. Nonlinear Opt. Phys. Mater. 2013, 22, 1350003. [Google Scholar] [CrossRef]
- Gan, X.; Shiue, R.-J.; Gao, Y.; Meric, I.; Heinz, T.F.; Shepard, K.; Hone, J.; Assefa, S.; Englund, D. Chip-integrated ultrafast graphene photodetector with high responsivity. Nat. Photon. 2013, 7, 883–887. [Google Scholar] [CrossRef]
- Fan, Y.; Zhang, Z.; Zhu, Z.; Zhang, J.; Xu, W.; Wu, F.; Yuan, X.; Guo, C.; Qin, S. Regulation of Thermal Emission Position in Biased Graphene. Nanomaterials 2022, 12, 3457. [Google Scholar] [CrossRef]
- Zhang, H.; Virally, S.; Bao, Q.; Ping, L.K.; Massar, S.; Godbout, N.; Kockaert, P. Z-scan measurement of the nonlinear refractive index of graphene. Opt. Lett. 2012, 37, 1856–1858. [Google Scholar] [CrossRef]
- Miao, L.; Jiang, Y.; Lu, S.; Shi, B.; Zhao, C.; Zhang, H.; Wen, S. Broadband ultrafast nonlinear optical response of few-layers graphene: Toward the mid-infrared regime. Photon. Res. 2015, 3, 214–219. [Google Scholar] [CrossRef]
- Liu, K.; Zhang, J.F.; Xu, W.; Zhu, Z.H.; Guo, C.C.; Li, X.J.; Qin, S.Q. Ultra-fast pulse propagation in nonlinear graphene/silicon ridge waveguide. Sci. Rep. 2015, 5, 16734. [Google Scholar] [CrossRef]
- Zou, X.; Zheng, G.; Cong, J.; Xu, L.; Chen, Y.; Lai, M. Polarization-insensitive and wide-incident-angle optical absorber with periodically patterned graphene-dielectric arrays. Opt. Lett. 2018, 43, 46–49. [Google Scholar] [CrossRef] [PubMed]
- Li, Q.; Lu, J.; Gupta, P.; Qiu, M. Engineering Optical Absorption in Graphene and Other 2D Materials: Advances and Applications. Adv. Opt. Mater. 2019, 7, 1900595. [Google Scholar] [CrossRef]
- Zhang, X.; John, S. Broadband light-trapping enhancement of graphene absorptivity. Phys. Rev. B 2019, 99, 035417. [Google Scholar] [CrossRef]
- Qing, Y.M.; Ma, H.F.; Ren, Y.Z.; Yu, S.; Cui, T.J. Near-infrared absorption-induced switching effect via guided mode resonances in a graphene-based metamaterial. Opt. Express 2019, 27, 5253–5263. [Google Scholar] [CrossRef]
- Wang, J.; Chen, A.; Zhang, Y.; Zeng, J.; Zhang, Y.; Liu, X.; Shi, L.; Zi, J. Manipulating bandwidth of light absorption at critical coupling: An example of graphene integrated with dielectric photonic structure. Phys. Rev. B 2019, 100, 075407. [Google Scholar] [CrossRef]
- Park, K.; Park, G.C. Tunable dual-wavelength absorption switch with graphene based on asymmetric guided-mode resonance structure. Opt. Express 2021, 29, 7307–7320. [Google Scholar] [CrossRef]
- Xiao, S.; Liu, T.; Wang, X.; Liu, X.; Zhou, C. Tailoring the absorption bandwidth of graphene at critical coupling. Phys. Rev. B 2020, 102, 085410. [Google Scholar] [CrossRef]
- Nematpour, A.; Lisi, N.; Lancellotti, L.; Chierchia, R.; Grilli, M.L. Experimental Mid-Infrared Absorption (84%) of Single-Layer Graphene in a Reflective Asymmetric Fabry–Perot Filter: Implications for Photodetectors. ACS Appl. Nano Mater. 2021, 4, 1495–1502. [Google Scholar] [CrossRef]
- Yan, Z.; Gao, L.; Tang, C.; Lv, B.; Gu, P.; Chen, J.; Zhu, M. Simultaneously achieving narrowband and broadband light absorption enhancement in monolayer graphene. Diam. Relat. Mater. 2022, 126, 109122. [Google Scholar] [CrossRef]
- Piper, J.R.; Fan, S. Total Absorption in a Graphene Monolayer in the Optical Regime by Critical Coupling with a Photonic Crystal Guided Resonance. ACS Photon. 2014, 1, 347–353. [Google Scholar] [CrossRef]
- Grande, M.; Vincenti, M.A.; Stomeo, T.; Bianco, G.V.; de Ceglia, D.; Aközbek, N.; Petruzzelli, V.; Bruno, G.; De Vittorio, M.; Scalora, M.; et al. Graphene-based perfect optical absorbers harnessing guided mode resonances. Opt. Express 2015, 23, 21032–21042. [Google Scholar] [CrossRef]
- Guo, C.; Zhu, Z.; Yuan, X.; Ye, W.; Liu, K.; Zhang, J.; Xu, W.; Qin, S. Experimental Demonstration of Total Absorption over 99% in the Near Infrared for Monolayer-Graphene-Based Subwavelength Structures. Adv. Opt. Mater. 2016, 4, 1955–1960. [Google Scholar] [CrossRef]
- Fan, Y.S.; Guo, C.C.; Zhu, Z.H.; Xu, W.; Wu, F.; Yuan, X.D.; Qin, S.Q. Monolayer-graphene-based perfect absorption structures in the near infrared. Opt. Express 2017, 25, 13079–13086. [Google Scholar] [CrossRef]
- Jiang, X.; Wang, T.; Xiao, S.; Yan, X.; Cheng, L. Tunable ultra-high-efficiency light absorption of monolayer graphene using critical coupling with guided resonance. Opt. Express 2017, 25, 27028–27036. [Google Scholar] [CrossRef]
- Lee, S.; Song, J.; Kim, S. Graphene perfect absorber design based on an approach of mimicking a one-port system in an asymmetric single resonator. Opt. Express 2021, 29, 29631. [Google Scholar] [CrossRef]
- Sang, T.; Dereshgi, S.; Hadibrata, W.; Tanriover, I.; Aydin, K. Highly Efficient Light Absorption of Monolayer Graphene by Quasi-Bound State in the Continuum. Nanomaterials 2021, 11, 484. [Google Scholar] [CrossRef]
- Asgari, S.; Fabritius, T. Graphene-based dual-functional chiral metamirror composed of complementary 90° rotated U-shaped resonator arrays and its equivalent circuit model. Sci. Rep. 2021, 11, 23827. [Google Scholar] [CrossRef]
- Kim, S.; Jang, M.S.; Brar, V.W.; Mauser, K.W.; Kim, L.; Atwater, H.A. Electronically Tunable Perfect Absorption in Graphene. Nano Lett. 2018, 18, 971–979. [Google Scholar] [CrossRef]
- Guo, C.; Zhang, J.; Xu, W.; Liu, K.; Yuan, X.; Qin, S.; Zhu, Z. Graphene-Based Perfect Absorption Structures in the Visible to Terahertz Band and Their Optoelectronics Applications. Nanomaterials 2018, 8, 1033. [Google Scholar] [CrossRef]
- Chen, J.; Chen, S.; Gu, P.; Yan, Z.; Tang, C.; Xu, Z.; Liu, B.; Liu, Z. Electrically modulating and switching infrared absorption of monolayer graphene in metamaterials. Carbon 2020, 162, 187–194. [Google Scholar] [CrossRef]
- Chen, Y.; Fan, Y.; Zhang, Z.; Zhu, Z.; Liu, K.; Zhang, J.; Xu, W.; Yuan, X.; Guo, C. High resolution graphene angle sensor based on ultra-narrowband optical perfect absorption. Opt. Express 2021, 29, 41206–41212. [Google Scholar] [CrossRef]
- Nong, J.; Feng, F.; Gan, J.; Min, C.; Yuan, X.; Somekh, M. Active Modulation of Graphene Near-Infrared Electroabsorption Employing Borophene Plasmons in a Wide Waveband. Adv. Opt. Mater. 2022, 10, 2102131. [Google Scholar] [CrossRef]
- Guo, J.; Jiang, L.; Jia, Y.; Dai, X.; Xiang, Y.; Fan, D. Low threshold optical bistability in one-dimensional gratings based on graphene plasmonics. Opt. Express 2017, 25, 5972–5981. [Google Scholar] [CrossRef]
- Guo, J.; Ruan, B.; Zhu, J.; Dai, X.; Xiang, Y.; Zhang, H. Low-threshold optical bistability in a metasurface with graphene. J. Phys. D Appl. Phys. 2017, 50, 434003. [Google Scholar] [CrossRef]
- Jiang, L.; Tang, J.; Xu, J.; Zheng, Z.; Dong, J.; Guo, J.; Qian, S.; Dai, X.; Xiang, Y. Graphene Tamm plasmon-induced low-threshold optical bistability at terahertz frequencies. Opt. Mater. Express 2019, 9, 139–150. [Google Scholar] [CrossRef]
- Peng, Y.; Xu, J.; Dong, H.; Dai, X.; Jiang, J.; Qian, S.; Jiang, L. Graphene-based low-threshold and tunable optical bistability in one-dimensional photonic crystal Fano resonance heterostructure at optical communication band. Opt. Express 2020, 28, 34948–34959. [Google Scholar] [CrossRef]
- Xu, H.; Qin, Z.; Liu, F.; Zhong, D.; Ni, H.; Liu, P. Optical bistability of graphene in PT2symmetric Thue–Morse photonic crystals. J. Mater. Sci. 2022, 57, 6524–6535. [Google Scholar] [CrossRef]
- Wang, J.; Xu, F.; Liu, F.; Zhao, D. Optical bistable and multistable phenomena in aperiodic multilayer structures with graphene. Opt. Mater. 2021, 119, 111395. [Google Scholar] [CrossRef]
- Yuan, H.; Long, X.; Zhang, H.; Jiang, L.; Miao, S.; Xiang, Y. Tunable optical bistability based on Bloch surface waves in one-dimensional photonic crystal with graphene. Opt. Commun. 2022, 521, 128567. [Google Scholar] [CrossRef]
- Deng, H.; Ji, C.; Zhang, X.; Chen, P.; Wu, L.; Jiang, J.; Tian, H.; Jiang, L. Low threshold optical bistability in graphene/waveguide hybrid structure at terahertz frequencies. Opt. Commun. 2021, 499, 127282. [Google Scholar] [CrossRef]
- Tohari, M. Terahertz Optical Bistability in the Metal Nanoparticles-Graphene Nanodisks-Quantum Dots Hybrid Systems. Nanomaterials 2020, 10, 2173. [Google Scholar] [CrossRef]
- Li, X.; Tan, Y.; Yin, L.; Huo, Y.; Zhao, L.; Yue, Q.; Ning, T. Bistability of optical harmonic generation in monolayer graphene plasmonics. Opt. Lett. 2021, 46, 1029–1032. [Google Scholar] [CrossRef]
- Xiang, Y.; Dai, X.; Guo, J.; Wen, S.; Tang, D. Tunable optical bistability at the graphene-covered nonlinear interface. Appl. Phys. Lett. 2014, 104, 051108. [Google Scholar] [CrossRef]
- Ahn, K.J.; Rotermund, F. Terahertz optical bistability of graphene in thin layers of dielectrics. Opt. Express 2017, 25, 8484–8490. [Google Scholar] [CrossRef] [PubMed]
- Sanderson, M.; Ang, Y.S.; Gong, S.; Zhao, T.; Hu, M.; Zhong, R.; Chen, X.; Zhang, P.; Zhang, C.; Liu, S. Optical bistability induced by nonlinear surface plasmon polaritons in graphene in terahertz regime. Appl. Phys. Lett. 2015, 107, 203113. [Google Scholar] [CrossRef]
- Gu, T.; McMillan, J.F.; Petrone, N.W.; van der Zande, A.; Hone, J.C.; Yu, M.; Lo, G.-Q.; Kwong, D.-L.; Wong, C.W. Optical bistability and free carrier dynamics in graphene–silicon photonic crystal cavities. Opt. Commun. 2014, 314, 23–27. [Google Scholar] [CrossRef]
- Huang, Y.; Miroshnichenko, A.; Gao, L. Low-threshold optical bistability of graphene-wrapped dielectric composite. Sci. Rep. 2016, 6, 23354. [Google Scholar] [CrossRef] [PubMed]
- De Abajo, F.J.G. Graphene Plasmonics: Challenges and Opportunities. ACS Photon. 2014, 1, 135–152. [Google Scholar] [CrossRef]
- Cox, J.D.; de Abajo, F.J.G. Nonlinear Graphene Nanoplasmonics. Acc. Chem. Res. 2019, 52, 2536–2547. [Google Scholar] [CrossRef]
- Chen, X.; Zhang, J.; Wen, C.; Liu, K.; Zhu, Z.; Qin, S.; Yuan, X. Optical nonlinearity and non-reciprocal transmission of graphene integrated metasurface. Carbon 2021, 173, 126–134. [Google Scholar] [CrossRef]
Disclaimer/Publisher’s Note: The statements, opinions and data contained in all publications are solely those of the individual author(s) and contributor(s) and not of MDPI and/or the editor(s). MDPI and/or the editor(s) disclaim responsibility for any injury to people or property resulting from any ideas, methods, instructions or products referred to in the content. |
© 2023 by the authors. Licensee MDPI, Basel, Switzerland. This article is an open access article distributed under the terms and conditions of the Creative Commons Attribution (CC BY) license (https://creativecommons.org/licenses/by/4.0/).





