In Vitro Antiviral Activity of Hyperbranched Poly-L-Lysine Modified by L-Arginine against Different SARS-CoV-2 Variants
Abstract
:1. Introduction
2. Materials and Methods
2.1. Nanopolymers Preparation
2.2. Materials Characterization
2.3. Viral Isolate
2.4. Cytotoxicity
2.5. Antiviral Activity
3. Results and Discussion
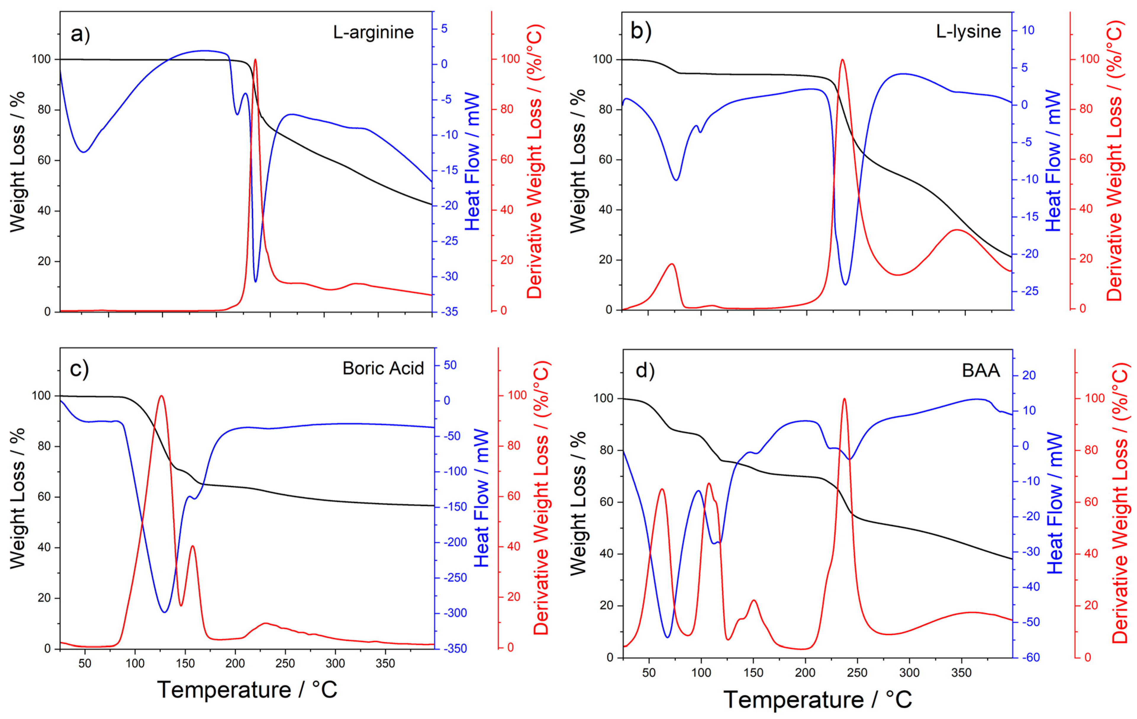
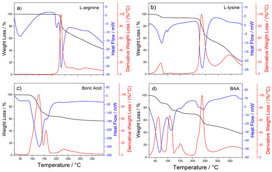
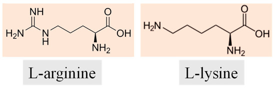
3.1. Hyperbranched Nanopolymer Characterizations
3.2. Cytotoxicity
3.3. Antiviral Activity
4. Conclusions
Supplementary Materials
Author Contributions
Funding
Data Availability Statement
Acknowledgments
Conflicts of Interest
References
- Yuan, M.; Huang, D.; Lee, C.C.D.; Wu, N.C.; Jackson, A.M.; Zhu, X.; Liu, H.; Peng, L.; van Gils, M.J.; Sanders, R.W.; et al. Structural and Functional Ramifications of Antigenic Drift in Recent SARS-CoV-2 Variants. Science 2021, 373, 818–823. [Google Scholar] [CrossRef]
- Cai, Y.; Zhang, J.; Xiao, T.; Lavine, C.L.; Rawson, S.; Peng, H.; Zhu, H.; Anand, K.; Tong, P.; Gautam, A.; et al. Structural Basis for Enhanced Infectivity and Immune Evasion of SARS-CoV-2 Variants. Science 2021, 373, 642–648. [Google Scholar] [CrossRef]
- Karim, S.S.A.; Karim, Q.A. Omicron SARS-CoV-2 Variant: A New Chapter in the COVID-19 Pandemic. Lancet 2021, 398, 2126–2128. [Google Scholar] [CrossRef]
- Cui, Z.; Liu, P.; Wang, N.; Wang, L.; Fan, K.; Zhu, Q.; Wang, K.; Chen, R.; Feng, R.; Jia, Z.; et al. Structural and Functional Characterizations of Infectivity and Immune Evasion of SARS-CoV-2 Omicron. Cell 2022, 185, 860–871. [Google Scholar] [CrossRef]
- Zhang, Z.; Zhang, J.; Wang, J. Surface Charge Changes in Spike RBD Mutations of SARS-CoV-2 and Its Variant Strains Alter the Virus Evasiveness via HSPGs: A Review and Mechanistic Hypothesis. Front. Public Health 2022, 10, 952916. [Google Scholar] [CrossRef]
- Gan, H.H.; Zinno, J.; Piano, F.; Gunsalus, K.C. Omicron Spike Protein Has a Positive Electrostatic Surface That Promotes ACE2 Recognition and Antibody Escape. Front. Virol. 2022, 2, 894531. [Google Scholar] [CrossRef]
- Lan, J.; Ge, J.; Yu, J.; Shan, S.; Zhou, H.; Fan, S.; Zhang, Q.; Shi, X.; Wang, Q.; Zhang, L.; et al. Structure of the SARS-CoV-2 Spike Receptor-Binding Domain Bound to the ACE2 Receptor. Nature 2020, 581, 215–220. [Google Scholar] [CrossRef] [PubMed]
- Liu, L.; Chopra, P.; Li, X.; Bouwman, K.M.; Tompkins, S.M.; Wolfert, M.A.; De Vries, R.P.; Boons, G.J. Heparan Sulfate Proteoglycans as Attachment Factor for SARS-CoV-2. ACS Cent. Sci. 2021, 7, 1009–1018. [Google Scholar] [CrossRef] [PubMed]
- Clausen, T.M.; Sandoval, D.R.; Spliid, C.B.; Pihl, J.; Perrett, H.R.; Painter, C.D.; Narayanan, A.; Majowicz, S.A.; Kwong, E.M.; McVicar, R.N.; et al. SARS-CoV-2 Infection Depends on Cellular Heparan Sulfate and ACE2. Cell 2020, 183, 1043–1057. [Google Scholar] [CrossRef] [PubMed]
- Stagi, L.; De Forni, D.; Malfatti, L.; Caboi, F.; Salis, A.; Poddesu, B.; Cugia, G.; Lori, F.; Galleri, G.; Innocenzi, P. Effective SARS-CoV-2 Antiviral Activity of Hyperbranched Polylysine Nanopolymers. Nanoscale 2021, 13, 16465–16476. [Google Scholar] [CrossRef] [PubMed]
- Stagi, L.; de Forni, D.; Innocenzi, P. Blocking Viral Infections with Lysine-Based Polymeric Nanostructures: A Critical Review. Biomater. Sci. 2022, 10, 1904–1919. [Google Scholar] [CrossRef]
- Stagi, L.; Malfatti, L.; Caboi, F.; Innocenzi, P. Thermal Induced Polymerization of L-Lysine Forms Branched Particles with Blue Fluorescence. Macromol. Chem. Phys. 2021, 222, 2100242. [Google Scholar] [CrossRef]
- Information on Human 2019-nCoC Strain 2019-nCov/Italy-INMI1. Available online: https://www.european-virus-archive.com/virus/human-2019-ncov-strain-2019-ncovitaly-inmi1-clade-v (accessed on 1 November 2023).
- Caccuri, F.; Zani, A.; Messali, S.; Giovanetti, M.; Bugatti, A.; Campisi, G.; Filippini, F.; Scaltriti, E.; Ciccozzi, M.; Fiorentini, S.; et al. A Persistently Replicating SARS-CoV-2 Variant Derived from an Asymptomatic Individual. J. Transl. Med. 2020, 18, 362. [Google Scholar] [CrossRef] [PubMed]
- Caruso, A.; Caccuri, F.; Bugatti, A.; Zani, A.; Vanoni, M.; Bonfanti, P.; Cazzaniga, M.E.; Perno, C.F.; Messa, C.; Alberghina, L. Methotrexate Inhibits SARS-CoV-2 Virus Replication “in Vitro”. J. Med. Virol. 2021, 93, 1780–1785. [Google Scholar] [CrossRef] [PubMed]
- Bugatti, A.; Filippini, F.; Bardelli, M.; Zani, A.; Chiodelli, P.; Messali, S.; Caruso, A.; Caccuri, F. Presence of Vaccine-Elicited Neutralizing Antibodies. Viruses 2022, 14, 75. [Google Scholar] [CrossRef]
- Labriola, J.M.; Miersch, S.; Chen, G.; Chen, C.; Pavlenco, A.; Saberianfar, R.; Caccuri, F.; Zani, A.; Sharma, N.; Feng, A.; et al. Peptide−Antibody fusions engineered by phage display exhibit an ultrapotent and broad neutralization of SARS-CoV-2 variants. ACS Chem. Biol. 2022, 17, 1978–1988. [Google Scholar] [CrossRef]
- Weiss, I.M.; Muth, C.; Drumm, R.; Kirchner, H.O.K. Thermal Decomposition of the Amino Acids Glycine, Cysteine, Aspartic Acid, Asparagine, Glutamic Acid, Glutamine, Arginine and Histidine. BMC Biophys. 2018, 11, 2. [Google Scholar] [CrossRef]
- Arkhipenko, S.; Sabatini, M.; Batsanov, A.S.; Karaluka, V.; Sheppard, T.D.; Rzepa, H.S.; Whiting, A. Mechanistic insights into boron-catalysed direct amidation reactions. Chem. Sci. 2018, 9, 1058–1072. [Google Scholar] [CrossRef] [PubMed]
- Scholl, M.; Nguyen, T.Q.; Bruchmann, B.; Klok, H. The Thermal Polymerization of Amino Acids Revisited; Synthesis and Structural Characterization of Hyperbranched Polymers from L-Lysine. Polym. Sci. A Polym. Chem. 2007, 45, 5494–5508. [Google Scholar] [CrossRef]
- Stagi, L.; Sini, M.; Carboni, D.; Anedda, R.; Siligardi, G.; Gianga, T.M.; Hussain, R.; Innocenzi, P. Modulating the Poly-l-Lysine Structure through the Control of the Protonation—Deprotonation State of l-Lysine. Sci. Rep. 2022, 12, 19719. [Google Scholar] [CrossRef] [PubMed]
- Laue, M.; Kauter, A.; Hoffmann, T.; Möller, L.; Michel, J.; Nitsche, A. Morphometry of SARS-CoV and SARS-CoV-2 Particles in Ultrathin Plastic Sections of Infected Vero Cell Cultures. Sci. Rep. 2021, 11, 3515. [Google Scholar] [CrossRef] [PubMed]
- Jazie, A.A.; Albaaji, A.J.; Abed, S.A. A Review on Recent Trends of Antiviral Nanoparticles and Airborne Filters: Special Insight on COVID-19 Virus. Air Qual. Atmos. Health 2021, 14, 1811–1824. [Google Scholar] [CrossRef] [PubMed]
- International Standard ISO 19007: 2018(E); Nanotechnologies, In Vitro MTS Assay for Measuring the Cytotoxic Effect of Nanoparticles. ISO: Geneva, Switzerland, 2018.
- Unal, M.A.; Bayrakdar, F.; Nazir, H.; Besbinar, O.; Gurcan, C.; Lozano, N.; Arellano, L.M.; Yalcin, S.; Panatli, O.; Celik, D.; et al. Graphene Oxide Nanosheets Interact and Interfere with SARS-CoV-2 Surface Proteins and Cell Receptors to Inhibit Infectivity. Small 2021, 17, 2101483. [Google Scholar] [CrossRef]
- Eastman, R.T.; Roth, J.S.; Brimacombe, K.R.; Simeonov, A.; Shen, M.; Patnaik, S.; Hall, M.D. Remdesivir: A Review of Its Discovery and Development Leading to Emergency Use Authorization for Treatment of COVID-19. ACS Cent. Sci. 2020, 6, 672–683. [Google Scholar] [CrossRef] [PubMed]
- Kanekura, K.; Harada, Y.; Fujimoto, M.; Yagi, T.; Hayamizu, Y.; Nagaoka, K.; Kuroda, M. Characteriztion of membrane penetration and cytotoxicity of C9orf72-encoding arginine-rich dipeptides. Sci. Rep. 2018, 8, 12740. [Google Scholar] [CrossRef]
- Paull, J.R.A.; Luscombe, C.A.; Castellarnau, A.; Heery, G.P.; Bobardt, M.D.; Gallay, P.A. Protective Effects of Astodrimer Sodium 1% Nasal Spray Formulation against SARS-CoV-2 Nasal Challenge in K18-hACE2 Mice. Viruses 2021, 13, 1656. [Google Scholar] [CrossRef]










| Sample | Original Strain | Delta | Omicron | ||||
|---|---|---|---|---|---|---|---|
| CC50 (µg mL−1) | IC50 (µg mL−1) | TI (CC50/IC50) | IC50 (µg mL−1) | TI (CC50/IC50) | IC50 (µg mL−1) | TI (CC50/IC50) | |
| LBA1 | 25 | 13 | 1.9 | 100 | 0.3 | 25 | 1.0 |
| LBA0.5 | 100 | 55 | 1.8 | 70 | 1.4 | 36 | 2.8 |
| LBA0.25 | >500 | 18 | ≥27.8 | ≥500 | 1.0 | 100 | 5.0 |
| LBA0.1 | >500 | 18 | ≥27.8 | ≥500 | 1.0 | 100 | 5.0 |
| HBPL | 100 | 43 | 2.3 | 100 | 1.0 | 100 | 1.0 |
Disclaimer/Publisher’s Note: The statements, opinions and data contained in all publications are solely those of the individual author(s) and contributor(s) and not of MDPI and/or the editor(s). MDPI and/or the editor(s) disclaim responsibility for any injury to people or property resulting from any ideas, methods, instructions or products referred to in the content. |
© 2023 by the authors. Licensee MDPI, Basel, Switzerland. This article is an open access article distributed under the terms and conditions of the Creative Commons Attribution (CC BY) license (https://creativecommons.org/licenses/by/4.0/).
Share and Cite
Fiori, F.; Cossu, F.L.; Salis, F.; Carboni, D.; Stagi, L.; De Forni, D.; Poddesu, B.; Malfatti, L.; Khalel, A.; Salis, A.; et al. In Vitro Antiviral Activity of Hyperbranched Poly-L-Lysine Modified by L-Arginine against Different SARS-CoV-2 Variants. Nanomaterials 2023, 13, 3090. https://doi.org/10.3390/nano13243090
Fiori F, Cossu FL, Salis F, Carboni D, Stagi L, De Forni D, Poddesu B, Malfatti L, Khalel A, Salis A, et al. In Vitro Antiviral Activity of Hyperbranched Poly-L-Lysine Modified by L-Arginine against Different SARS-CoV-2 Variants. Nanomaterials. 2023; 13(24):3090. https://doi.org/10.3390/nano13243090
Chicago/Turabian StyleFiori, Federico, Franca Lucia Cossu, Federica Salis, Davide Carboni, Luigi Stagi, Davide De Forni, Barbara Poddesu, Luca Malfatti, Abbas Khalel, Andrea Salis, and et al. 2023. "In Vitro Antiviral Activity of Hyperbranched Poly-L-Lysine Modified by L-Arginine against Different SARS-CoV-2 Variants" Nanomaterials 13, no. 24: 3090. https://doi.org/10.3390/nano13243090
APA StyleFiori, F., Cossu, F. L., Salis, F., Carboni, D., Stagi, L., De Forni, D., Poddesu, B., Malfatti, L., Khalel, A., Salis, A., Casula, M. F., Anedda, R., Lori, F., & Innocenzi, P. (2023). In Vitro Antiviral Activity of Hyperbranched Poly-L-Lysine Modified by L-Arginine against Different SARS-CoV-2 Variants. Nanomaterials, 13(24), 3090. https://doi.org/10.3390/nano13243090

